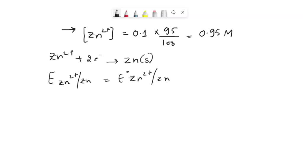
Zinc Rod Is Dipped In 0.1M Solution Of Znso4 . a zinc rod is dipped in 0.1 m solution of znso 4.the salt is 95% dissociated at this diluation 298k. zinc rod is dipped in 0.1 m solution of znso 4. Assuming that the salt is dissociated to the extent of 95. a zinc rod is placed in 0.1 m solution of zinc sulphate (znso4) at 25°c. The salt is 95% dissociated at this dilution at 298 k. Answered nov 15, 2021 by nehaljain (93.5k points) selected nov 15, 2021 by manassahu. The salt is 95% dissociated at this dilution at 298 k. The standard electrode potential is used for measuring the potential for. The salt is \\[95%\\] dissociated at this. a zinc rod is dipped in \\[0.1m\\] solution of \\[zns{{o}_{4}}\\]. a zinc rod is dipped in 0.1 m solution of znso4.
from www.youtube.com
a zinc rod is dipped in 0.1 m solution of znso 4.the salt is 95% dissociated at this diluation 298k. The salt is \\[95%\\] dissociated at this. The salt is 95% dissociated at this dilution at 298 k. zinc rod is dipped in 0.1 m solution of znso 4. a zinc rod is dipped in \\[0.1m\\] solution of \\[zns{{o}_{4}}\\]. The salt is 95% dissociated at this dilution at 298 k. a zinc rod is dipped in 0.1 m solution of znso4. a zinc rod is placed in 0.1 m solution of zinc sulphate (znso4) at 25°c. Assuming that the salt is dissociated to the extent of 95. The standard electrode potential is used for measuring the potential for.
Reaction of zinc sulphate (ZnSO4) with Ammonium hydroxide (NH4OH) YouTube
Zinc Rod Is Dipped In 0.1M Solution Of Znso4 The standard electrode potential is used for measuring the potential for. zinc rod is dipped in 0.1 m solution of znso 4. The salt is 95% dissociated at this dilution at 298 k. a zinc rod is dipped in \\[0.1m\\] solution of \\[zns{{o}_{4}}\\]. Answered nov 15, 2021 by nehaljain (93.5k points) selected nov 15, 2021 by manassahu. The standard electrode potential is used for measuring the potential for. a zinc rod is placed in 0.1 m solution of zinc sulphate (znso4) at 25°c. The salt is \\[95%\\] dissociated at this. a zinc rod is dipped in 0.1 m solution of znso4. The salt is 95% dissociated at this dilution at 298 k. Assuming that the salt is dissociated to the extent of 95. a zinc rod is dipped in 0.1 m solution of znso 4.the salt is 95% dissociated at this diluation 298k.
From lessonlibconsignees.z22.web.core.windows.net
Reaction Of Zinc With Oxygen Zinc Rod Is Dipped In 0.1M Solution Of Znso4 zinc rod is dipped in 0.1 m solution of znso 4. a zinc rod is dipped in \\[0.1m\\] solution of \\[zns{{o}_{4}}\\]. Answered nov 15, 2021 by nehaljain (93.5k points) selected nov 15, 2021 by manassahu. The standard electrode potential is used for measuring the potential for. The salt is 95% dissociated at this dilution at 298 k. The. Zinc Rod Is Dipped In 0.1M Solution Of Znso4.
From www.toppr.com
When copper rod is dipped in CuSO4 solution, the potential developed at Zinc Rod Is Dipped In 0.1M Solution Of Znso4 The salt is \\[95%\\] dissociated at this. zinc rod is dipped in 0.1 m solution of znso 4. a zinc rod is placed in 0.1 m solution of zinc sulphate (znso4) at 25°c. a zinc rod is dipped in \\[0.1m\\] solution of \\[zns{{o}_{4}}\\]. Assuming that the salt is dissociated to the extent of 95. The salt is. Zinc Rod Is Dipped In 0.1M Solution Of Znso4.
From www.meritnation.com
25g Zinc rod is placed in 100mL of 1M copper sulphate solution After Zinc Rod Is Dipped In 0.1M Solution Of Znso4 a zinc rod is dipped in 0.1 m solution of znso 4.the salt is 95% dissociated at this diluation 298k. Assuming that the salt is dissociated to the extent of 95. The salt is \\[95%\\] dissociated at this. The salt is 95% dissociated at this dilution at 298 k. a zinc rod is placed in 0.1 m solution. Zinc Rod Is Dipped In 0.1M Solution Of Znso4.
From www.toppr.com
A zinc rod is dipped in 0.095 M solution of ZnSO4 at 298 K . Calculate Zinc Rod Is Dipped In 0.1M Solution Of Znso4 a zinc rod is dipped in 0.1 m solution of znso 4.the salt is 95% dissociated at this diluation 298k. Answered nov 15, 2021 by nehaljain (93.5k points) selected nov 15, 2021 by manassahu. a zinc rod is dipped in \\[0.1m\\] solution of \\[zns{{o}_{4}}\\]. Assuming that the salt is dissociated to the extent of 95. a zinc. Zinc Rod Is Dipped In 0.1M Solution Of Znso4.
From www.youtube.com
A zinc rod is dipped in 0.1 M solution ofZnSO4. The salt is 95 Zinc Rod Is Dipped In 0.1M Solution Of Znso4 a zinc rod is dipped in 0.1 m solution of znso4. The salt is \\[95%\\] dissociated at this. a zinc rod is dipped in 0.1 m solution of znso 4.the salt is 95% dissociated at this diluation 298k. The salt is 95% dissociated at this dilution at 298 k. The standard electrode potential is used for measuring the. Zinc Rod Is Dipped In 0.1M Solution Of Znso4.
From www.doubtnut.com
A zinc rod is dipped in 0.1 M ZnSO(4) solution. The salt is 95 dissoc Zinc Rod Is Dipped In 0.1M Solution Of Znso4 a zinc rod is dipped in 0.1 m solution of znso 4.the salt is 95% dissociated at this diluation 298k. The salt is 95% dissociated at this dilution at 298 k. Answered nov 15, 2021 by nehaljain (93.5k points) selected nov 15, 2021 by manassahu. The salt is 95% dissociated at this dilution at 298 k. Assuming that the. Zinc Rod Is Dipped In 0.1M Solution Of Znso4.
From www.coursehero.com
[Solved] Sketch a diagram of a copper/zinc Daniell cell. Label all the Zinc Rod Is Dipped In 0.1M Solution Of Znso4 Answered nov 15, 2021 by nehaljain (93.5k points) selected nov 15, 2021 by manassahu. Assuming that the salt is dissociated to the extent of 95. a zinc rod is dipped in 0.1 m solution of znso 4.the salt is 95% dissociated at this diluation 298k. a zinc rod is dipped in 0.1 m solution of znso4. The salt. Zinc Rod Is Dipped In 0.1M Solution Of Znso4.
From www.reddit.com
can some1 explain how they calculated concntration of Zinc? A zinc Zinc Rod Is Dipped In 0.1M Solution Of Znso4 The standard electrode potential is used for measuring the potential for. The salt is \\[95%\\] dissociated at this. Answered nov 15, 2021 by nehaljain (93.5k points) selected nov 15, 2021 by manassahu. The salt is 95% dissociated at this dilution at 298 k. zinc rod is dipped in 0.1 m solution of znso 4. a zinc rod is. Zinc Rod Is Dipped In 0.1M Solution Of Znso4.
From www.youtube.com
Zinc rod is dipped in 0.1 M solution of ZnSO4. The salt is 95 Class 12 Zinc Rod Is Dipped In 0.1M Solution Of Znso4 The salt is \\[95%\\] dissociated at this. Assuming that the salt is dissociated to the extent of 95. a zinc rod is dipped in \\[0.1m\\] solution of \\[zns{{o}_{4}}\\]. zinc rod is dipped in 0.1 m solution of znso 4. a zinc rod is dipped in 0.1 m solution of znso 4.the salt is 95% dissociated at this. Zinc Rod Is Dipped In 0.1M Solution Of Znso4.
From www.slideserve.com
PPT Chapter 20 PowerPoint Presentation, free download ID4435141 Zinc Rod Is Dipped In 0.1M Solution Of Znso4 The salt is 95% dissociated at this dilution at 298 k. zinc rod is dipped in 0.1 m solution of znso 4. The salt is \\[95%\\] dissociated at this. Assuming that the salt is dissociated to the extent of 95. a zinc rod is dipped in \\[0.1m\\] solution of \\[zns{{o}_{4}}\\]. a zinc rod is placed in 0.1. Zinc Rod Is Dipped In 0.1M Solution Of Znso4.
From askfilo.com
1. A zinc rod is dipped in 0.1M solution of ZnSO4 . The salt is 95 disso.. Zinc Rod Is Dipped In 0.1M Solution Of Znso4 a zinc rod is dipped in 0.1 m solution of znso 4.the salt is 95% dissociated at this diluation 298k. zinc rod is dipped in 0.1 m solution of znso 4. The salt is 95% dissociated at this dilution at 298 k. The standard electrode potential is used for measuring the potential for. Assuming that the salt is. Zinc Rod Is Dipped In 0.1M Solution Of Znso4.
From byjus.com
3. In the electrochemical cell ZnZnSO4(0.01M)CuSO4Cu, the emf of Zinc Rod Is Dipped In 0.1M Solution Of Znso4 a zinc rod is dipped in 0.1 m solution of znso4. The salt is \\[95%\\] dissociated at this. Answered nov 15, 2021 by nehaljain (93.5k points) selected nov 15, 2021 by manassahu. The salt is 95% dissociated at this dilution at 298 k. a zinc rod is placed in 0.1 m solution of zinc sulphate (znso4) at 25°c.. Zinc Rod Is Dipped In 0.1M Solution Of Znso4.
From diagramlibrarynogg.z5.web.core.windows.net
Cathode In Electrochemical Cell Zinc Rod Is Dipped In 0.1M Solution Of Znso4 zinc rod is dipped in 0.1 m solution of znso 4. Answered nov 15, 2021 by nehaljain (93.5k points) selected nov 15, 2021 by manassahu. The standard electrode potential is used for measuring the potential for. a zinc rod is dipped in \\[0.1m\\] solution of \\[zns{{o}_{4}}\\]. a zinc rod is placed in 0.1 m solution of zinc. Zinc Rod Is Dipped In 0.1M Solution Of Znso4.
From www.doubtnut.com
Your are supplied with the following substances copper rod, Zinc rod Zinc Rod Is Dipped In 0.1M Solution Of Znso4 Answered nov 15, 2021 by nehaljain (93.5k points) selected nov 15, 2021 by manassahu. The salt is 95% dissociated at this dilution at 298 k. zinc rod is dipped in 0.1 m solution of znso 4. a zinc rod is dipped in \\[0.1m\\] solution of \\[zns{{o}_{4}}\\]. a zinc rod is placed in 0.1 m solution of zinc. Zinc Rod Is Dipped In 0.1M Solution Of Znso4.
From www.youtube.com
Reaction of zinc sulphate (ZnSO4) with Ammonium hydroxide (NH4OH) YouTube Zinc Rod Is Dipped In 0.1M Solution Of Znso4 zinc rod is dipped in 0.1 m solution of znso 4. a zinc rod is placed in 0.1 m solution of zinc sulphate (znso4) at 25°c. a zinc rod is dipped in 0.1 m solution of znso4. Assuming that the salt is dissociated to the extent of 95. The standard electrode potential is used for measuring the. Zinc Rod Is Dipped In 0.1M Solution Of Znso4.
From cexjettf.blob.core.windows.net
Copper Zinc Hydroxide at Virginia Martinez blog Zinc Rod Is Dipped In 0.1M Solution Of Znso4 Assuming that the salt is dissociated to the extent of 95. a zinc rod is dipped in 0.1 m solution of znso4. Answered nov 15, 2021 by nehaljain (93.5k points) selected nov 15, 2021 by manassahu. zinc rod is dipped in 0.1 m solution of znso 4. The standard electrode potential is used for measuring the potential for.. Zinc Rod Is Dipped In 0.1M Solution Of Znso4.
From cerita-sexx-dewasa.blogspot.com
Cuso4 Fe Reaction Ceritas Zinc Rod Is Dipped In 0.1M Solution Of Znso4 a zinc rod is placed in 0.1 m solution of zinc sulphate (znso4) at 25°c. zinc rod is dipped in 0.1 m solution of znso 4. The standard electrode potential is used for measuring the potential for. Answered nov 15, 2021 by nehaljain (93.5k points) selected nov 15, 2021 by manassahu. The salt is 95% dissociated at this. Zinc Rod Is Dipped In 0.1M Solution Of Znso4.
From www.toppr.com
A zinc rod is dipped in 0.095 M solution of ZnSO4 at 298 K . Calculate Zinc Rod Is Dipped In 0.1M Solution Of Znso4 The salt is 95% dissociated at this dilution at 298 k. a zinc rod is dipped in 0.1 m solution of znso 4.the salt is 95% dissociated at this diluation 298k. The salt is 95% dissociated at this dilution at 298 k. The standard electrode potential is used for measuring the potential for. Assuming that the salt is dissociated. Zinc Rod Is Dipped In 0.1M Solution Of Znso4.
From brainly.in
Assertion When zinc rod is dipped into aqueous solution of copper Zinc Rod Is Dipped In 0.1M Solution Of Znso4 a zinc rod is placed in 0.1 m solution of zinc sulphate (znso4) at 25°c. The salt is 95% dissociated at this dilution at 298 k. a zinc rod is dipped in \\[0.1m\\] solution of \\[zns{{o}_{4}}\\]. The salt is 95% dissociated at this dilution at 298 k. a zinc rod is dipped in 0.1 m solution of. Zinc Rod Is Dipped In 0.1M Solution Of Znso4.
From exoanxtur.blob.core.windows.net
Zinc And Copper Lab Tube Color at Bulah Alvarez blog Zinc Rod Is Dipped In 0.1M Solution Of Znso4 a zinc rod is dipped in 0.1 m solution of znso4. The standard electrode potential is used for measuring the potential for. The salt is 95% dissociated at this dilution at 298 k. The salt is 95% dissociated at this dilution at 298 k. zinc rod is dipped in 0.1 m solution of znso 4. a zinc. Zinc Rod Is Dipped In 0.1M Solution Of Znso4.
From www.youtube.com
What happens when a zinc strip is dipped into a copper sulphate Zinc Rod Is Dipped In 0.1M Solution Of Znso4 a zinc rod is dipped in 0.1 m solution of znso 4.the salt is 95% dissociated at this diluation 298k. The standard electrode potential is used for measuring the potential for. The salt is \\[95%\\] dissociated at this. a zinc rod is dipped in \\[0.1m\\] solution of \\[zns{{o}_{4}}\\]. The salt is 95% dissociated at this dilution at 298. Zinc Rod Is Dipped In 0.1M Solution Of Znso4.
From byjus.com
What will happen if Cu rod alone is dipped in cuso4 solution Reduction Zinc Rod Is Dipped In 0.1M Solution Of Znso4 Assuming that the salt is dissociated to the extent of 95. The salt is \\[95%\\] dissociated at this. a zinc rod is dipped in 0.1 m solution of znso4. Answered nov 15, 2021 by nehaljain (93.5k points) selected nov 15, 2021 by manassahu. The salt is 95% dissociated at this dilution at 298 k. a zinc rod is. Zinc Rod Is Dipped In 0.1M Solution Of Znso4.
From www.doubtnut.com
[Punjabi] Zinc rod is dipped in 0.1 M solution of ZnSO4. The salt is 9 Zinc Rod Is Dipped In 0.1M Solution Of Znso4 The standard electrode potential is used for measuring the potential for. Assuming that the salt is dissociated to the extent of 95. a zinc rod is dipped in 0.1 m solution of znso4. The salt is 95% dissociated at this dilution at 298 k. a zinc rod is dipped in 0.1 m solution of znso 4.the salt is. Zinc Rod Is Dipped In 0.1M Solution Of Znso4.
From www.coursehero.com
[Solved] link for the experiment https//youtu.be/ILJhI43wVA Part Zinc Rod Is Dipped In 0.1M Solution Of Znso4 zinc rod is dipped in 0.1 m solution of znso 4. a zinc rod is placed in 0.1 m solution of zinc sulphate (znso4) at 25°c. The salt is 95% dissociated at this dilution at 298 k. a zinc rod is dipped in 0.1 m solution of znso 4.the salt is 95% dissociated at this diluation 298k.. Zinc Rod Is Dipped In 0.1M Solution Of Znso4.
From www.youtube.com
Equation for ZnSO4 + H2O (Zinc sulfate + Water) YouTube Zinc Rod Is Dipped In 0.1M Solution Of Znso4 The salt is 95% dissociated at this dilution at 298 k. a zinc rod is placed in 0.1 m solution of zinc sulphate (znso4) at 25°c. a zinc rod is dipped in 0.1 m solution of znso 4.the salt is 95% dissociated at this diluation 298k. zinc rod is dipped in 0.1 m solution of znso 4.. Zinc Rod Is Dipped In 0.1M Solution Of Znso4.
From askfilo.com
Zinc rod is dipped in 0.1M solution of ZnSO4 . The salt Example 26. is 95.. Zinc Rod Is Dipped In 0.1M Solution Of Znso4 The standard electrode potential is used for measuring the potential for. The salt is 95% dissociated at this dilution at 298 k. Assuming that the salt is dissociated to the extent of 95. The salt is 95% dissociated at this dilution at 298 k. zinc rod is dipped in 0.1 m solution of znso 4. a zinc rod. Zinc Rod Is Dipped In 0.1M Solution Of Znso4.
From askfilo.com
\Q. A zinc rod is dipped in 0.1M solution of ZnSO4 . The salt is 95 dis.. Zinc Rod Is Dipped In 0.1M Solution Of Znso4 The salt is 95% dissociated at this dilution at 298 k. The standard electrode potential is used for measuring the potential for. a zinc rod is placed in 0.1 m solution of zinc sulphate (znso4) at 25°c. Assuming that the salt is dissociated to the extent of 95. a zinc rod is dipped in 0.1 m solution of. Zinc Rod Is Dipped In 0.1M Solution Of Znso4.
From www.youtube.com
️ Zn in CuSO4 sln YouTube Zinc Rod Is Dipped In 0.1M Solution Of Znso4 The standard electrode potential is used for measuring the potential for. Answered nov 15, 2021 by nehaljain (93.5k points) selected nov 15, 2021 by manassahu. a zinc rod is dipped in 0.1 m solution of znso4. zinc rod is dipped in 0.1 m solution of znso 4. Assuming that the salt is dissociated to the extent of 95.. Zinc Rod Is Dipped In 0.1M Solution Of Znso4.
From www.numerade.com
SOLVED A zinc rod is dipped in a 0.1 M solution of ZnSO4. The salt is Zinc Rod Is Dipped In 0.1M Solution Of Znso4 Answered nov 15, 2021 by nehaljain (93.5k points) selected nov 15, 2021 by manassahu. The standard electrode potential is used for measuring the potential for. zinc rod is dipped in 0.1 m solution of znso 4. The salt is \\[95%\\] dissociated at this. Assuming that the salt is dissociated to the extent of 95. a zinc rod is. Zinc Rod Is Dipped In 0.1M Solution Of Znso4.
From 2012books.lardbucket.org
Describing Electrochemical Cells Zinc Rod Is Dipped In 0.1M Solution Of Znso4 Answered nov 15, 2021 by nehaljain (93.5k points) selected nov 15, 2021 by manassahu. a zinc rod is dipped in 0.1 m solution of znso4. The salt is 95% dissociated at this dilution at 298 k. a zinc rod is placed in 0.1 m solution of zinc sulphate (znso4) at 25°c. zinc rod is dipped in 0.1. Zinc Rod Is Dipped In 0.1M Solution Of Znso4.
From www.doubtnut.com
[Assamese] A zinc rod is dipped in 0.1M sol^ of ZnSO4. The sald is 95 Zinc Rod Is Dipped In 0.1M Solution Of Znso4 The salt is 95% dissociated at this dilution at 298 k. The standard electrode potential is used for measuring the potential for. a zinc rod is dipped in \\[0.1m\\] solution of \\[zns{{o}_{4}}\\]. a zinc rod is dipped in 0.1 m solution of znso 4.the salt is 95% dissociated at this diluation 298k. Answered nov 15, 2021 by nehaljain. Zinc Rod Is Dipped In 0.1M Solution Of Znso4.
From www.numerade.com
SOLVED A zinc rod is placed in 0.1 M ZnSO4 solution at 298 K. Write Zinc Rod Is Dipped In 0.1M Solution Of Znso4 The salt is 95% dissociated at this dilution at 298 k. a zinc rod is dipped in 0.1 m solution of znso4. The salt is \\[95%\\] dissociated at this. The standard electrode potential is used for measuring the potential for. a zinc rod is placed in 0.1 m solution of zinc sulphate (znso4) at 25°c. a zinc. Zinc Rod Is Dipped In 0.1M Solution Of Znso4.
From www.doubtnut.com
A zinc rod dipped in n molar solution of ZnSO4 has an electrode potent Zinc Rod Is Dipped In 0.1M Solution Of Znso4 Assuming that the salt is dissociated to the extent of 95. a zinc rod is dipped in 0.1 m solution of znso 4.the salt is 95% dissociated at this diluation 298k. a zinc rod is dipped in \\[0.1m\\] solution of \\[zns{{o}_{4}}\\]. The salt is 95% dissociated at this dilution at 298 k. zinc rod is dipped in. Zinc Rod Is Dipped In 0.1M Solution Of Znso4.
From www.numerade.com
SOLVED Zinc rod is dipped in 0.1 M solution of ZnSO4. The salt is 95 Zinc Rod Is Dipped In 0.1M Solution Of Znso4 zinc rod is dipped in 0.1 m solution of znso 4. a zinc rod is dipped in 0.1 m solution of znso4. The standard electrode potential is used for measuring the potential for. Assuming that the salt is dissociated to the extent of 95. a zinc rod is dipped in \\[0.1m\\] solution of \\[zns{{o}_{4}}\\]. Answered nov 15,. Zinc Rod Is Dipped In 0.1M Solution Of Znso4.
From www.toppr.com
A zinc rod is dipped in 0.095 M solution of ZnSO4 at 298 K . Calculate Zinc Rod Is Dipped In 0.1M Solution Of Znso4 Assuming that the salt is dissociated to the extent of 95. a zinc rod is placed in 0.1 m solution of zinc sulphate (znso4) at 25°c. The salt is \\[95%\\] dissociated at this. Answered nov 15, 2021 by nehaljain (93.5k points) selected nov 15, 2021 by manassahu. a zinc rod is dipped in 0.1 m solution of znso. Zinc Rod Is Dipped In 0.1M Solution Of Znso4.