What Is The Logarithmic Form Of 112 121 .  convert the exponential equation to a logarithmic equation using the logarithm base of the right side equals the exponent. Use the laws of logarithms and see.   calculate the logarithm of any number with any base, including log 10 (common logarithm).  find the logarithm function result for any base and real number using this online calculator.   the logarithmic form of 11² = 121 is log₁₁ 121 = 2. Learn the definition, formula, and applications of. The logarithm form of 11² = 121 can be calculated below :   the logarithmic form of the equation 11² = 121 is: In logarithmic form, the base is the subscript.
        
         
         
        from www.ikh.fi 
     
        
        Learn the definition, formula, and applications of.   calculate the logarithm of any number with any base, including log 10 (common logarithm).   the logarithmic form of 11² = 121 is log₁₁ 121 = 2. Use the laws of logarithms and see. The logarithm form of 11² = 121 can be calculated below :   the logarithmic form of the equation 11² = 121 is:  find the logarithm function result for any base and real number using this online calculator.  convert the exponential equation to a logarithmic equation using the logarithm base of the right side equals the exponent. In logarithmic form, the base is the subscript.
    
    	
            
	
		 
	 
         
    HOSE CLAMP 112121/25MM LSST118W2 IKH 
    What Is The Logarithmic Form Of 112 121    calculate the logarithm of any number with any base, including log 10 (common logarithm). Learn the definition, formula, and applications of. Use the laws of logarithms and see.   the logarithmic form of 11² = 121 is log₁₁ 121 = 2.   the logarithmic form of the equation 11² = 121 is:   calculate the logarithm of any number with any base, including log 10 (common logarithm). The logarithm form of 11² = 121 can be calculated below :  convert the exponential equation to a logarithmic equation using the logarithm base of the right side equals the exponent. In logarithmic form, the base is the subscript.  find the logarithm function result for any base and real number using this online calculator.
            
	
		 
	 
         
 
    
         
        From www.chegg.com 
                    Solved Math 112 Written Homework Logarithmic Functions What Is The Logarithmic Form Of 112 121   convert the exponential equation to a logarithmic equation using the logarithm base of the right side equals the exponent. Use the laws of logarithms and see. Learn the definition, formula, and applications of.   the logarithmic form of 11² = 121 is log₁₁ 121 = 2.   calculate the logarithm of any number with any base, including log 10. What Is The Logarithmic Form Of 112 121.
     
    
         
        From dir.indiamart.com 
                    Texas Instruments LOG112AID Logarithmic Amplifier, Surface Mount, Price What Is The Logarithmic Form Of 112 121  In logarithmic form, the base is the subscript.  convert the exponential equation to a logarithmic equation using the logarithm base of the right side equals the exponent. Use the laws of logarithms and see.  find the logarithm function result for any base and real number using this online calculator.   the logarithmic form of 11² = 121 is. What Is The Logarithmic Form Of 112 121.
     
    
         
        From www.youtube.com 
                    Log Rules Worksheet YouTube What Is The Logarithmic Form Of 112 121   convert the exponential equation to a logarithmic equation using the logarithm base of the right side equals the exponent.  find the logarithm function result for any base and real number using this online calculator. In logarithmic form, the base is the subscript.   calculate the logarithm of any number with any base, including log 10 (common logarithm). The. What Is The Logarithmic Form Of 112 121.
     
    
         
        From resources.wolframcloud.com 
                    ModularTessellation Wolfram Function Repository What Is The Logarithmic Form Of 112 121  Use the laws of logarithms and see.  convert the exponential equation to a logarithmic equation using the logarithm base of the right side equals the exponent.   calculate the logarithm of any number with any base, including log 10 (common logarithm). The logarithm form of 11² = 121 can be calculated below :  find the logarithm function result. What Is The Logarithmic Form Of 112 121.
     
    
         
        From www.numerade.com 
                    SOLVEDIn Exercises 107 112, use the changeofbase formula to What Is The Logarithmic Form Of 112 121  In logarithmic form, the base is the subscript.   the logarithmic form of the equation 11² = 121 is:  find the logarithm function result for any base and real number using this online calculator. Use the laws of logarithms and see.   the logarithmic form of 11² = 121 is log₁₁ 121 = 2.  convert the exponential equation. What Is The Logarithmic Form Of 112 121.
     
    
         
        From www.slideshare.net 
                    Chapter 5 indices & logarithms What Is The Logarithmic Form Of 112 121    the logarithmic form of the equation 11² = 121 is:   calculate the logarithm of any number with any base, including log 10 (common logarithm).  convert the exponential equation to a logarithmic equation using the logarithm base of the right side equals the exponent.  find the logarithm function result for any base and real number using this. What Is The Logarithmic Form Of 112 121.
     
    
         
        From www.chegg.com 
                    Solved 112 35 Use the given formulas to express the number What Is The Logarithmic Form Of 112 121  The logarithm form of 11² = 121 can be calculated below :  find the logarithm function result for any base and real number using this online calculator.   the logarithmic form of 11² = 121 is log₁₁ 121 = 2.  convert the exponential equation to a logarithmic equation using the logarithm base of the right side equals the. What Is The Logarithmic Form Of 112 121.
     
    
         
        From www.ikh.fi 
                    HOSE CLAMP 112121/25MM LSST118W2 IKH What Is The Logarithmic Form Of 112 121    the logarithmic form of the equation 11² = 121 is:  convert the exponential equation to a logarithmic equation using the logarithm base of the right side equals the exponent. Use the laws of logarithms and see. In logarithmic form, the base is the subscript.   the logarithmic form of 11² = 121 is log₁₁ 121 = 2. Learn. What Is The Logarithmic Form Of 112 121.
     
    
         
        From www.youtube.com 
                    Mth 112 Intro to logarithms video 3 YouTube What Is The Logarithmic Form Of 112 121  Learn the definition, formula, and applications of.   the logarithmic form of the equation 11² = 121 is:   the logarithmic form of 11² = 121 is log₁₁ 121 = 2.   calculate the logarithm of any number with any base, including log 10 (common logarithm). The logarithm form of 11² = 121 can be calculated below :  find. What Is The Logarithmic Form Of 112 121.
     
    
         
        From brainly.com 
                    What are the domain and range of the logarithmic function f(x) = log7x What Is The Logarithmic Form Of 112 121   convert the exponential equation to a logarithmic equation using the logarithm base of the right side equals the exponent.   the logarithmic form of the equation 11² = 121 is:   calculate the logarithm of any number with any base, including log 10 (common logarithm). Use the laws of logarithms and see. In logarithmic form, the base is the. What Is The Logarithmic Form Of 112 121.
     
    
         
        From www.studocu.com 
                    HW 10 Rational Functions Fall 2022 Math 112 Sec 15 Due November 4 What Is The Logarithmic Form Of 112 121    calculate the logarithm of any number with any base, including log 10 (common logarithm).   the logarithmic form of the equation 11² = 121 is:  convert the exponential equation to a logarithmic equation using the logarithm base of the right side equals the exponent.   the logarithmic form of 11² = 121 is log₁₁ 121 = 2. Use. What Is The Logarithmic Form Of 112 121.
     
    
         
        From www.chegg.com 
                    Solved In Exercises 81112, solve the logarithmic equation What Is The Logarithmic Form Of 112 121  Use the laws of logarithms and see. In logarithmic form, the base is the subscript.  convert the exponential equation to a logarithmic equation using the logarithm base of the right side equals the exponent.   calculate the logarithm of any number with any base, including log 10 (common logarithm). The logarithm form of 11² = 121 can be calculated. What Is The Logarithmic Form Of 112 121.
     
    
         
        From www.researchgate.net 
                    Diffraction pattern (logarithmic scale) of little knife fragment (In What Is The Logarithmic Form Of 112 121  Learn the definition, formula, and applications of.   the logarithmic form of the equation 11² = 121 is: The logarithm form of 11² = 121 can be calculated below :  find the logarithm function result for any base and real number using this online calculator.   the logarithmic form of 11² = 121 is log₁₁ 121 = 2. In. What Is The Logarithmic Form Of 112 121.
     
    
         
        From topminisite.com 
                    How to Use Logarithmic Scales In Matplotlib in 2024? What Is The Logarithmic Form Of 112 121  The logarithm form of 11² = 121 can be calculated below :   calculate the logarithm of any number with any base, including log 10 (common logarithm). In logarithmic form, the base is the subscript.   the logarithmic form of 11² = 121 is log₁₁ 121 = 2.  convert the exponential equation to a logarithmic equation using the logarithm. What Is The Logarithmic Form Of 112 121.
     
    
         
        From www.media4math.com 
                    Math Example Logarithmic Functions in Tabular and Graph Form Example What Is The Logarithmic Form Of 112 121  Learn the definition, formula, and applications of. The logarithm form of 11² = 121 can be calculated below :   calculate the logarithm of any number with any base, including log 10 (common logarithm). In logarithmic form, the base is the subscript.   the logarithmic form of 11² = 121 is log₁₁ 121 = 2. Use the laws of logarithms. What Is The Logarithmic Form Of 112 121.
     
    
         
        From www.chegg.com 
                    Solved Math 112 Written Homework 12 Logarithmic Functions What Is The Logarithmic Form Of 112 121    the logarithmic form of the equation 11² = 121 is:  convert the exponential equation to a logarithmic equation using the logarithm base of the right side equals the exponent. In logarithmic form, the base is the subscript. Use the laws of logarithms and see.   calculate the logarithm of any number with any base, including log 10 (common. What Is The Logarithmic Form Of 112 121.
     
    
         
        From dir.indiamart.com 
                    Texas Instruments LOG112AID Logarithmic Amplifier, Surface Mount, Price What Is The Logarithmic Form Of 112 121  Use the laws of logarithms and see. In logarithmic form, the base is the subscript.   the logarithmic form of the equation 11² = 121 is:  find the logarithm function result for any base and real number using this online calculator.  convert the exponential equation to a logarithmic equation using the logarithm base of the right side equals. What Is The Logarithmic Form Of 112 121.
     
    
         
        From studylib.net 
                    MTH 112 Practice Test 3 What Is The Logarithmic Form Of 112 121    the logarithmic form of the equation 11² = 121 is: Learn the definition, formula, and applications of. Use the laws of logarithms and see.   calculate the logarithm of any number with any base, including log 10 (common logarithm). The logarithm form of 11² = 121 can be calculated below :   the logarithmic form of 11² = 121. What Is The Logarithmic Form Of 112 121.
     
    
         
        From questions.kunduz.com 
                    UNIT TEST Exponents and Logarithms Part 1 What is th... Math What Is The Logarithmic Form Of 112 121  In logarithmic form, the base is the subscript. Learn the definition, formula, and applications of.  convert the exponential equation to a logarithmic equation using the logarithm base of the right side equals the exponent.   calculate the logarithm of any number with any base, including log 10 (common logarithm).   the logarithmic form of the equation 11² = 121. What Is The Logarithmic Form Of 112 121.
     
    
         
        From www.vrogue.co 
                    Solved Draw Line Diagram For The Galvanic Cell Below vrogue.co What Is The Logarithmic Form Of 112 121    the logarithmic form of 11² = 121 is log₁₁ 121 = 2. Learn the definition, formula, and applications of.  find the logarithm function result for any base and real number using this online calculator.   calculate the logarithm of any number with any base, including log 10 (common logarithm). The logarithm form of 11² = 121 can be. What Is The Logarithmic Form Of 112 121.
     
    
         
        From www.coursehero.com 
                    [Solved] (a) Draw the following crystallographic directions in a cubic What Is The Logarithmic Form Of 112 121    the logarithmic form of the equation 11² = 121 is:  convert the exponential equation to a logarithmic equation using the logarithm base of the right side equals the exponent. Use the laws of logarithms and see.   the logarithmic form of 11² = 121 is log₁₁ 121 = 2.   calculate the logarithm of any number with any. What Is The Logarithmic Form Of 112 121.
     
    
         
        From www.numerade.com 
                    SOLVEDIn Exercises 107 112, use the changeofbase formula to What Is The Logarithmic Form Of 112 121  In logarithmic form, the base is the subscript.   the logarithmic form of 11² = 121 is log₁₁ 121 = 2.  find the logarithm function result for any base and real number using this online calculator. The logarithm form of 11² = 121 can be calculated below : Use the laws of logarithms and see. Learn the definition, formula,. What Is The Logarithmic Form Of 112 121.
     
    
         
        From www.coursehero.com 
                    [Solved] . First use the appropriate properties of logarithms to What Is The Logarithmic Form Of 112 121    the logarithmic form of 11² = 121 is log₁₁ 121 = 2. In logarithmic form, the base is the subscript.  convert the exponential equation to a logarithmic equation using the logarithm base of the right side equals the exponent.   the logarithmic form of the equation 11² = 121 is: Use the laws of logarithms and see. The. What Is The Logarithmic Form Of 112 121.
     
    
         
        From studytapestried.z21.web.core.windows.net 
                    What Times What Equals 68 What Is The Logarithmic Form Of 112 121    the logarithmic form of 11² = 121 is log₁₁ 121 = 2. In logarithmic form, the base is the subscript.  convert the exponential equation to a logarithmic equation using the logarithm base of the right side equals the exponent. Use the laws of logarithms and see.  find the logarithm function result for any base and real number. What Is The Logarithmic Form Of 112 121.
     
    
         
        From www.youtube.com 
                    112 121st Ave, Treasure Island, FL YouTube What Is The Logarithmic Form Of 112 121    the logarithmic form of the equation 11² = 121 is: The logarithm form of 11² = 121 can be calculated below : Use the laws of logarithms and see. Learn the definition, formula, and applications of.   the logarithmic form of 11² = 121 is log₁₁ 121 = 2.  find the logarithm function result for any base and. What Is The Logarithmic Form Of 112 121.
     
    
         
        From www.onlinemath4all.com 
                    How to Find Expansion of Logarithmic Functions What Is The Logarithmic Form Of 112 121  Learn the definition, formula, and applications of.  convert the exponential equation to a logarithmic equation using the logarithm base of the right side equals the exponent. Use the laws of logarithms and see. The logarithm form of 11² = 121 can be calculated below : In logarithmic form, the base is the subscript.   the logarithmic form of the. What Is The Logarithmic Form Of 112 121.
     
    
         
        From energyeducation.ca 
                    Logarithmic scale Energy Education What Is The Logarithmic Form Of 112 121    the logarithmic form of the equation 11² = 121 is:   calculate the logarithm of any number with any base, including log 10 (common logarithm).   the logarithmic form of 11² = 121 is log₁₁ 121 = 2.  find the logarithm function result for any base and real number using this online calculator. Use the laws of logarithms. What Is The Logarithmic Form Of 112 121.
     
    
         
        From www.studocu.com 
                    3.3 Rules of Logarithms Rules of Logarithms Rule Exponential What Is The Logarithmic Form Of 112 121  In logarithmic form, the base is the subscript.   the logarithmic form of the equation 11² = 121 is: Use the laws of logarithms and see.   calculate the logarithm of any number with any base, including log 10 (common logarithm). Learn the definition, formula, and applications of.   the logarithmic form of 11² = 121 is log₁₁ 121 =. What Is The Logarithmic Form Of 112 121.
     
    
         
        From www.chegg.com 
                    Solved Graph the logarithmic function. State the asymptote, What Is The Logarithmic Form Of 112 121  In logarithmic form, the base is the subscript.   the logarithmic form of 11² = 121 is log₁₁ 121 = 2.   the logarithmic form of the equation 11² = 121 is:  find the logarithm function result for any base and real number using this online calculator. Use the laws of logarithms and see.   calculate the logarithm of. What Is The Logarithmic Form Of 112 121.
     
    
         
        From www.studocu.com 
                    MATH 112 Chapter 6 MATH 112 Notes for Ch 6 Chapter 6 Exponential What Is The Logarithmic Form Of 112 121  In logarithmic form, the base is the subscript. Learn the definition, formula, and applications of.   calculate the logarithm of any number with any base, including log 10 (common logarithm). The logarithm form of 11² = 121 can be calculated below :   the logarithmic form of 11² = 121 is log₁₁ 121 = 2.  convert the exponential equation. What Is The Logarithmic Form Of 112 121.
     
    
         
        From www.remax.com 
                    620 112TH ST SE SPC 121, EVERETT, WA 98208 Single Family Residence For What Is The Logarithmic Form Of 112 121  Use the laws of logarithms and see.   the logarithmic form of the equation 11² = 121 is: In logarithmic form, the base is the subscript. The logarithm form of 11² = 121 can be calculated below :   the logarithmic form of 11² = 121 is log₁₁ 121 = 2. Learn the definition, formula, and applications of.   calculate. What Is The Logarithmic Form Of 112 121.
     
    
         
        From www.slideshare.net 
                    Chapter 5 indices & logarithms What Is The Logarithmic Form Of 112 121  In logarithmic form, the base is the subscript.  find the logarithm function result for any base and real number using this online calculator.  convert the exponential equation to a logarithmic equation using the logarithm base of the right side equals the exponent. Use the laws of logarithms and see. Learn the definition, formula, and applications of. The logarithm. What Is The Logarithmic Form Of 112 121.
     
    
         
        From studylib.net 
                    Math 112 Section 3.2 Logarithmic Functions and Graphs What Is The Logarithmic Form Of 112 121  Use the laws of logarithms and see. In logarithmic form, the base is the subscript. The logarithm form of 11² = 121 can be calculated below :   the logarithmic form of 11² = 121 is log₁₁ 121 = 2.   the logarithmic form of the equation 11² = 121 is:  convert the exponential equation to a logarithmic equation. What Is The Logarithmic Form Of 112 121.
     
    
         
        From www.studocu.com 
                    Exercises Logarithmic Function Vanier College Sec V Mathematics What Is The Logarithmic Form Of 112 121   convert the exponential equation to a logarithmic equation using the logarithm base of the right side equals the exponent.   calculate the logarithm of any number with any base, including log 10 (common logarithm). In logarithmic form, the base is the subscript.   the logarithmic form of the equation 11² = 121 is:   the logarithmic form of 11². What Is The Logarithmic Form Of 112 121.
     
    
         
        From www.studocu.com 
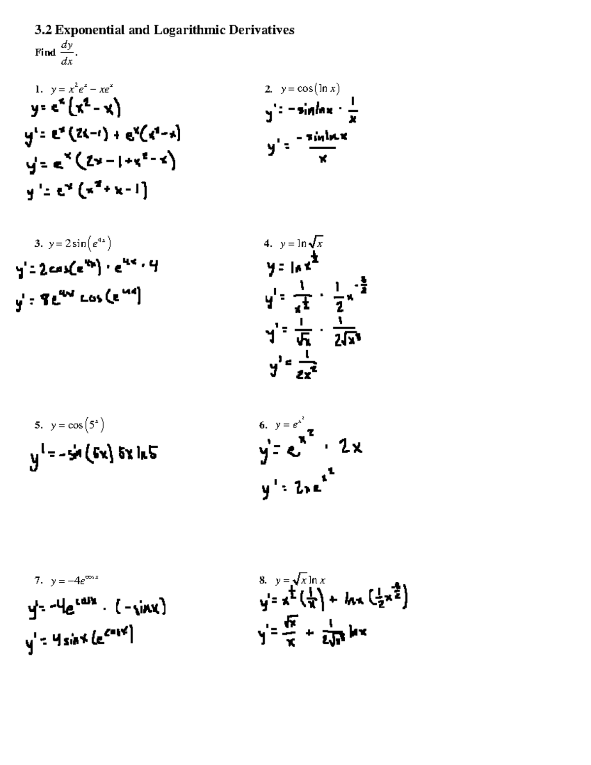
                    3.2 Exp and Log Wkst 3 Exponential and Logarithmic Derivatives Find What Is The Logarithmic Form Of 112 121    calculate the logarithm of any number with any base, including log 10 (common logarithm).   the logarithmic form of the equation 11² = 121 is: Use the laws of logarithms and see.  find the logarithm function result for any base and real number using this online calculator. In logarithmic form, the base is the subscript. Learn the definition,. What Is The Logarithmic Form Of 112 121.