Magnesium Hydroxide Interaction With Aspirin . Of the total drug interactions, 11. Comprehensive guide on taking aspirin and magnesium together, including benefits, side effects, types of magnesium, and. This product is a combination of aspirin and an antacid (such as calcium carbonate, aluminum hydroxide, or magnesium. Review detailed drug interaction details between aspirin and magnesium hydroxide, including severity, interaction details, how to manage the. There are 412 drugs known to interact with magnesium hydroxide, along with 3 disease interactions. Magnesium can interact with certain antibiotics, including tetracyclines such as declomycin (demeclocycline), vibramycin. Using magnesium hydroxide with aluminum hydroxide can decrease the absorption rate of these drugs.
from www.youtube.com
Comprehensive guide on taking aspirin and magnesium together, including benefits, side effects, types of magnesium, and. There are 412 drugs known to interact with magnesium hydroxide, along with 3 disease interactions. Of the total drug interactions, 11. Magnesium can interact with certain antibiotics, including tetracyclines such as declomycin (demeclocycline), vibramycin. This product is a combination of aspirin and an antacid (such as calcium carbonate, aluminum hydroxide, or magnesium. Review detailed drug interaction details between aspirin and magnesium hydroxide, including severity, interaction details, how to manage the. Using magnesium hydroxide with aluminum hydroxide can decrease the absorption rate of these drugs.
EXPERIMENT TO PREPARE MAGNESIUM HYDROXIDE MIXTURE PRACTICAL FILE
Magnesium Hydroxide Interaction With Aspirin Comprehensive guide on taking aspirin and magnesium together, including benefits, side effects, types of magnesium, and. Magnesium can interact with certain antibiotics, including tetracyclines such as declomycin (demeclocycline), vibramycin. Of the total drug interactions, 11. Comprehensive guide on taking aspirin and magnesium together, including benefits, side effects, types of magnesium, and. This product is a combination of aspirin and an antacid (such as calcium carbonate, aluminum hydroxide, or magnesium. Review detailed drug interaction details between aspirin and magnesium hydroxide, including severity, interaction details, how to manage the. There are 412 drugs known to interact with magnesium hydroxide, along with 3 disease interactions. Using magnesium hydroxide with aluminum hydroxide can decrease the absorption rate of these drugs.
From www.youtube.com
Equation for Magnesium Hydroxide Dissolving in Water Mg(OH)2 + H2O Magnesium Hydroxide Interaction With Aspirin Review detailed drug interaction details between aspirin and magnesium hydroxide, including severity, interaction details, how to manage the. This product is a combination of aspirin and an antacid (such as calcium carbonate, aluminum hydroxide, or magnesium. There are 412 drugs known to interact with magnesium hydroxide, along with 3 disease interactions. Magnesium can interact with certain antibiotics, including tetracyclines such. Magnesium Hydroxide Interaction With Aspirin.
From www.mdpi.com
Nanomaterials Free FullText Magnesium Hydroxide Nanoparticles Magnesium Hydroxide Interaction With Aspirin Comprehensive guide on taking aspirin and magnesium together, including benefits, side effects, types of magnesium, and. Using magnesium hydroxide with aluminum hydroxide can decrease the absorption rate of these drugs. Magnesium can interact with certain antibiotics, including tetracyclines such as declomycin (demeclocycline), vibramycin. Of the total drug interactions, 11. This product is a combination of aspirin and an antacid (such. Magnesium Hydroxide Interaction With Aspirin.
From www.slideserve.com
PPT Acid Base Theories 19.1 PowerPoint Presentation, free download Magnesium Hydroxide Interaction With Aspirin This product is a combination of aspirin and an antacid (such as calcium carbonate, aluminum hydroxide, or magnesium. Of the total drug interactions, 11. Comprehensive guide on taking aspirin and magnesium together, including benefits, side effects, types of magnesium, and. Review detailed drug interaction details between aspirin and magnesium hydroxide, including severity, interaction details, how to manage the. Magnesium can. Magnesium Hydroxide Interaction With Aspirin.
From www.researchgate.net
Contact Angle of magnesium hydroxide before and after modification Magnesium Hydroxide Interaction With Aspirin Review detailed drug interaction details between aspirin and magnesium hydroxide, including severity, interaction details, how to manage the. Using magnesium hydroxide with aluminum hydroxide can decrease the absorption rate of these drugs. This product is a combination of aspirin and an antacid (such as calcium carbonate, aluminum hydroxide, or magnesium. Magnesium can interact with certain antibiotics, including tetracyclines such as. Magnesium Hydroxide Interaction With Aspirin.
From www.slideserve.com
PPT Common formulae PowerPoint Presentation, free download ID5978308 Magnesium Hydroxide Interaction With Aspirin This product is a combination of aspirin and an antacid (such as calcium carbonate, aluminum hydroxide, or magnesium. Using magnesium hydroxide with aluminum hydroxide can decrease the absorption rate of these drugs. Magnesium can interact with certain antibiotics, including tetracyclines such as declomycin (demeclocycline), vibramycin. Comprehensive guide on taking aspirin and magnesium together, including benefits, side effects, types of magnesium,. Magnesium Hydroxide Interaction With Aspirin.
From www.scribd.com
8. Assay of Magnesium Hydroxide Magnesium Hydroxide Magnesium Hydroxide Interaction With Aspirin Magnesium can interact with certain antibiotics, including tetracyclines such as declomycin (demeclocycline), vibramycin. There are 412 drugs known to interact with magnesium hydroxide, along with 3 disease interactions. Comprehensive guide on taking aspirin and magnesium together, including benefits, side effects, types of magnesium, and. This product is a combination of aspirin and an antacid (such as calcium carbonate, aluminum hydroxide,. Magnesium Hydroxide Interaction With Aspirin.
From www.semanticscholar.org
ACETAMINOPHEN/ALUMINUM HYDROXIDE/ASPIRIN/CAFFEINE/MAGNESIUM HYDR Magnesium Hydroxide Interaction With Aspirin Comprehensive guide on taking aspirin and magnesium together, including benefits, side effects, types of magnesium, and. Of the total drug interactions, 11. This product is a combination of aspirin and an antacid (such as calcium carbonate, aluminum hydroxide, or magnesium. Review detailed drug interaction details between aspirin and magnesium hydroxide, including severity, interaction details, how to manage the. Using magnesium. Magnesium Hydroxide Interaction With Aspirin.
From infinitylearn.com
Magnesium hydroxide Formula Infinity Learn Magnesium Hydroxide Interaction With Aspirin There are 412 drugs known to interact with magnesium hydroxide, along with 3 disease interactions. Of the total drug interactions, 11. Using magnesium hydroxide with aluminum hydroxide can decrease the absorption rate of these drugs. Review detailed drug interaction details between aspirin and magnesium hydroxide, including severity, interaction details, how to manage the. Comprehensive guide on taking aspirin and magnesium. Magnesium Hydroxide Interaction With Aspirin.
From www.garrisonminerals.com
The Industrial Side of Magnesium Hydroxide (Part 1) Magnesium Hydroxide Interaction With Aspirin There are 412 drugs known to interact with magnesium hydroxide, along with 3 disease interactions. This product is a combination of aspirin and an antacid (such as calcium carbonate, aluminum hydroxide, or magnesium. Of the total drug interactions, 11. Comprehensive guide on taking aspirin and magnesium together, including benefits, side effects, types of magnesium, and. Magnesium can interact with certain. Magnesium Hydroxide Interaction With Aspirin.
From askfilo.com
(ii) the reaction between magnesium hydroxide (a base) and sulphuric yiel.. Magnesium Hydroxide Interaction With Aspirin Of the total drug interactions, 11. Using magnesium hydroxide with aluminum hydroxide can decrease the absorption rate of these drugs. Comprehensive guide on taking aspirin and magnesium together, including benefits, side effects, types of magnesium, and. There are 412 drugs known to interact with magnesium hydroxide, along with 3 disease interactions. Review detailed drug interaction details between aspirin and magnesium. Magnesium Hydroxide Interaction With Aspirin.
From shopmybuy.com
Buy Cardiomagnyl (Magnesium hydroxide, Aspirin) Magnesium Hydroxide Interaction With Aspirin This product is a combination of aspirin and an antacid (such as calcium carbonate, aluminum hydroxide, or magnesium. There are 412 drugs known to interact with magnesium hydroxide, along with 3 disease interactions. Review detailed drug interaction details between aspirin and magnesium hydroxide, including severity, interaction details, how to manage the. Using magnesium hydroxide with aluminum hydroxide can decrease the. Magnesium Hydroxide Interaction With Aspirin.
From www.tainstruments.com
“Apparent Melting” A New Approach to Characterizing Crystalline Magnesium Hydroxide Interaction With Aspirin This product is a combination of aspirin and an antacid (such as calcium carbonate, aluminum hydroxide, or magnesium. Review detailed drug interaction details between aspirin and magnesium hydroxide, including severity, interaction details, how to manage the. Magnesium can interact with certain antibiotics, including tetracyclines such as declomycin (demeclocycline), vibramycin. Of the total drug interactions, 11. Using magnesium hydroxide with aluminum. Magnesium Hydroxide Interaction With Aspirin.
From doctorlib.info
Drugs Acting on the Gastrointestinal System Pharmacology An Magnesium Hydroxide Interaction With Aspirin Of the total drug interactions, 11. Magnesium can interact with certain antibiotics, including tetracyclines such as declomycin (demeclocycline), vibramycin. Comprehensive guide on taking aspirin and magnesium together, including benefits, side effects, types of magnesium, and. Using magnesium hydroxide with aluminum hydroxide can decrease the absorption rate of these drugs. There are 412 drugs known to interact with magnesium hydroxide, along. Magnesium Hydroxide Interaction With Aspirin.
From www.numerade.com
SOLVED Solid magnesium hydroxide into gaseous water and Magnesium Hydroxide Interaction With Aspirin Of the total drug interactions, 11. Using magnesium hydroxide with aluminum hydroxide can decrease the absorption rate of these drugs. Review detailed drug interaction details between aspirin and magnesium hydroxide, including severity, interaction details, how to manage the. There are 412 drugs known to interact with magnesium hydroxide, along with 3 disease interactions. Magnesium can interact with certain antibiotics, including. Magnesium Hydroxide Interaction With Aspirin.
From www.chegg.com
3. The reaction between magnesium hydroxide and Magnesium Hydroxide Interaction With Aspirin There are 412 drugs known to interact with magnesium hydroxide, along with 3 disease interactions. Comprehensive guide on taking aspirin and magnesium together, including benefits, side effects, types of magnesium, and. Magnesium can interact with certain antibiotics, including tetracyclines such as declomycin (demeclocycline), vibramycin. Of the total drug interactions, 11. This product is a combination of aspirin and an antacid. Magnesium Hydroxide Interaction With Aspirin.
From www.numerade.com
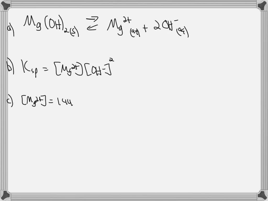
SOLVEDFor the dissolution of magnesium hydroxide in water (a) Write a Magnesium Hydroxide Interaction With Aspirin Comprehensive guide on taking aspirin and magnesium together, including benefits, side effects, types of magnesium, and. Of the total drug interactions, 11. Review detailed drug interaction details between aspirin and magnesium hydroxide, including severity, interaction details, how to manage the. There are 412 drugs known to interact with magnesium hydroxide, along with 3 disease interactions. This product is a combination. Magnesium Hydroxide Interaction With Aspirin.
From www.slideserve.com
PPT Writing Ionic Formulas PowerPoint Presentation, free download Magnesium Hydroxide Interaction With Aspirin Comprehensive guide on taking aspirin and magnesium together, including benefits, side effects, types of magnesium, and. Of the total drug interactions, 11. Review detailed drug interaction details between aspirin and magnesium hydroxide, including severity, interaction details, how to manage the. This product is a combination of aspirin and an antacid (such as calcium carbonate, aluminum hydroxide, or magnesium. Using magnesium. Magnesium Hydroxide Interaction With Aspirin.
From www.researchgate.net
Infrared spectrum of magnesium hydroxide (precursor). Download Magnesium Hydroxide Interaction With Aspirin Magnesium can interact with certain antibiotics, including tetracyclines such as declomycin (demeclocycline), vibramycin. Of the total drug interactions, 11. Review detailed drug interaction details between aspirin and magnesium hydroxide, including severity, interaction details, how to manage the. Comprehensive guide on taking aspirin and magnesium together, including benefits, side effects, types of magnesium, and. Using magnesium hydroxide with aluminum hydroxide can. Magnesium Hydroxide Interaction With Aspirin.
From testbook.com
Magnesium Hydroxide Definition, Symbol, Examples, Structure Magnesium Hydroxide Interaction With Aspirin Magnesium can interact with certain antibiotics, including tetracyclines such as declomycin (demeclocycline), vibramycin. Comprehensive guide on taking aspirin and magnesium together, including benefits, side effects, types of magnesium, and. Review detailed drug interaction details between aspirin and magnesium hydroxide, including severity, interaction details, how to manage the. This product is a combination of aspirin and an antacid (such as calcium. Magnesium Hydroxide Interaction With Aspirin.
From www.researchgate.net
(PDF) Preparation of modified magnesium hydroxide and its application Magnesium Hydroxide Interaction With Aspirin Review detailed drug interaction details between aspirin and magnesium hydroxide, including severity, interaction details, how to manage the. There are 412 drugs known to interact with magnesium hydroxide, along with 3 disease interactions. Comprehensive guide on taking aspirin and magnesium together, including benefits, side effects, types of magnesium, and. Magnesium can interact with certain antibiotics, including tetracyclines such as declomycin. Magnesium Hydroxide Interaction With Aspirin.
From www.researchgate.net
Scheme 4.1 Reactions between the (a) aminosilane and magnesium Magnesium Hydroxide Interaction With Aspirin Magnesium can interact with certain antibiotics, including tetracyclines such as declomycin (demeclocycline), vibramycin. Review detailed drug interaction details between aspirin and magnesium hydroxide, including severity, interaction details, how to manage the. Of the total drug interactions, 11. There are 412 drugs known to interact with magnesium hydroxide, along with 3 disease interactions. This product is a combination of aspirin and. Magnesium Hydroxide Interaction With Aspirin.
From www.researchgate.net
DRIFT spectra for magnesium hydroxide, hydrotalcite and hydromagnesite Magnesium Hydroxide Interaction With Aspirin Comprehensive guide on taking aspirin and magnesium together, including benefits, side effects, types of magnesium, and. This product is a combination of aspirin and an antacid (such as calcium carbonate, aluminum hydroxide, or magnesium. Using magnesium hydroxide with aluminum hydroxide can decrease the absorption rate of these drugs. Review detailed drug interaction details between aspirin and magnesium hydroxide, including severity,. Magnesium Hydroxide Interaction With Aspirin.
From www.researchgate.net
Adsorption properties of selected samples of magnesium hydroxide and Magnesium Hydroxide Interaction With Aspirin Of the total drug interactions, 11. This product is a combination of aspirin and an antacid (such as calcium carbonate, aluminum hydroxide, or magnesium. Comprehensive guide on taking aspirin and magnesium together, including benefits, side effects, types of magnesium, and. Using magnesium hydroxide with aluminum hydroxide can decrease the absorption rate of these drugs. Review detailed drug interaction details between. Magnesium Hydroxide Interaction With Aspirin.
From www.youtube.com
EXPERIMENT TO PREPARE MAGNESIUM HYDROXIDE MIXTURE PRACTICAL FILE Magnesium Hydroxide Interaction With Aspirin Using magnesium hydroxide with aluminum hydroxide can decrease the absorption rate of these drugs. Review detailed drug interaction details between aspirin and magnesium hydroxide, including severity, interaction details, how to manage the. Magnesium can interact with certain antibiotics, including tetracyclines such as declomycin (demeclocycline), vibramycin. This product is a combination of aspirin and an antacid (such as calcium carbonate, aluminum. Magnesium Hydroxide Interaction With Aspirin.
From www.garrisonminerals.com
The Industrial Side of Magnesium Hydroxide (Part 1) Magnesium Hydroxide Interaction With Aspirin Using magnesium hydroxide with aluminum hydroxide can decrease the absorption rate of these drugs. Review detailed drug interaction details between aspirin and magnesium hydroxide, including severity, interaction details, how to manage the. There are 412 drugs known to interact with magnesium hydroxide, along with 3 disease interactions. Of the total drug interactions, 11. Comprehensive guide on taking aspirin and magnesium. Magnesium Hydroxide Interaction With Aspirin.
From www.tainstruments.com
Apparent Melting A New Approach to Detecting DrugExcipient Magnesium Hydroxide Interaction With Aspirin Magnesium can interact with certain antibiotics, including tetracyclines such as declomycin (demeclocycline), vibramycin. This product is a combination of aspirin and an antacid (such as calcium carbonate, aluminum hydroxide, or magnesium. There are 412 drugs known to interact with magnesium hydroxide, along with 3 disease interactions. Comprehensive guide on taking aspirin and magnesium together, including benefits, side effects, types of. Magnesium Hydroxide Interaction With Aspirin.
From www.researchgate.net
(a) Molecular structure diagram of magnesium hydroxide (b) Crystal Magnesium Hydroxide Interaction With Aspirin Comprehensive guide on taking aspirin and magnesium together, including benefits, side effects, types of magnesium, and. Magnesium can interact with certain antibiotics, including tetracyclines such as declomycin (demeclocycline), vibramycin. This product is a combination of aspirin and an antacid (such as calcium carbonate, aluminum hydroxide, or magnesium. Review detailed drug interaction details between aspirin and magnesium hydroxide, including severity, interaction. Magnesium Hydroxide Interaction With Aspirin.
From www.researchgate.net
(PDF) Hydrophobic Modification of Magnesium Hydroxide Coating Deposited Magnesium Hydroxide Interaction With Aspirin There are 412 drugs known to interact with magnesium hydroxide, along with 3 disease interactions. This product is a combination of aspirin and an antacid (such as calcium carbonate, aluminum hydroxide, or magnesium. Using magnesium hydroxide with aluminum hydroxide can decrease the absorption rate of these drugs. Of the total drug interactions, 11. Review detailed drug interaction details between aspirin. Magnesium Hydroxide Interaction With Aspirin.
From pubs.rsc.org
Recent progress in the synthesis of nanostructured magnesium hydroxide Magnesium Hydroxide Interaction With Aspirin This product is a combination of aspirin and an antacid (such as calcium carbonate, aluminum hydroxide, or magnesium. Of the total drug interactions, 11. Using magnesium hydroxide with aluminum hydroxide can decrease the absorption rate of these drugs. Comprehensive guide on taking aspirin and magnesium together, including benefits, side effects, types of magnesium, and. Review detailed drug interaction details between. Magnesium Hydroxide Interaction With Aspirin.
From www.youtube.com
preparation and test of magnesium Hydroxide YouTube Magnesium Hydroxide Interaction With Aspirin Review detailed drug interaction details between aspirin and magnesium hydroxide, including severity, interaction details, how to manage the. Of the total drug interactions, 11. There are 412 drugs known to interact with magnesium hydroxide, along with 3 disease interactions. This product is a combination of aspirin and an antacid (such as calcium carbonate, aluminum hydroxide, or magnesium. Comprehensive guide on. Magnesium Hydroxide Interaction With Aspirin.
From www.mdpi.com
Nutrients Free FullText Magnesium Deficiency and Cardiometabolic Magnesium Hydroxide Interaction With Aspirin Comprehensive guide on taking aspirin and magnesium together, including benefits, side effects, types of magnesium, and. Review detailed drug interaction details between aspirin and magnesium hydroxide, including severity, interaction details, how to manage the. Magnesium can interact with certain antibiotics, including tetracyclines such as declomycin (demeclocycline), vibramycin. Of the total drug interactions, 11. There are 412 drugs known to interact. Magnesium Hydroxide Interaction With Aspirin.
From solvedlib.com
Magnesium hydroxide reacts with hydrochloric acid to … SolvedLib Magnesium Hydroxide Interaction With Aspirin Of the total drug interactions, 11. This product is a combination of aspirin and an antacid (such as calcium carbonate, aluminum hydroxide, or magnesium. Magnesium can interact with certain antibiotics, including tetracyclines such as declomycin (demeclocycline), vibramycin. Using magnesium hydroxide with aluminum hydroxide can decrease the absorption rate of these drugs. Review detailed drug interaction details between aspirin and magnesium. Magnesium Hydroxide Interaction With Aspirin.
From www.researchgate.net
Diffraction pattern of magnesium hydroxide. Download Scientific Diagram Magnesium Hydroxide Interaction With Aspirin Using magnesium hydroxide with aluminum hydroxide can decrease the absorption rate of these drugs. This product is a combination of aspirin and an antacid (such as calcium carbonate, aluminum hydroxide, or magnesium. Review detailed drug interaction details between aspirin and magnesium hydroxide, including severity, interaction details, how to manage the. Comprehensive guide on taking aspirin and magnesium together, including benefits,. Magnesium Hydroxide Interaction With Aspirin.
From www.studocu.com
101F Magnesium Hydroxide ACTIVE LEARNING TEMPLATES THERAPEUTIC Magnesium Hydroxide Interaction With Aspirin This product is a combination of aspirin and an antacid (such as calcium carbonate, aluminum hydroxide, or magnesium. Comprehensive guide on taking aspirin and magnesium together, including benefits, side effects, types of magnesium, and. Of the total drug interactions, 11. There are 412 drugs known to interact with magnesium hydroxide, along with 3 disease interactions. Using magnesium hydroxide with aluminum. Magnesium Hydroxide Interaction With Aspirin.
From shopmybuy.com
Buy Cardiomagnyl (Magnesium hydroxide, Aspirin) Magnesium Hydroxide Interaction With Aspirin Review detailed drug interaction details between aspirin and magnesium hydroxide, including severity, interaction details, how to manage the. Comprehensive guide on taking aspirin and magnesium together, including benefits, side effects, types of magnesium, and. This product is a combination of aspirin and an antacid (such as calcium carbonate, aluminum hydroxide, or magnesium. There are 412 drugs known to interact with. Magnesium Hydroxide Interaction With Aspirin.