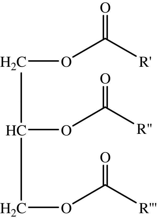
Linseed Oil Molecular Structure . The linseed oil is extracted from both types of flax seeds and appears yellow in colour. Properties of linseed oil ;. Linseed oil, edible and industrial vegetable oil made from the seeds of the flax plant (linum usitatissimum). Structure of linseed oil aim; In this work, we used linseed oil, which is a triglyceride consisting of three fatty acids condensed into a glycerol unit, with a composition mainly of linolenic acid (56.6%), linoleic acid. It discusses the composition and chemical structure of linseed oil,. (d) linolenic acid (c18:3), and (e) a triacylglycerol. Using a structure estimation method based on molecular connectivity indices(1), the koc of the constituent triglycerides of linseed oil can be.
from www.fanevalleystores.com
It discusses the composition and chemical structure of linseed oil,. The linseed oil is extracted from both types of flax seeds and appears yellow in colour. (d) linolenic acid (c18:3), and (e) a triacylglycerol. Properties of linseed oil ;. Using a structure estimation method based on molecular connectivity indices(1), the koc of the constituent triglycerides of linseed oil can be. Structure of linseed oil aim; In this work, we used linseed oil, which is a triglyceride consisting of three fatty acids condensed into a glycerol unit, with a composition mainly of linolenic acid (56.6%), linoleic acid. Linseed oil, edible and industrial vegetable oil made from the seeds of the flax plant (linum usitatissimum).
Buy Linseed Oil 1L from Fane Valley Stores Agricultural Supplies
Linseed Oil Molecular Structure Using a structure estimation method based on molecular connectivity indices(1), the koc of the constituent triglycerides of linseed oil can be. Properties of linseed oil ;. Using a structure estimation method based on molecular connectivity indices(1), the koc of the constituent triglycerides of linseed oil can be. It discusses the composition and chemical structure of linseed oil,. The linseed oil is extracted from both types of flax seeds and appears yellow in colour. (d) linolenic acid (c18:3), and (e) a triacylglycerol. In this work, we used linseed oil, which is a triglyceride consisting of three fatty acids condensed into a glycerol unit, with a composition mainly of linolenic acid (56.6%), linoleic acid. Structure of linseed oil aim; Linseed oil, edible and industrial vegetable oil made from the seeds of the flax plant (linum usitatissimum).
From www.stonehouses.co.uk
Linseed Oil Gilding Linseed Oil Molecular Structure In this work, we used linseed oil, which is a triglyceride consisting of three fatty acids condensed into a glycerol unit, with a composition mainly of linolenic acid (56.6%), linoleic acid. It discusses the composition and chemical structure of linseed oil,. Properties of linseed oil ;. Using a structure estimation method based on molecular connectivity indices(1), the koc of the. Linseed Oil Molecular Structure.
From firesciencereviews.springeropen.com
Low temperature oxidation of linseed oil a review Fire Science Linseed Oil Molecular Structure Structure of linseed oil aim; In this work, we used linseed oil, which is a triglyceride consisting of three fatty acids condensed into a glycerol unit, with a composition mainly of linolenic acid (56.6%), linoleic acid. It discusses the composition and chemical structure of linseed oil,. (d) linolenic acid (c18:3), and (e) a triacylglycerol. Properties of linseed oil ;. Using. Linseed Oil Molecular Structure.
From www.beautylabthestore.gr
Linseed oil organic 1Lt BEAUTYLAB STORE Linseed Oil Molecular Structure The linseed oil is extracted from both types of flax seeds and appears yellow in colour. (d) linolenic acid (c18:3), and (e) a triacylglycerol. It discusses the composition and chemical structure of linseed oil,. Properties of linseed oil ;. Using a structure estimation method based on molecular connectivity indices(1), the koc of the constituent triglycerides of linseed oil can be.. Linseed Oil Molecular Structure.
From www.fanevalleystores.com
Buy Linseed Oil 1L from Fane Valley Stores Agricultural Supplies Linseed Oil Molecular Structure It discusses the composition and chemical structure of linseed oil,. Properties of linseed oil ;. Structure of linseed oil aim; The linseed oil is extracted from both types of flax seeds and appears yellow in colour. Linseed oil, edible and industrial vegetable oil made from the seeds of the flax plant (linum usitatissimum). Using a structure estimation method based on. Linseed Oil Molecular Structure.
From ayurvedicoils.com
Chemical constituents of Linseed Oil Essential Oil Linseed Oil Molecular Structure In this work, we used linseed oil, which is a triglyceride consisting of three fatty acids condensed into a glycerol unit, with a composition mainly of linolenic acid (56.6%), linoleic acid. Properties of linseed oil ;. (d) linolenic acid (c18:3), and (e) a triacylglycerol. The linseed oil is extracted from both types of flax seeds and appears yellow in colour.. Linseed Oil Molecular Structure.
From oilseedproducts.co.nz
Linseed Oil Oilseed Products New Zealand Linseed Oil Molecular Structure It discusses the composition and chemical structure of linseed oil,. Linseed oil, edible and industrial vegetable oil made from the seeds of the flax plant (linum usitatissimum). Properties of linseed oil ;. Using a structure estimation method based on molecular connectivity indices(1), the koc of the constituent triglycerides of linseed oil can be. (d) linolenic acid (c18:3), and (e) a. Linseed Oil Molecular Structure.
From www.georgeweil.com
Thickened Linseed Oil Weil Linseed Oil Molecular Structure The linseed oil is extracted from both types of flax seeds and appears yellow in colour. Structure of linseed oil aim; In this work, we used linseed oil, which is a triglyceride consisting of three fatty acids condensed into a glycerol unit, with a composition mainly of linolenic acid (56.6%), linoleic acid. It discusses the composition and chemical structure of. Linseed Oil Molecular Structure.
From www.researchgate.net
Chemical structures of epoxidized linseed oil (ELO), acrylated Linseed Oil Molecular Structure Linseed oil, edible and industrial vegetable oil made from the seeds of the flax plant (linum usitatissimum). Structure of linseed oil aim; The linseed oil is extracted from both types of flax seeds and appears yellow in colour. It discusses the composition and chemical structure of linseed oil,. Using a structure estimation method based on molecular connectivity indices(1), the koc. Linseed Oil Molecular Structure.
From www.researchgate.net
Schematic of illustration for the synthesis of linseed oilbased Linseed Oil Molecular Structure Properties of linseed oil ;. Structure of linseed oil aim; It discusses the composition and chemical structure of linseed oil,. (d) linolenic acid (c18:3), and (e) a triacylglycerol. Linseed oil, edible and industrial vegetable oil made from the seeds of the flax plant (linum usitatissimum). The linseed oil is extracted from both types of flax seeds and appears yellow in. Linseed Oil Molecular Structure.
From www.mokshalifestyle.com
Linseed Oil Moksha Lifestyle Products Linseed Oil Molecular Structure Properties of linseed oil ;. In this work, we used linseed oil, which is a triglyceride consisting of three fatty acids condensed into a glycerol unit, with a composition mainly of linolenic acid (56.6%), linoleic acid. The linseed oil is extracted from both types of flax seeds and appears yellow in colour. (d) linolenic acid (c18:3), and (e) a triacylglycerol.. Linseed Oil Molecular Structure.
From www.researchgate.net
Epoxidation of linseed oil with H O . Download Scientific Diagram Linseed Oil Molecular Structure It discusses the composition and chemical structure of linseed oil,. The linseed oil is extracted from both types of flax seeds and appears yellow in colour. (d) linolenic acid (c18:3), and (e) a triacylglycerol. In this work, we used linseed oil, which is a triglyceride consisting of three fatty acids condensed into a glycerol unit, with a composition mainly of. Linseed Oil Molecular Structure.
From www.earthandflax.com
Linseed Oil Wax and Linseed Oil Varnish The Difference Explained. Linseed Oil Molecular Structure The linseed oil is extracted from both types of flax seeds and appears yellow in colour. Using a structure estimation method based on molecular connectivity indices(1), the koc of the constituent triglycerides of linseed oil can be. Linseed oil, edible and industrial vegetable oil made from the seeds of the flax plant (linum usitatissimum). Structure of linseed oil aim; (d). Linseed Oil Molecular Structure.
From www.agrisupply.com
Boiled Linseed Oil, Gallon Agri Supply 76429 Linseed Oil Molecular Structure Properties of linseed oil ;. Structure of linseed oil aim; It discusses the composition and chemical structure of linseed oil,. Using a structure estimation method based on molecular connectivity indices(1), the koc of the constituent triglycerides of linseed oil can be. In this work, we used linseed oil, which is a triglyceride consisting of three fatty acids condensed into a. Linseed Oil Molecular Structure.
From www.researchgate.net
Chemical structure and main composition of linseed oil (LO). Download Linseed Oil Molecular Structure (d) linolenic acid (c18:3), and (e) a triacylglycerol. Properties of linseed oil ;. Using a structure estimation method based on molecular connectivity indices(1), the koc of the constituent triglycerides of linseed oil can be. The linseed oil is extracted from both types of flax seeds and appears yellow in colour. Linseed oil, edible and industrial vegetable oil made from the. Linseed Oil Molecular Structure.
From www.indiamart.com
Linseed Oil, For Cosmetic at Rs 150/liter in Thane ID 23332218130 Linseed Oil Molecular Structure Using a structure estimation method based on molecular connectivity indices(1), the koc of the constituent triglycerides of linseed oil can be. In this work, we used linseed oil, which is a triglyceride consisting of three fatty acids condensed into a glycerol unit, with a composition mainly of linolenic acid (56.6%), linoleic acid. Structure of linseed oil aim; The linseed oil. Linseed Oil Molecular Structure.
From woodworkly.com
Can You Use Linseed Oil On Walnut? (How To Apply?) Linseed Oil Molecular Structure The linseed oil is extracted from both types of flax seeds and appears yellow in colour. Properties of linseed oil ;. In this work, we used linseed oil, which is a triglyceride consisting of three fatty acids condensed into a glycerol unit, with a composition mainly of linolenic acid (56.6%), linoleic acid. Linseed oil, edible and industrial vegetable oil made. Linseed Oil Molecular Structure.
From www.indiamart.com
Linseed Oil Commercial Grade at Rs 157/kg Carrier Oils in New Delhi Linseed Oil Molecular Structure It discusses the composition and chemical structure of linseed oil,. In this work, we used linseed oil, which is a triglyceride consisting of three fatty acids condensed into a glycerol unit, with a composition mainly of linolenic acid (56.6%), linoleic acid. Structure of linseed oil aim; Properties of linseed oil ;. Linseed oil, edible and industrial vegetable oil made from. Linseed Oil Molecular Structure.
From zhuanlan.zhihu.com
上得厅堂下得厨房的亚麻 知乎 Linseed Oil Molecular Structure The linseed oil is extracted from both types of flax seeds and appears yellow in colour. Structure of linseed oil aim; In this work, we used linseed oil, which is a triglyceride consisting of three fatty acids condensed into a glycerol unit, with a composition mainly of linolenic acid (56.6%), linoleic acid. Properties of linseed oil ;. (d) linolenic acid. Linseed Oil Molecular Structure.
From www.michaelharding.co.uk
About Linseed Oil Michael Harding Linseed Oil Molecular Structure In this work, we used linseed oil, which is a triglyceride consisting of three fatty acids condensed into a glycerol unit, with a composition mainly of linolenic acid (56.6%), linoleic acid. (d) linolenic acid (c18:3), and (e) a triacylglycerol. Properties of linseed oil ;. The linseed oil is extracted from both types of flax seeds and appears yellow in colour.. Linseed Oil Molecular Structure.
From www.tilgear.info
Raw Linseed Oil 500ml Finishing Oils Finishes Consumables Tilgear Linseed Oil Molecular Structure It discusses the composition and chemical structure of linseed oil,. Using a structure estimation method based on molecular connectivity indices(1), the koc of the constituent triglycerides of linseed oil can be. Properties of linseed oil ;. (d) linolenic acid (c18:3), and (e) a triacylglycerol. Linseed oil, edible and industrial vegetable oil made from the seeds of the flax plant (linum. Linseed Oil Molecular Structure.
From thediyhammer.com
Mineral Oil vs Linseed Oil What Are the Differences? » The DIY Hammer Linseed Oil Molecular Structure Linseed oil, edible and industrial vegetable oil made from the seeds of the flax plant (linum usitatissimum). Using a structure estimation method based on molecular connectivity indices(1), the koc of the constituent triglycerides of linseed oil can be. (d) linolenic acid (c18:3), and (e) a triacylglycerol. Structure of linseed oil aim; In this work, we used linseed oil, which is. Linseed Oil Molecular Structure.
From www.cartersonline.bb
Boiled Linseed Oil 500ml Linseed Oil Molecular Structure In this work, we used linseed oil, which is a triglyceride consisting of three fatty acids condensed into a glycerol unit, with a composition mainly of linolenic acid (56.6%), linoleic acid. Properties of linseed oil ;. Linseed oil, edible and industrial vegetable oil made from the seeds of the flax plant (linum usitatissimum). (d) linolenic acid (c18:3), and (e) a. Linseed Oil Molecular Structure.
From www.researchgate.net
Chemical structure and main composition of linseed oil. Download Linseed Oil Molecular Structure The linseed oil is extracted from both types of flax seeds and appears yellow in colour. Using a structure estimation method based on molecular connectivity indices(1), the koc of the constituent triglycerides of linseed oil can be. (d) linolenic acid (c18:3), and (e) a triacylglycerol. It discusses the composition and chemical structure of linseed oil,. In this work, we used. Linseed Oil Molecular Structure.
From woodworkly.com
Linseed Oil Advantages and Disadvantages [2023 Guide!] Linseed Oil Molecular Structure Properties of linseed oil ;. (d) linolenic acid (c18:3), and (e) a triacylglycerol. The linseed oil is extracted from both types of flax seeds and appears yellow in colour. Structure of linseed oil aim; In this work, we used linseed oil, which is a triglyceride consisting of three fatty acids condensed into a glycerol unit, with a composition mainly of. Linseed Oil Molecular Structure.
From www.mitre10.co.nz
AQUAMAX Water Based Linseed Oil Timber Stain 10L Black Coal Mitre10 Linseed Oil Molecular Structure Using a structure estimation method based on molecular connectivity indices(1), the koc of the constituent triglycerides of linseed oil can be. Linseed oil, edible and industrial vegetable oil made from the seeds of the flax plant (linum usitatissimum). The linseed oil is extracted from both types of flax seeds and appears yellow in colour. (d) linolenic acid (c18:3), and (e). Linseed Oil Molecular Structure.
From www.anyrgb.com
Rancidification, lipase, Linseed, linseed Oil, lipid, Kerosene Linseed Oil Molecular Structure (d) linolenic acid (c18:3), and (e) a triacylglycerol. Using a structure estimation method based on molecular connectivity indices(1), the koc of the constituent triglycerides of linseed oil can be. It discusses the composition and chemical structure of linseed oil,. The linseed oil is extracted from both types of flax seeds and appears yellow in colour. Properties of linseed oil ;.. Linseed Oil Molecular Structure.
From www.chemsrc.com
LINSEED OIL CAS8001261 Chemsrc Linseed Oil Molecular Structure Linseed oil, edible and industrial vegetable oil made from the seeds of the flax plant (linum usitatissimum). It discusses the composition and chemical structure of linseed oil,. Properties of linseed oil ;. Using a structure estimation method based on molecular connectivity indices(1), the koc of the constituent triglycerides of linseed oil can be. The linseed oil is extracted from both. Linseed Oil Molecular Structure.
From ayurvedicoils.com
Chemical constituents of Linseed Oil Essential Oil Linseed Oil Molecular Structure It discusses the composition and chemical structure of linseed oil,. Properties of linseed oil ;. Structure of linseed oil aim; In this work, we used linseed oil, which is a triglyceride consisting of three fatty acids condensed into a glycerol unit, with a composition mainly of linolenic acid (56.6%), linoleic acid. The linseed oil is extracted from both types of. Linseed Oil Molecular Structure.
From www.bellbirdkidz.com.au
Linseed Oil 1L Linseed Oil Molecular Structure The linseed oil is extracted from both types of flax seeds and appears yellow in colour. Using a structure estimation method based on molecular connectivity indices(1), the koc of the constituent triglycerides of linseed oil can be. Linseed oil, edible and industrial vegetable oil made from the seeds of the flax plant (linum usitatissimum). It discusses the composition and chemical. Linseed Oil Molecular Structure.
From www.turnerstoolbox.com
Boiled Linseed Oil Liberon Turners Toolbox Linseed Oil Molecular Structure Using a structure estimation method based on molecular connectivity indices(1), the koc of the constituent triglycerides of linseed oil can be. Linseed oil, edible and industrial vegetable oil made from the seeds of the flax plant (linum usitatissimum). In this work, we used linseed oil, which is a triglyceride consisting of three fatty acids condensed into a glycerol unit, with. Linseed Oil Molecular Structure.
From nerdlypainter.blogspot.com
The Nerdly painter Siccative oils Linseed Oil Molecular Structure The linseed oil is extracted from both types of flax seeds and appears yellow in colour. (d) linolenic acid (c18:3), and (e) a triacylglycerol. Using a structure estimation method based on molecular connectivity indices(1), the koc of the constituent triglycerides of linseed oil can be. Linseed oil, edible and industrial vegetable oil made from the seeds of the flax plant. Linseed Oil Molecular Structure.
From www.exportersindia.com
Linseed Oil, Packaging Type Tankers at Best Price in Agra ID 6398672 Linseed Oil Molecular Structure In this work, we used linseed oil, which is a triglyceride consisting of three fatty acids condensed into a glycerol unit, with a composition mainly of linolenic acid (56.6%), linoleic acid. Using a structure estimation method based on molecular connectivity indices(1), the koc of the constituent triglycerides of linseed oil can be. Properties of linseed oil ;. Structure of linseed. Linseed Oil Molecular Structure.
From www.flaxfarm.co.uk
Multiple Sclerosis Linseed Coldpressed oil Milled Linseed Oil Molecular Structure Linseed oil, edible and industrial vegetable oil made from the seeds of the flax plant (linum usitatissimum). In this work, we used linseed oil, which is a triglyceride consisting of three fatty acids condensed into a glycerol unit, with a composition mainly of linolenic acid (56.6%), linoleic acid. Structure of linseed oil aim; Properties of linseed oil ;. The linseed. Linseed Oil Molecular Structure.
From www.pinterest.fr
Linseed Oil Raw Linseed Boiled Linseed Oil for wood in 2022 Linseed Oil Molecular Structure It discusses the composition and chemical structure of linseed oil,. Properties of linseed oil ;. Using a structure estimation method based on molecular connectivity indices(1), the koc of the constituent triglycerides of linseed oil can be. In this work, we used linseed oil, which is a triglyceride consisting of three fatty acids condensed into a glycerol unit, with a composition. Linseed Oil Molecular Structure.
From tex.stackexchange.com
I am struggling to draw chemical structure using chemfig TeX LaTeX Linseed Oil Molecular Structure Structure of linseed oil aim; Linseed oil, edible and industrial vegetable oil made from the seeds of the flax plant (linum usitatissimum). (d) linolenic acid (c18:3), and (e) a triacylglycerol. Using a structure estimation method based on molecular connectivity indices(1), the koc of the constituent triglycerides of linseed oil can be. In this work, we used linseed oil, which is. Linseed Oil Molecular Structure.