What Is The Meaning Of Consent Declaration . For example, when you sign your. informed consent is the ability for a client to voluntarily agree or disagree to different aspects of their care. it involves one person seeking permission from the other before engaging in an activity and the other person ‘affirming’ or giving. It can be beneficial to have a declaration of consent template that a. a statutory declaration (also known as a stat dec) is a type of legal document that sets out facts that you declare to be true and. understand what is a declaration of consent and what the points are. informed consent is a person’s decision, given voluntarily, to agree to a healthcare treatment, procedure or other intervention. consent is your agreement for a healthcare professional to give you treatment and care, including any tests, medicines,. you give express consent if you give it openly and obviously, either verbally or in writing. To ensure schools, regional offices and department of education (department) divisions are aware of their.
from printableconsentform.com
a statutory declaration (also known as a stat dec) is a type of legal document that sets out facts that you declare to be true and. informed consent is a person’s decision, given voluntarily, to agree to a healthcare treatment, procedure or other intervention. informed consent is the ability for a client to voluntarily agree or disagree to different aspects of their care. you give express consent if you give it openly and obviously, either verbally or in writing. consent is your agreement for a healthcare professional to give you treatment and care, including any tests, medicines,. It can be beneficial to have a declaration of consent template that a. understand what is a declaration of consent and what the points are. it involves one person seeking permission from the other before engaging in an activity and the other person ‘affirming’ or giving. To ensure schools, regional offices and department of education (department) divisions are aware of their. For example, when you sign your.
Declaration Consent Form Printable Consent Form
What Is The Meaning Of Consent Declaration It can be beneficial to have a declaration of consent template that a. It can be beneficial to have a declaration of consent template that a. understand what is a declaration of consent and what the points are. it involves one person seeking permission from the other before engaging in an activity and the other person ‘affirming’ or giving. informed consent is a person’s decision, given voluntarily, to agree to a healthcare treatment, procedure or other intervention. To ensure schools, regional offices and department of education (department) divisions are aware of their. a statutory declaration (also known as a stat dec) is a type of legal document that sets out facts that you declare to be true and. consent is your agreement for a healthcare professional to give you treatment and care, including any tests, medicines,. For example, when you sign your. you give express consent if you give it openly and obviously, either verbally or in writing. informed consent is the ability for a client to voluntarily agree or disagree to different aspects of their care.
From www.slideserve.com
PPT Consent What consent means in a relationship PowerPoint What Is The Meaning Of Consent Declaration it involves one person seeking permission from the other before engaging in an activity and the other person ‘affirming’ or giving. understand what is a declaration of consent and what the points are. informed consent is the ability for a client to voluntarily agree or disagree to different aspects of their care. informed consent is a. What Is The Meaning Of Consent Declaration.
From www.researchgate.net
D Consent form in Helsinki declaration format—statement or declaration What Is The Meaning Of Consent Declaration it involves one person seeking permission from the other before engaging in an activity and the other person ‘affirming’ or giving. a statutory declaration (also known as a stat dec) is a type of legal document that sets out facts that you declare to be true and. consent is your agreement for a healthcare professional to give. What Is The Meaning Of Consent Declaration.
From pathfindersforautism.org
PFA Tips Healthy Relationships Consent 101 Pathfinders for Autism What Is The Meaning Of Consent Declaration informed consent is a person’s decision, given voluntarily, to agree to a healthcare treatment, procedure or other intervention. informed consent is the ability for a client to voluntarily agree or disagree to different aspects of their care. consent is your agreement for a healthcare professional to give you treatment and care, including any tests, medicines,. To ensure. What Is The Meaning Of Consent Declaration.
From www.pinterest.com
Declaration of Consent ("I Do's") Officiant Eric Declaration What Is The Meaning Of Consent Declaration consent is your agreement for a healthcare professional to give you treatment and care, including any tests, medicines,. informed consent is the ability for a client to voluntarily agree or disagree to different aspects of their care. To ensure schools, regional offices and department of education (department) divisions are aware of their. informed consent is a person’s. What Is The Meaning Of Consent Declaration.
From www.medicalindependent.ie
The definition of consent Medical Independent What Is The Meaning Of Consent Declaration For example, when you sign your. understand what is a declaration of consent and what the points are. informed consent is the ability for a client to voluntarily agree or disagree to different aspects of their care. To ensure schools, regional offices and department of education (department) divisions are aware of their. informed consent is a person’s. What Is The Meaning Of Consent Declaration.
From www.scribd.com
Declaration of Consent PDF What Is The Meaning Of Consent Declaration a statutory declaration (also known as a stat dec) is a type of legal document that sets out facts that you declare to be true and. informed consent is a person’s decision, given voluntarily, to agree to a healthcare treatment, procedure or other intervention. It can be beneficial to have a declaration of consent template that a. . What Is The Meaning Of Consent Declaration.
From printableconsentform.com
Declaration Consent Form Printable Consent Form What Is The Meaning Of Consent Declaration it involves one person seeking permission from the other before engaging in an activity and the other person ‘affirming’ or giving. For example, when you sign your. a statutory declaration (also known as a stat dec) is a type of legal document that sets out facts that you declare to be true and. consent is your agreement. What Is The Meaning Of Consent Declaration.
From www.pdffiller.com
Fillable Online Declaration of consent to the simplified procedure What Is The Meaning Of Consent Declaration It can be beneficial to have a declaration of consent template that a. For example, when you sign your. informed consent is a person’s decision, given voluntarily, to agree to a healthcare treatment, procedure or other intervention. you give express consent if you give it openly and obviously, either verbally or in writing. a statutory declaration (also. What Is The Meaning Of Consent Declaration.
From news.rapgenius.com
cdop0vsjm0w18b4fawfc77g9w.png What Is The Meaning Of Consent Declaration informed consent is the ability for a client to voluntarily agree or disagree to different aspects of their care. it involves one person seeking permission from the other before engaging in an activity and the other person ‘affirming’ or giving. To ensure schools, regional offices and department of education (department) divisions are aware of their. It can be. What Is The Meaning Of Consent Declaration.
From printableconsentform.com
Declaration Of Consent Form Printable Consent Form What Is The Meaning Of Consent Declaration a statutory declaration (also known as a stat dec) is a type of legal document that sets out facts that you declare to be true and. it involves one person seeking permission from the other before engaging in an activity and the other person ‘affirming’ or giving. you give express consent if you give it openly and. What Is The Meaning Of Consent Declaration.
From www.templateroller.com
Medical Consent Form Fill Out, Sign Online and Download PDF What Is The Meaning Of Consent Declaration a statutory declaration (also known as a stat dec) is a type of legal document that sets out facts that you declare to be true and. informed consent is a person’s decision, given voluntarily, to agree to a healthcare treatment, procedure or other intervention. it involves one person seeking permission from the other before engaging in an. What Is The Meaning Of Consent Declaration.
From printableconsentform.com
Declaration Of Consent Form Printable Consent Form What Is The Meaning Of Consent Declaration consent is your agreement for a healthcare professional to give you treatment and care, including any tests, medicines,. It can be beneficial to have a declaration of consent template that a. a statutory declaration (also known as a stat dec) is a type of legal document that sets out facts that you declare to be true and. For. What Is The Meaning Of Consent Declaration.
From www.slideshare.net
Patient Consent What Is The Meaning Of Consent Declaration you give express consent if you give it openly and obviously, either verbally or in writing. It can be beneficial to have a declaration of consent template that a. To ensure schools, regional offices and department of education (department) divisions are aware of their. consent is your agreement for a healthcare professional to give you treatment and care,. What Is The Meaning Of Consent Declaration.
From www.academia.edu
(PDF) Consent Definition of consent Malgorzata Lapa Academia.edu What Is The Meaning Of Consent Declaration informed consent is a person’s decision, given voluntarily, to agree to a healthcare treatment, procedure or other intervention. For example, when you sign your. a statutory declaration (also known as a stat dec) is a type of legal document that sets out facts that you declare to be true and. consent is your agreement for a healthcare. What Is The Meaning Of Consent Declaration.
From www.slideserve.com
PPT Consent PowerPoint Presentation, free download ID5360592 What Is The Meaning Of Consent Declaration it involves one person seeking permission from the other before engaging in an activity and the other person ‘affirming’ or giving. consent is your agreement for a healthcare professional to give you treatment and care, including any tests, medicines,. For example, when you sign your. you give express consent if you give it openly and obviously, either. What Is The Meaning Of Consent Declaration.
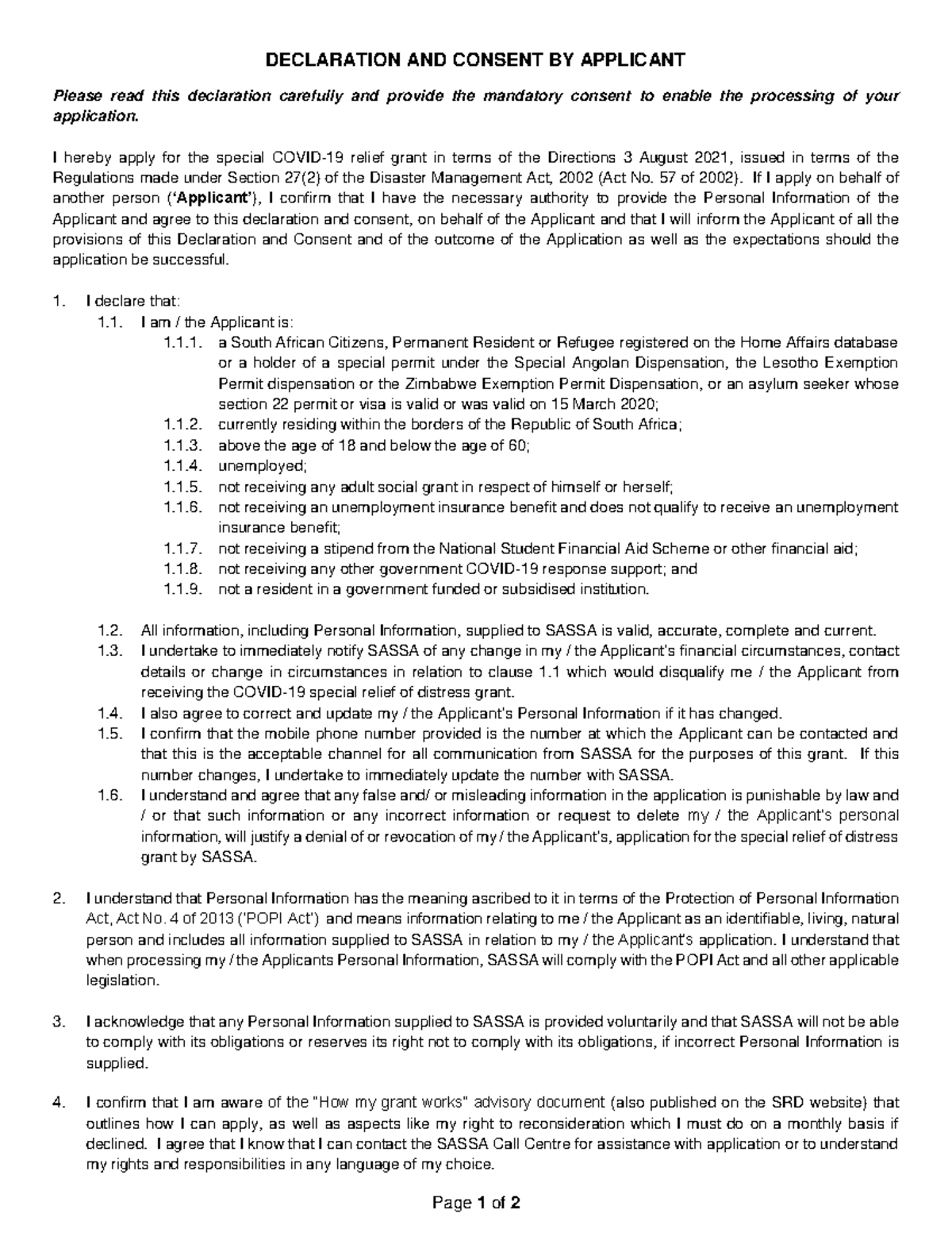
From www.studocu.com
Consent Page 1 of 2 DECLARATION AND CONSENT BY APPLICANT Please read What Is The Meaning Of Consent Declaration you give express consent if you give it openly and obviously, either verbally or in writing. consent is your agreement for a healthcare professional to give you treatment and care, including any tests, medicines,. informed consent is the ability for a client to voluntarily agree or disagree to different aspects of their care. understand what is. What Is The Meaning Of Consent Declaration.
From www.sampleforms.com
FREE 9+ Client Consent Forms in PDF Ms Word What Is The Meaning Of Consent Declaration informed consent is a person’s decision, given voluntarily, to agree to a healthcare treatment, procedure or other intervention. it involves one person seeking permission from the other before engaging in an activity and the other person ‘affirming’ or giving. informed consent is the ability for a client to voluntarily agree or disagree to different aspects of their. What Is The Meaning Of Consent Declaration.
From stdtestingfacilities.com
Sexual Consent 101 A Basic Guide to Consent STD Testing Facilities What Is The Meaning Of Consent Declaration It can be beneficial to have a declaration of consent template that a. informed consent is the ability for a client to voluntarily agree or disagree to different aspects of their care. a statutory declaration (also known as a stat dec) is a type of legal document that sets out facts that you declare to be true and.. What Is The Meaning Of Consent Declaration.
From www.youtube.com
Consent Meaning with Examples YouTube What Is The Meaning Of Consent Declaration you give express consent if you give it openly and obviously, either verbally or in writing. understand what is a declaration of consent and what the points are. informed consent is the ability for a client to voluntarily agree or disagree to different aspects of their care. a statutory declaration (also known as a stat dec). What Is The Meaning Of Consent Declaration.
From www.marketing91.com
What is a Consent Letter? Types and Format Marketing91 What Is The Meaning Of Consent Declaration To ensure schools, regional offices and department of education (department) divisions are aware of their. informed consent is a person’s decision, given voluntarily, to agree to a healthcare treatment, procedure or other intervention. understand what is a declaration of consent and what the points are. It can be beneficial to have a declaration of consent template that a.. What Is The Meaning Of Consent Declaration.
From www.studocu.com
8. Consent Business law lecture notes FREE CONSENT Definition What Is The Meaning Of Consent Declaration informed consent is the ability for a client to voluntarily agree or disagree to different aspects of their care. To ensure schools, regional offices and department of education (department) divisions are aware of their. it involves one person seeking permission from the other before engaging in an activity and the other person ‘affirming’ or giving. It can be. What Is The Meaning Of Consent Declaration.
From www.studocu.com
4declarationofconsent visa DECLARATION OF CONSENT UNDER DATA What Is The Meaning Of Consent Declaration a statutory declaration (also known as a stat dec) is a type of legal document that sets out facts that you declare to be true and. understand what is a declaration of consent and what the points are. informed consent is the ability for a client to voluntarily agree or disagree to different aspects of their care.. What Is The Meaning Of Consent Declaration.
From www.scribd.com
Self Declaration Consent Form Poddar Nursing Home and Hospital Before What Is The Meaning Of Consent Declaration informed consent is the ability for a client to voluntarily agree or disagree to different aspects of their care. It can be beneficial to have a declaration of consent template that a. For example, when you sign your. informed consent is a person’s decision, given voluntarily, to agree to a healthcare treatment, procedure or other intervention. consent. What Is The Meaning Of Consent Declaration.
From www.researchgate.net
The declaration of consent Download Scientific Diagram What Is The Meaning Of Consent Declaration It can be beneficial to have a declaration of consent template that a. informed consent is a person’s decision, given voluntarily, to agree to a healthcare treatment, procedure or other intervention. a statutory declaration (also known as a stat dec) is a type of legal document that sets out facts that you declare to be true and. . What Is The Meaning Of Consent Declaration.
From www.ncertbooks.guru
Consent Letter Format & Samples Guidelines to write a Letter of Consent What Is The Meaning Of Consent Declaration it involves one person seeking permission from the other before engaging in an activity and the other person ‘affirming’ or giving. you give express consent if you give it openly and obviously, either verbally or in writing. For example, when you sign your. consent is your agreement for a healthcare professional to give you treatment and care,. What Is The Meaning Of Consent Declaration.
From www.scribd.com
Declaration of Consent PDF What Is The Meaning Of Consent Declaration understand what is a declaration of consent and what the points are. It can be beneficial to have a declaration of consent template that a. For example, when you sign your. it involves one person seeking permission from the other before engaging in an activity and the other person ‘affirming’ or giving. a statutory declaration (also known. What Is The Meaning Of Consent Declaration.
From studylib.net
Declaration of consent in terms of data protection law What Is The Meaning Of Consent Declaration you give express consent if you give it openly and obviously, either verbally or in writing. It can be beneficial to have a declaration of consent template that a. it involves one person seeking permission from the other before engaging in an activity and the other person ‘affirming’ or giving. For example, when you sign your. understand. What Is The Meaning Of Consent Declaration.
From www.signnow.com
Declaration of Consent to Publish Inaugural Publish UP Form Fill Out What Is The Meaning Of Consent Declaration informed consent is the ability for a client to voluntarily agree or disagree to different aspects of their care. it involves one person seeking permission from the other before engaging in an activity and the other person ‘affirming’ or giving. you give express consent if you give it openly and obviously, either verbally or in writing. . What Is The Meaning Of Consent Declaration.
From www.scribd.com
Declaration of Consent PDF What Is The Meaning Of Consent Declaration informed consent is the ability for a client to voluntarily agree or disagree to different aspects of their care. a statutory declaration (also known as a stat dec) is a type of legal document that sets out facts that you declare to be true and. understand what is a declaration of consent and what the points are.. What Is The Meaning Of Consent Declaration.
From printableconsentform.com
Declaration Consent Form Printable Consent Form What Is The Meaning Of Consent Declaration consent is your agreement for a healthcare professional to give you treatment and care, including any tests, medicines,. For example, when you sign your. a statutory declaration (also known as a stat dec) is a type of legal document that sets out facts that you declare to be true and. you give express consent if you give. What Is The Meaning Of Consent Declaration.
From eforms.com
Free Consent Forms (22) Sample Word PDF eForms What Is The Meaning Of Consent Declaration you give express consent if you give it openly and obviously, either verbally or in writing. it involves one person seeking permission from the other before engaging in an activity and the other person ‘affirming’ or giving. consent is your agreement for a healthcare professional to give you treatment and care, including any tests, medicines,. a. What Is The Meaning Of Consent Declaration.
From www.pdffiller.com
Appointments Declaration/Consent Doc Template pdfFiller What Is The Meaning Of Consent Declaration For example, when you sign your. it involves one person seeking permission from the other before engaging in an activity and the other person ‘affirming’ or giving. you give express consent if you give it openly and obviously, either verbally or in writing. understand what is a declaration of consent and what the points are. To ensure. What Is The Meaning Of Consent Declaration.
From www.signnow.com
Ability Tree Declaration of Consent Form Fill Out and Sign Printable What Is The Meaning Of Consent Declaration consent is your agreement for a healthcare professional to give you treatment and care, including any tests, medicines,. a statutory declaration (also known as a stat dec) is a type of legal document that sets out facts that you declare to be true and. informed consent is a person’s decision, given voluntarily, to agree to a healthcare. What Is The Meaning Of Consent Declaration.
From forms.app
What is informed consent? (Definition, types, and examples) forms.app What Is The Meaning Of Consent Declaration It can be beneficial to have a declaration of consent template that a. you give express consent if you give it openly and obviously, either verbally or in writing. To ensure schools, regional offices and department of education (department) divisions are aware of their. understand what is a declaration of consent and what the points are. it. What Is The Meaning Of Consent Declaration.
From www2.gov.bc.ca
What is consent? Province of British Columbia What Is The Meaning Of Consent Declaration For example, when you sign your. you give express consent if you give it openly and obviously, either verbally or in writing. it involves one person seeking permission from the other before engaging in an activity and the other person ‘affirming’ or giving. To ensure schools, regional offices and department of education (department) divisions are aware of their.. What Is The Meaning Of Consent Declaration.