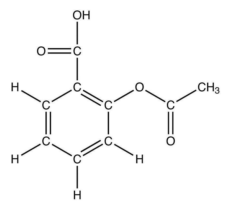
Aspirin Formula Functional Groups . The mechanism of action of aspirin is as a cyclooxygenase inhibitor. It's also referred to as the r. aspirin contains polar functional groups which can form hydrogen bonds with polar water molecules. Carboxylic acid is the first substituent and the second is an. how can a functional group be added to a primary carbon? How can functional groups affect organic. there are three functional groups found in aspirin: Carboxylic acid consists of a carbonyl group (co) and a hydroxyl group (oh).
from ar.inspiredpencil.com
Carboxylic acid consists of a carbonyl group (co) and a hydroxyl group (oh). aspirin contains polar functional groups which can form hydrogen bonds with polar water molecules. how can a functional group be added to a primary carbon? there are three functional groups found in aspirin: How can functional groups affect organic. Carboxylic acid is the first substituent and the second is an. It's also referred to as the r. The mechanism of action of aspirin is as a cyclooxygenase inhibitor.
Structure Of Aspirin Functional Groups
Aspirin Formula Functional Groups there are three functional groups found in aspirin: The mechanism of action of aspirin is as a cyclooxygenase inhibitor. How can functional groups affect organic. Carboxylic acid is the first substituent and the second is an. aspirin contains polar functional groups which can form hydrogen bonds with polar water molecules. It's also referred to as the r. how can a functional group be added to a primary carbon? Carboxylic acid consists of a carbonyl group (co) and a hydroxyl group (oh). there are three functional groups found in aspirin:
From ar.inspiredpencil.com
Structure Of Aspirin Functional Groups Aspirin Formula Functional Groups How can functional groups affect organic. Carboxylic acid is the first substituent and the second is an. The mechanism of action of aspirin is as a cyclooxygenase inhibitor. It's also referred to as the r. aspirin contains polar functional groups which can form hydrogen bonds with polar water molecules. there are three functional groups found in aspirin: Carboxylic. Aspirin Formula Functional Groups.
From proper-cooking.info
Aspirin Lewis Structure Aspirin Formula Functional Groups It's also referred to as the r. how can a functional group be added to a primary carbon? How can functional groups affect organic. The mechanism of action of aspirin is as a cyclooxygenase inhibitor. aspirin contains polar functional groups which can form hydrogen bonds with polar water molecules. there are three functional groups found in aspirin:. Aspirin Formula Functional Groups.
From www.saubhaya.com
Chemical Makeup Of Aspirin Saubhaya Makeup Aspirin Formula Functional Groups It's also referred to as the r. The mechanism of action of aspirin is as a cyclooxygenase inhibitor. Carboxylic acid is the first substituent and the second is an. there are three functional groups found in aspirin: How can functional groups affect organic. aspirin contains polar functional groups which can form hydrogen bonds with polar water molecules. . Aspirin Formula Functional Groups.
From www.coursehero.com
[Solved] What is the chemical structure of aspirin? And what functional Aspirin Formula Functional Groups how can a functional group be added to a primary carbon? It's also referred to as the r. there are three functional groups found in aspirin: aspirin contains polar functional groups which can form hydrogen bonds with polar water molecules. How can functional groups affect organic. Carboxylic acid is the first substituent and the second is an.. Aspirin Formula Functional Groups.
From www.pinterest.com
Images For > Aspirin Molecular Structure Molecular structure Aspirin Formula Functional Groups It's also referred to as the r. Carboxylic acid is the first substituent and the second is an. Carboxylic acid consists of a carbonyl group (co) and a hydroxyl group (oh). The mechanism of action of aspirin is as a cyclooxygenase inhibitor. there are three functional groups found in aspirin: aspirin contains polar functional groups which can form. Aspirin Formula Functional Groups.
From www.answersarena.com
[Solved] Match the THREE functional groups ( (A, B ), an Aspirin Formula Functional Groups there are three functional groups found in aspirin: Carboxylic acid is the first substituent and the second is an. The mechanism of action of aspirin is as a cyclooxygenase inhibitor. Carboxylic acid consists of a carbonyl group (co) and a hydroxyl group (oh). It's also referred to as the r. aspirin contains polar functional groups which can form. Aspirin Formula Functional Groups.
From www.numerade.com
SOLVED '1. Circle and label the functional group of aspirin that Aspirin Formula Functional Groups there are three functional groups found in aspirin: how can a functional group be added to a primary carbon? How can functional groups affect organic. It's also referred to as the r. aspirin contains polar functional groups which can form hydrogen bonds with polar water molecules. The mechanism of action of aspirin is as a cyclooxygenase inhibitor.. Aspirin Formula Functional Groups.
From www.numerade.com
SOLVED Draw the structural formula of aspirin and identify (draw Aspirin Formula Functional Groups how can a functional group be added to a primary carbon? Carboxylic acid consists of a carbonyl group (co) and a hydroxyl group (oh). It's also referred to as the r. there are three functional groups found in aspirin: The mechanism of action of aspirin is as a cyclooxygenase inhibitor. aspirin contains polar functional groups which can. Aspirin Formula Functional Groups.
From www.alamy.com
Aspirin structural formula Stock Photo Alamy Aspirin Formula Functional Groups How can functional groups affect organic. Carboxylic acid is the first substituent and the second is an. there are three functional groups found in aspirin: how can a functional group be added to a primary carbon? The mechanism of action of aspirin is as a cyclooxygenase inhibitor. aspirin contains polar functional groups which can form hydrogen bonds. Aspirin Formula Functional Groups.
From ar.inspiredpencil.com
Structure Of Aspirin Functional Groups Aspirin Formula Functional Groups how can a functional group be added to a primary carbon? aspirin contains polar functional groups which can form hydrogen bonds with polar water molecules. How can functional groups affect organic. The mechanism of action of aspirin is as a cyclooxygenase inhibitor. there are three functional groups found in aspirin: It's also referred to as the r.. Aspirin Formula Functional Groups.
From ar.inspiredpencil.com
Structure Of Aspirin Functional Groups Aspirin Formula Functional Groups Carboxylic acid is the first substituent and the second is an. It's also referred to as the r. Carboxylic acid consists of a carbonyl group (co) and a hydroxyl group (oh). How can functional groups affect organic. there are three functional groups found in aspirin: aspirin contains polar functional groups which can form hydrogen bonds with polar water. Aspirin Formula Functional Groups.
From www.sarthaks.com
Aspirin is widely used as an analgesic drug. It is optically inactive Aspirin Formula Functional Groups there are three functional groups found in aspirin: How can functional groups affect organic. The mechanism of action of aspirin is as a cyclooxygenase inhibitor. aspirin contains polar functional groups which can form hydrogen bonds with polar water molecules. how can a functional group be added to a primary carbon? Carboxylic acid is the first substituent and. Aspirin Formula Functional Groups.
From ar.inspiredpencil.com
Structure Of Aspirin Functional Groups Aspirin Formula Functional Groups The mechanism of action of aspirin is as a cyclooxygenase inhibitor. How can functional groups affect organic. there are three functional groups found in aspirin: how can a functional group be added to a primary carbon? Carboxylic acid is the first substituent and the second is an. It's also referred to as the r. aspirin contains polar. Aspirin Formula Functional Groups.
From www.alamy.com
Chemical Structure of Aspirin, Anatomy Of Aspirin, Molecular structure Aspirin Formula Functional Groups The mechanism of action of aspirin is as a cyclooxygenase inhibitor. there are three functional groups found in aspirin: How can functional groups affect organic. aspirin contains polar functional groups which can form hydrogen bonds with polar water molecules. Carboxylic acid consists of a carbonyl group (co) and a hydroxyl group (oh). how can a functional group. Aspirin Formula Functional Groups.
From ar.inspiredpencil.com
Aspirin Structure Functional Group Aspirin Formula Functional Groups It's also referred to as the r. How can functional groups affect organic. aspirin contains polar functional groups which can form hydrogen bonds with polar water molecules. how can a functional group be added to a primary carbon? Carboxylic acid consists of a carbonyl group (co) and a hydroxyl group (oh). The mechanism of action of aspirin is. Aspirin Formula Functional Groups.
From oneclass.com
OneClass What is the structural formula of aspirin? Label the ester Aspirin Formula Functional Groups there are three functional groups found in aspirin: It's also referred to as the r. The mechanism of action of aspirin is as a cyclooxygenase inhibitor. Carboxylic acid consists of a carbonyl group (co) and a hydroxyl group (oh). How can functional groups affect organic. aspirin contains polar functional groups which can form hydrogen bonds with polar water. Aspirin Formula Functional Groups.
From www.solutioninn.com
[Solved] The drug known as aspirin has this molecu SolutionInn Aspirin Formula Functional Groups How can functional groups affect organic. Carboxylic acid consists of a carbonyl group (co) and a hydroxyl group (oh). The mechanism of action of aspirin is as a cyclooxygenase inhibitor. aspirin contains polar functional groups which can form hydrogen bonds with polar water molecules. It's also referred to as the r. Carboxylic acid is the first substituent and the. Aspirin Formula Functional Groups.
From www.haikudeck.com
Organic Molecule Search Project by Janelle Dick Aspirin Formula Functional Groups there are three functional groups found in aspirin: The mechanism of action of aspirin is as a cyclooxygenase inhibitor. aspirin contains polar functional groups which can form hydrogen bonds with polar water molecules. how can a functional group be added to a primary carbon? It's also referred to as the r. Carboxylic acid is the first substituent. Aspirin Formula Functional Groups.
From ar.inspiredpencil.com
Structure Of Aspirin Functional Groups Aspirin Formula Functional Groups there are three functional groups found in aspirin: aspirin contains polar functional groups which can form hydrogen bonds with polar water molecules. Carboxylic acid consists of a carbonyl group (co) and a hydroxyl group (oh). Carboxylic acid is the first substituent and the second is an. The mechanism of action of aspirin is as a cyclooxygenase inhibitor. How. Aspirin Formula Functional Groups.
From www.freepik.com
Premium Vector Aspirin chemistry chemical formula structure vector Aspirin Formula Functional Groups Carboxylic acid is the first substituent and the second is an. aspirin contains polar functional groups which can form hydrogen bonds with polar water molecules. Carboxylic acid consists of a carbonyl group (co) and a hydroxyl group (oh). How can functional groups affect organic. there are three functional groups found in aspirin: The mechanism of action of aspirin. Aspirin Formula Functional Groups.
From www.dreamstime.com
Molecular Structure Of Aspirin Stock Illustration Illustration of Aspirin Formula Functional Groups how can a functional group be added to a primary carbon? How can functional groups affect organic. Carboxylic acid is the first substituent and the second is an. aspirin contains polar functional groups which can form hydrogen bonds with polar water molecules. there are three functional groups found in aspirin: The mechanism of action of aspirin is. Aspirin Formula Functional Groups.
From byjus.com
Aspirin Formula Structural and Chemical Formula of Aspirin Aspirin Formula Functional Groups aspirin contains polar functional groups which can form hydrogen bonds with polar water molecules. there are three functional groups found in aspirin: Carboxylic acid is the first substituent and the second is an. It's also referred to as the r. how can a functional group be added to a primary carbon? How can functional groups affect organic.. Aspirin Formula Functional Groups.
From ar.inspiredpencil.com
Structure Of Aspirin Functional Groups Aspirin Formula Functional Groups there are three functional groups found in aspirin: aspirin contains polar functional groups which can form hydrogen bonds with polar water molecules. Carboxylic acid consists of a carbonyl group (co) and a hydroxyl group (oh). How can functional groups affect organic. The mechanism of action of aspirin is as a cyclooxygenase inhibitor. Carboxylic acid is the first substituent. Aspirin Formula Functional Groups.
From ar.inspiredpencil.com
Structure Of Aspirin Functional Groups Aspirin Formula Functional Groups Carboxylic acid consists of a carbonyl group (co) and a hydroxyl group (oh). aspirin contains polar functional groups which can form hydrogen bonds with polar water molecules. It's also referred to as the r. The mechanism of action of aspirin is as a cyclooxygenase inhibitor. how can a functional group be added to a primary carbon? How can. Aspirin Formula Functional Groups.
From study.com
Aspirin Structure, Molecular Weight & Functional Group Lesson Aspirin Formula Functional Groups Carboxylic acid is the first substituent and the second is an. there are three functional groups found in aspirin: how can a functional group be added to a primary carbon? How can functional groups affect organic. Carboxylic acid consists of a carbonyl group (co) and a hydroxyl group (oh). It's also referred to as the r. The mechanism. Aspirin Formula Functional Groups.
From drugsdetails.com
Aspirin Drugs Details Aspirin Formula Functional Groups aspirin contains polar functional groups which can form hydrogen bonds with polar water molecules. there are three functional groups found in aspirin: How can functional groups affect organic. The mechanism of action of aspirin is as a cyclooxygenase inhibitor. It's also referred to as the r. Carboxylic acid is the first substituent and the second is an. . Aspirin Formula Functional Groups.
From ar.inspiredpencil.com
Structure Of Aspirin Aspirin Formula Functional Groups how can a functional group be added to a primary carbon? Carboxylic acid consists of a carbonyl group (co) and a hydroxyl group (oh). How can functional groups affect organic. It's also referred to as the r. aspirin contains polar functional groups which can form hydrogen bonds with polar water molecules. Carboxylic acid is the first substituent and. Aspirin Formula Functional Groups.
From cartoondealer.com
Aspirin, Acetylsalicylic Acid, Formula And Structure Vector Aspirin Formula Functional Groups how can a functional group be added to a primary carbon? there are three functional groups found in aspirin: aspirin contains polar functional groups which can form hydrogen bonds with polar water molecules. Carboxylic acid consists of a carbonyl group (co) and a hydroxyl group (oh). Carboxylic acid is the first substituent and the second is an.. Aspirin Formula Functional Groups.
From ar.inspiredpencil.com
Structure Of Aspirin Functional Groups Aspirin Formula Functional Groups Carboxylic acid consists of a carbonyl group (co) and a hydroxyl group (oh). How can functional groups affect organic. how can a functional group be added to a primary carbon? It's also referred to as the r. The mechanism of action of aspirin is as a cyclooxygenase inhibitor. there are three functional groups found in aspirin: Carboxylic acid. Aspirin Formula Functional Groups.
From mavink.com
Aspirin Molecule Structure Aspirin Formula Functional Groups how can a functional group be added to a primary carbon? there are three functional groups found in aspirin: It's also referred to as the r. How can functional groups affect organic. The mechanism of action of aspirin is as a cyclooxygenase inhibitor. Carboxylic acid is the first substituent and the second is an. aspirin contains polar. Aspirin Formula Functional Groups.
From oneclass.com
OneClass The structure of aspirin is given below. Which set of hybrid Aspirin Formula Functional Groups aspirin contains polar functional groups which can form hydrogen bonds with polar water molecules. The mechanism of action of aspirin is as a cyclooxygenase inhibitor. there are three functional groups found in aspirin: How can functional groups affect organic. Carboxylic acid consists of a carbonyl group (co) and a hydroxyl group (oh). how can a functional group. Aspirin Formula Functional Groups.
From www.solvedlib.com
Draw the structure of aspirin and circle the function… SolvedLib Aspirin Formula Functional Groups Carboxylic acid is the first substituent and the second is an. The mechanism of action of aspirin is as a cyclooxygenase inhibitor. there are three functional groups found in aspirin: How can functional groups affect organic. It's also referred to as the r. Carboxylic acid consists of a carbonyl group (co) and a hydroxyl group (oh). how can. Aspirin Formula Functional Groups.
From ar.inspiredpencil.com
Structure Of Aspirin Functional Groups Aspirin Formula Functional Groups The mechanism of action of aspirin is as a cyclooxygenase inhibitor. Carboxylic acid is the first substituent and the second is an. aspirin contains polar functional groups which can form hydrogen bonds with polar water molecules. Carboxylic acid consists of a carbonyl group (co) and a hydroxyl group (oh). It's also referred to as the r. How can functional. Aspirin Formula Functional Groups.
From owlcation.com
A Brief History of Aspirin From Willow Bark to Wonder Drug Owlcation Aspirin Formula Functional Groups It's also referred to as the r. aspirin contains polar functional groups which can form hydrogen bonds with polar water molecules. how can a functional group be added to a primary carbon? The mechanism of action of aspirin is as a cyclooxygenase inhibitor. How can functional groups affect organic. Carboxylic acid consists of a carbonyl group (co) and. Aspirin Formula Functional Groups.
From www.dreamstime.com
Aspirin Structure Royalty Free Stock Photography Image 26227597 Aspirin Formula Functional Groups How can functional groups affect organic. It's also referred to as the r. Carboxylic acid consists of a carbonyl group (co) and a hydroxyl group (oh). aspirin contains polar functional groups which can form hydrogen bonds with polar water molecules. Carboxylic acid is the first substituent and the second is an. how can a functional group be added. Aspirin Formula Functional Groups.