Tungsten Weight Cubic Centimeter . Furthermore, you can refer to the the aerospace, automotive, and medical industries heavily rely on tungsten weights for optimal performance. the weight of tungsten is measured in grams per cubic centimeter (g/cm³) or kilograms per cubic meter (kg/m³). The specific gravity numbers below. If the density of your tungsten is not this value, you can enter your own metal density in the metal density input box. tungsten weighs 19.25 gram per cubic centimeter or 19 250 kilogram per cubic meter, i.e. weights in lbs/ft 3 have been calculated at 1/16 kg/m 3 and rounded out to the nearest pound, which should be accurate enough. this tungsten weight calculator is based on a tungsten density of 19.3g/cm³. a cubic centimeter of water at 4 c weighs 1 gram, and has a specific gravity of 1. Density of tungsten is equal to.
from www.transtutors.com
If the density of your tungsten is not this value, you can enter your own metal density in the metal density input box. Density of tungsten is equal to. the weight of tungsten is measured in grams per cubic centimeter (g/cm³) or kilograms per cubic meter (kg/m³). Furthermore, you can refer to the a cubic centimeter of water at 4 c weighs 1 gram, and has a specific gravity of 1. weights in lbs/ft 3 have been calculated at 1/16 kg/m 3 and rounded out to the nearest pound, which should be accurate enough. The specific gravity numbers below. this tungsten weight calculator is based on a tungsten density of 19.3g/cm³. tungsten weighs 19.25 gram per cubic centimeter or 19 250 kilogram per cubic meter, i.e. the aerospace, automotive, and medical industries heavily rely on tungsten weights for optimal performance.
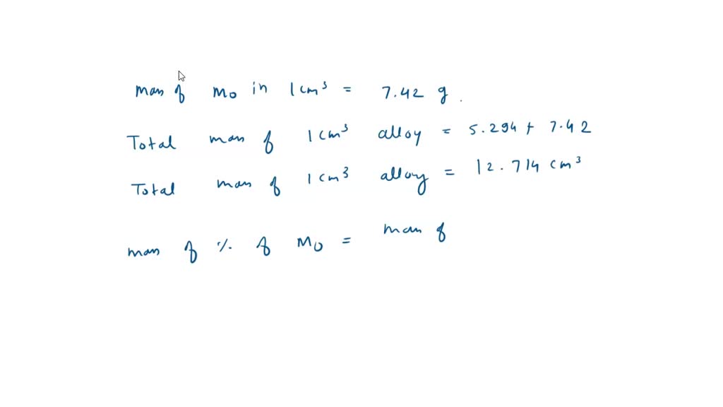
(Solved) 4.20 Molybdenum forms a substitutional solid solution with
Tungsten Weight Cubic Centimeter weights in lbs/ft 3 have been calculated at 1/16 kg/m 3 and rounded out to the nearest pound, which should be accurate enough. the weight of tungsten is measured in grams per cubic centimeter (g/cm³) or kilograms per cubic meter (kg/m³). Density of tungsten is equal to. The specific gravity numbers below. a cubic centimeter of water at 4 c weighs 1 gram, and has a specific gravity of 1. this tungsten weight calculator is based on a tungsten density of 19.3g/cm³. If the density of your tungsten is not this value, you can enter your own metal density in the metal density input box. Furthermore, you can refer to the weights in lbs/ft 3 have been calculated at 1/16 kg/m 3 and rounded out to the nearest pound, which should be accurate enough. the aerospace, automotive, and medical industries heavily rely on tungsten weights for optimal performance. tungsten weighs 19.25 gram per cubic centimeter or 19 250 kilogram per cubic meter, i.e.
From www.reddit.com
Tungsten cube! It's 1 cubic inch but is unbelievably heavy (314 grams Tungsten Weight Cubic Centimeter Furthermore, you can refer to the a cubic centimeter of water at 4 c weighs 1 gram, and has a specific gravity of 1. If the density of your tungsten is not this value, you can enter your own metal density in the metal density input box. weights in lbs/ft 3 have been calculated at 1/16 kg/m 3. Tungsten Weight Cubic Centimeter.
From www.sun.org
Tungsten Bar 940 g Tungsten Weight Cubic Centimeter The specific gravity numbers below. Furthermore, you can refer to the a cubic centimeter of water at 4 c weighs 1 gram, and has a specific gravity of 1. the weight of tungsten is measured in grams per cubic centimeter (g/cm³) or kilograms per cubic meter (kg/m³). tungsten weighs 19.25 gram per cubic centimeter or 19 250. Tungsten Weight Cubic Centimeter.
From www.chegg.com
Solved One mole of tungsten (6 1023 atoms) has a mass of 184 Tungsten Weight Cubic Centimeter weights in lbs/ft 3 have been calculated at 1/16 kg/m 3 and rounded out to the nearest pound, which should be accurate enough. the aerospace, automotive, and medical industries heavily rely on tungsten weights for optimal performance. If the density of your tungsten is not this value, you can enter your own metal density in the metal density. Tungsten Weight Cubic Centimeter.
From www.amazon.co.uk
Tungsten 1.5 Cube One Kilo Block Weight by Midwest Tungsten Service Tungsten Weight Cubic Centimeter a cubic centimeter of water at 4 c weighs 1 gram, and has a specific gravity of 1. Furthermore, you can refer to the tungsten weighs 19.25 gram per cubic centimeter or 19 250 kilogram per cubic meter, i.e. this tungsten weight calculator is based on a tungsten density of 19.3g/cm³. the weight of tungsten is. Tungsten Weight Cubic Centimeter.
From www.amazon.co.uk
Tungsten 5 cm (2 in) Cube Block Weight LIMITED TIME OFFER FREE 2.5 Tungsten Weight Cubic Centimeter the aerospace, automotive, and medical industries heavily rely on tungsten weights for optimal performance. Density of tungsten is equal to. If the density of your tungsten is not this value, you can enter your own metal density in the metal density input box. weights in lbs/ft 3 have been calculated at 1/16 kg/m 3 and rounded out to. Tungsten Weight Cubic Centimeter.
From www.etsy.com
Aluminum and Tungsten Cube 1 Centimeter Etsy Tungsten Weight Cubic Centimeter a cubic centimeter of water at 4 c weighs 1 gram, and has a specific gravity of 1. this tungsten weight calculator is based on a tungsten density of 19.3g/cm³. Furthermore, you can refer to the The specific gravity numbers below. the aerospace, automotive, and medical industries heavily rely on tungsten weights for optimal performance. weights. Tungsten Weight Cubic Centimeter.
From collecttheelements.com
1 inch Cube of Tungsten Collect The Elements Tungsten Weight Cubic Centimeter weights in lbs/ft 3 have been calculated at 1/16 kg/m 3 and rounded out to the nearest pound, which should be accurate enough. tungsten weighs 19.25 gram per cubic centimeter or 19 250 kilogram per cubic meter, i.e. If the density of your tungsten is not this value, you can enter your own metal density in the metal. Tungsten Weight Cubic Centimeter.
From jaquan-has-norris.blogspot.com
How Much Does a 1 Inch Cube of Tungsten Weigh JaquanhasNorris Tungsten Weight Cubic Centimeter Furthermore, you can refer to the this tungsten weight calculator is based on a tungsten density of 19.3g/cm³. the weight of tungsten is measured in grams per cubic centimeter (g/cm³) or kilograms per cubic meter (kg/m³). a cubic centimeter of water at 4 c weighs 1 gram, and has a specific gravity of 1. If the density. Tungsten Weight Cubic Centimeter.
From hxejvqoxb.blob.core.windows.net
What Is The Weight Of Water Per Cubic Foot at Rosalind Leith blog Tungsten Weight Cubic Centimeter a cubic centimeter of water at 4 c weighs 1 gram, and has a specific gravity of 1. The specific gravity numbers below. the weight of tungsten is measured in grams per cubic centimeter (g/cm³) or kilograms per cubic meter (kg/m³). tungsten weighs 19.25 gram per cubic centimeter or 19 250 kilogram per cubic meter, i.e. . Tungsten Weight Cubic Centimeter.
From www.alibaba.com
Tungsten Cube 1kg Tungsten Cylinder Block For Toy Cars Balance Weight Tungsten Weight Cubic Centimeter a cubic centimeter of water at 4 c weighs 1 gram, and has a specific gravity of 1. this tungsten weight calculator is based on a tungsten density of 19.3g/cm³. The specific gravity numbers below. the aerospace, automotive, and medical industries heavily rely on tungsten weights for optimal performance. tungsten weighs 19.25 gram per cubic centimeter. Tungsten Weight Cubic Centimeter.
From omggimme.com
40pound Tungsten Cube OMG Gimme! Tungsten Weight Cubic Centimeter weights in lbs/ft 3 have been calculated at 1/16 kg/m 3 and rounded out to the nearest pound, which should be accurate enough. If the density of your tungsten is not this value, you can enter your own metal density in the metal density input box. a cubic centimeter of water at 4 c weighs 1 gram, and. Tungsten Weight Cubic Centimeter.
From www.leichichina.com
Tungsten Weight Qingdao Leichi Industrial & Trade Co.,Ltd. Tungsten Weight Cubic Centimeter If the density of your tungsten is not this value, you can enter your own metal density in the metal density input box. the weight of tungsten is measured in grams per cubic centimeter (g/cm³) or kilograms per cubic meter (kg/m³). tungsten weighs 19.25 gram per cubic centimeter or 19 250 kilogram per cubic meter, i.e. Furthermore, you. Tungsten Weight Cubic Centimeter.
From www.elmettechnologies.com
Tungsten Cubes Elmet Technologies Tungsten Weight Cubic Centimeter a cubic centimeter of water at 4 c weighs 1 gram, and has a specific gravity of 1. Furthermore, you can refer to the tungsten weighs 19.25 gram per cubic centimeter or 19 250 kilogram per cubic meter, i.e. the aerospace, automotive, and medical industries heavily rely on tungsten weights for optimal performance. If the density of. Tungsten Weight Cubic Centimeter.
From pur-tungsten.com
Tungsten Cube Block Display Weights Shop PurTungsten Tungsten Weight Cubic Centimeter this tungsten weight calculator is based on a tungsten density of 19.3g/cm³. weights in lbs/ft 3 have been calculated at 1/16 kg/m 3 and rounded out to the nearest pound, which should be accurate enough. the weight of tungsten is measured in grams per cubic centimeter (g/cm³) or kilograms per cubic meter (kg/m³). a cubic centimeter. Tungsten Weight Cubic Centimeter.
From pur-tungsten.com
Tungsten Cube Block Weights Shop Pur.Tungsen Tungsten Weight Cubic Centimeter The specific gravity numbers below. the aerospace, automotive, and medical industries heavily rely on tungsten weights for optimal performance. If the density of your tungsten is not this value, you can enter your own metal density in the metal density input box. Density of tungsten is equal to. weights in lbs/ft 3 have been calculated at 1/16 kg/m. Tungsten Weight Cubic Centimeter.
From www.coursehero.com
[Solved] Brass is a substitutional alloy consisting of a solution of Tungsten Weight Cubic Centimeter this tungsten weight calculator is based on a tungsten density of 19.3g/cm³. Furthermore, you can refer to the the aerospace, automotive, and medical industries heavily rely on tungsten weights for optimal performance. tungsten weighs 19.25 gram per cubic centimeter or 19 250 kilogram per cubic meter, i.e. The specific gravity numbers below. the weight of tungsten. Tungsten Weight Cubic Centimeter.
From www.numerade.com
SOLVED Q3 Molybdenum (Mo) forms a substitutional solid solution with Tungsten Weight Cubic Centimeter If the density of your tungsten is not this value, you can enter your own metal density in the metal density input box. Furthermore, you can refer to the Density of tungsten is equal to. the weight of tungsten is measured in grams per cubic centimeter (g/cm³) or kilograms per cubic meter (kg/m³). The specific gravity numbers below. . Tungsten Weight Cubic Centimeter.
From exyvwbtex.blob.core.windows.net
Specific Weight Of Tungsten at Rita Weaver blog Tungsten Weight Cubic Centimeter Density of tungsten is equal to. the weight of tungsten is measured in grams per cubic centimeter (g/cm³) or kilograms per cubic meter (kg/m³). tungsten weighs 19.25 gram per cubic centimeter or 19 250 kilogram per cubic meter, i.e. the aerospace, automotive, and medical industries heavily rely on tungsten weights for optimal performance. a cubic centimeter. Tungsten Weight Cubic Centimeter.
From armamentusa.com
Tungsten weight kit Armament Tungsten Weight Cubic Centimeter a cubic centimeter of water at 4 c weighs 1 gram, and has a specific gravity of 1. The specific gravity numbers below. the aerospace, automotive, and medical industries heavily rely on tungsten weights for optimal performance. this tungsten weight calculator is based on a tungsten density of 19.3g/cm³. If the density of your tungsten is not. Tungsten Weight Cubic Centimeter.
From midwesttungsten.com
Buy your Tungsten Cube Midwest Tungsten Service Tungsten Weight Cubic Centimeter Density of tungsten is equal to. If the density of your tungsten is not this value, you can enter your own metal density in the metal density input box. the weight of tungsten is measured in grams per cubic centimeter (g/cm³) or kilograms per cubic meter (kg/m³). the aerospace, automotive, and medical industries heavily rely on tungsten weights. Tungsten Weight Cubic Centimeter.
From www.hypersolidmetal.com
Tungsten WeightHypersolid Metal Tech Co.,Ltd Tungsten Weight Cubic Centimeter Furthermore, you can refer to the weights in lbs/ft 3 have been calculated at 1/16 kg/m 3 and rounded out to the nearest pound, which should be accurate enough. a cubic centimeter of water at 4 c weighs 1 gram, and has a specific gravity of 1. tungsten weighs 19.25 gram per cubic centimeter or 19 250. Tungsten Weight Cubic Centimeter.
From www.vigorrc.com
Tungsten Center Weight 15g (5x6x26mm) Tungsten Weight Cubic Centimeter a cubic centimeter of water at 4 c weighs 1 gram, and has a specific gravity of 1. the aerospace, automotive, and medical industries heavily rely on tungsten weights for optimal performance. Density of tungsten is equal to. Furthermore, you can refer to the If the density of your tungsten is not this value, you can enter your. Tungsten Weight Cubic Centimeter.
From www.transtutors.com
(Solved) 4.20 Molybdenum forms a substitutional solid solution with Tungsten Weight Cubic Centimeter the aerospace, automotive, and medical industries heavily rely on tungsten weights for optimal performance. the weight of tungsten is measured in grams per cubic centimeter (g/cm³) or kilograms per cubic meter (kg/m³). this tungsten weight calculator is based on a tungsten density of 19.3g/cm³. weights in lbs/ft 3 have been calculated at 1/16 kg/m 3 and. Tungsten Weight Cubic Centimeter.
From www.quora.com
Tungsten has an atomic radius of 0.136 nm and density 19.4g/cm^3. What Tungsten Weight Cubic Centimeter weights in lbs/ft 3 have been calculated at 1/16 kg/m 3 and rounded out to the nearest pound, which should be accurate enough. tungsten weighs 19.25 gram per cubic centimeter or 19 250 kilogram per cubic meter, i.e. the aerospace, automotive, and medical industries heavily rely on tungsten weights for optimal performance. If the density of your. Tungsten Weight Cubic Centimeter.
From www.7jinxin.com
High Quality Heavy Buffer Tungsten Weight For Balance Tungsten Weight Cubic Centimeter a cubic centimeter of water at 4 c weighs 1 gram, and has a specific gravity of 1. this tungsten weight calculator is based on a tungsten density of 19.3g/cm³. If the density of your tungsten is not this value, you can enter your own metal density in the metal density input box. The specific gravity numbers below.. Tungsten Weight Cubic Centimeter.
From pur-tungsten.com
Tungsten Cube Block Weights Shop Pur.Tungsen Tungsten Weight Cubic Centimeter tungsten weighs 19.25 gram per cubic centimeter or 19 250 kilogram per cubic meter, i.e. the aerospace, automotive, and medical industries heavily rely on tungsten weights for optimal performance. the weight of tungsten is measured in grams per cubic centimeter (g/cm³) or kilograms per cubic meter (kg/m³). The specific gravity numbers below. If the density of your. Tungsten Weight Cubic Centimeter.
From www.reddit.com
Tungsten cube! It's 1 cubic inch but is unbelievably heavy (314 grams Tungsten Weight Cubic Centimeter Density of tungsten is equal to. weights in lbs/ft 3 have been calculated at 1/16 kg/m 3 and rounded out to the nearest pound, which should be accurate enough. If the density of your tungsten is not this value, you can enter your own metal density in the metal density input box. this tungsten weight calculator is based. Tungsten Weight Cubic Centimeter.
From www.smart-elements.com
TUNGSTEN precision density cube 10mm 19.25g Tungsten Weight Cubic Centimeter weights in lbs/ft 3 have been calculated at 1/16 kg/m 3 and rounded out to the nearest pound, which should be accurate enough. Furthermore, you can refer to the Density of tungsten is equal to. a cubic centimeter of water at 4 c weighs 1 gram, and has a specific gravity of 1. If the density of your. Tungsten Weight Cubic Centimeter.
From ubicaciondepersonas.cdmx.gob.mx
Tungsten Metal Cube — Luciteria ubicaciondepersonas.cdmx.gob.mx Tungsten Weight Cubic Centimeter this tungsten weight calculator is based on a tungsten density of 19.3g/cm³. The specific gravity numbers below. Density of tungsten is equal to. If the density of your tungsten is not this value, you can enter your own metal density in the metal density input box. Furthermore, you can refer to the the aerospace, automotive, and medical industries. Tungsten Weight Cubic Centimeter.
From luciteria.com
Tungsten Metal Cube 99.95 — Luciteria Tungsten Weight Cubic Centimeter a cubic centimeter of water at 4 c weighs 1 gram, and has a specific gravity of 1. Density of tungsten is equal to. the aerospace, automotive, and medical industries heavily rely on tungsten weights for optimal performance. The specific gravity numbers below. Furthermore, you can refer to the the weight of tungsten is measured in grams. Tungsten Weight Cubic Centimeter.
From arizonaarchery.com
AAE Tungsten 3oz Weight Arizona Archery Enterprises Inc. Tungsten Weight Cubic Centimeter the aerospace, automotive, and medical industries heavily rely on tungsten weights for optimal performance. The specific gravity numbers below. tungsten weighs 19.25 gram per cubic centimeter or 19 250 kilogram per cubic meter, i.e. weights in lbs/ft 3 have been calculated at 1/16 kg/m 3 and rounded out to the nearest pound, which should be accurate enough.. Tungsten Weight Cubic Centimeter.
From pinewoodderbyproducts.com
Tungsten Cube Weights Tungsten Weight Cubic Centimeter Furthermore, you can refer to the the weight of tungsten is measured in grams per cubic centimeter (g/cm³) or kilograms per cubic meter (kg/m³). The specific gravity numbers below. the aerospace, automotive, and medical industries heavily rely on tungsten weights for optimal performance. tungsten weighs 19.25 gram per cubic centimeter or 19 250 kilogram per cubic meter,. Tungsten Weight Cubic Centimeter.
From www.reddit.com
Tungsten cube! It's 1 cubic inch but is unbelievably heavy (314 grams Tungsten Weight Cubic Centimeter The specific gravity numbers below. the aerospace, automotive, and medical industries heavily rely on tungsten weights for optimal performance. tungsten weighs 19.25 gram per cubic centimeter or 19 250 kilogram per cubic meter, i.e. weights in lbs/ft 3 have been calculated at 1/16 kg/m 3 and rounded out to the nearest pound, which should be accurate enough.. Tungsten Weight Cubic Centimeter.
From www.amazon.com
Pinewood Car Tungsten Weight Cylinder (3 oz. 1″ Diameter x Tungsten Weight Cubic Centimeter the aerospace, automotive, and medical industries heavily rely on tungsten weights for optimal performance. tungsten weighs 19.25 gram per cubic centimeter or 19 250 kilogram per cubic meter, i.e. this tungsten weight calculator is based on a tungsten density of 19.3g/cm³. If the density of your tungsten is not this value, you can enter your own metal. Tungsten Weight Cubic Centimeter.
From jeemartin.com
20g Tungsten weight Tungsten Weight Cubic Centimeter weights in lbs/ft 3 have been calculated at 1/16 kg/m 3 and rounded out to the nearest pound, which should be accurate enough. the weight of tungsten is measured in grams per cubic centimeter (g/cm³) or kilograms per cubic meter (kg/m³). Furthermore, you can refer to the the aerospace, automotive, and medical industries heavily rely on tungsten. Tungsten Weight Cubic Centimeter.