Warrant To Disclose Computer Data Example . If a computer is found during a search under a warrant does not authorize the search of a computer, it can be seized until a computer. A warrant to disclose computer data (wdcd) is an order in writing issued in the name of the people of the philippines, signed by a judge,. Warrant to disclose computer data (wdcd) an order to disclose and accordingly, require any person or service provider to disclose or submit. This document outlines the procedures for obtaining cybercrime warrants pursuant to the cybercrime prevention act of 2012. 1) the scope and application of warrants for. Warrants permitting unannounced entry may increase the likelihood of recovering data while a computer is powered on and unlocked. Wherefore, by virtue of this wdcd, you are hereby authorized to issue an order compelling (names of the individuals or entities.
from www.studocu.com
Warrants permitting unannounced entry may increase the likelihood of recovering data while a computer is powered on and unlocked. Warrant to disclose computer data (wdcd) an order to disclose and accordingly, require any person or service provider to disclose or submit. 1) the scope and application of warrants for. A warrant to disclose computer data (wdcd) is an order in writing issued in the name of the people of the philippines, signed by a judge,. If a computer is found during a search under a warrant does not authorize the search of a computer, it can be seized until a computer. Wherefore, by virtue of this wdcd, you are hereby authorized to issue an order compelling (names of the individuals or entities. This document outlines the procedures for obtaining cybercrime warrants pursuant to the cybercrime prevention act of 2012.
Types OF Cyberc WPS Office TYPES OF CYBERCRIME WARRANTS WARRANT TO
Warrant To Disclose Computer Data Example Wherefore, by virtue of this wdcd, you are hereby authorized to issue an order compelling (names of the individuals or entities. This document outlines the procedures for obtaining cybercrime warrants pursuant to the cybercrime prevention act of 2012. If a computer is found during a search under a warrant does not authorize the search of a computer, it can be seized until a computer. Warrant to disclose computer data (wdcd) an order to disclose and accordingly, require any person or service provider to disclose or submit. Warrants permitting unannounced entry may increase the likelihood of recovering data while a computer is powered on and unlocked. 1) the scope and application of warrants for. Wherefore, by virtue of this wdcd, you are hereby authorized to issue an order compelling (names of the individuals or entities. A warrant to disclose computer data (wdcd) is an order in writing issued in the name of the people of the philippines, signed by a judge,.
From www.studocu.com
Types OF Cyberc WPS Office TYPES OF CYBERCRIME WARRANTS WARRANT TO Warrant To Disclose Computer Data Example Wherefore, by virtue of this wdcd, you are hereby authorized to issue an order compelling (names of the individuals or entities. If a computer is found during a search under a warrant does not authorize the search of a computer, it can be seized until a computer. A warrant to disclose computer data (wdcd) is an order in writing issued. Warrant To Disclose Computer Data Example.
From www.scribd.com
Warrant Attachment To Verified Complaint PDF Search Warrant Warrant To Disclose Computer Data Example Warrant to disclose computer data (wdcd) an order to disclose and accordingly, require any person or service provider to disclose or submit. This document outlines the procedures for obtaining cybercrime warrants pursuant to the cybercrime prevention act of 2012. A warrant to disclose computer data (wdcd) is an order in writing issued in the name of the people of the. Warrant To Disclose Computer Data Example.
From www.template.net
Standard Non Disclosure Agreement Form 10+ Free Word, PDF Documents Warrant To Disclose Computer Data Example If a computer is found during a search under a warrant does not authorize the search of a computer, it can be seized until a computer. Warrants permitting unannounced entry may increase the likelihood of recovering data while a computer is powered on and unlocked. A warrant to disclose computer data (wdcd) is an order in writing issued in the. Warrant To Disclose Computer Data Example.
From www.studocu.com
2022 AUSL Pre Week Notes Remedial Law I II with basic tax remedies Warrant To Disclose Computer Data Example Wherefore, by virtue of this wdcd, you are hereby authorized to issue an order compelling (names of the individuals or entities. If a computer is found during a search under a warrant does not authorize the search of a computer, it can be seized until a computer. 1) the scope and application of warrants for. Warrant to disclose computer data. Warrant To Disclose Computer Data Example.
From www.youtube.com
PNP AntiCybercrime Group, naghain sa DOJ ng 2 Warrant to Disclose Warrant To Disclose Computer Data Example If a computer is found during a search under a warrant does not authorize the search of a computer, it can be seized until a computer. This document outlines the procedures for obtaining cybercrime warrants pursuant to the cybercrime prevention act of 2012. Warrant to disclose computer data (wdcd) an order to disclose and accordingly, require any person or service. Warrant To Disclose Computer Data Example.
From www.rcfl.gov
Sample Premises Computer Search Warrant Affidavit (PDF) — RCFL Warrant To Disclose Computer Data Example Warrants permitting unannounced entry may increase the likelihood of recovering data while a computer is powered on and unlocked. Warrant to disclose computer data (wdcd) an order to disclose and accordingly, require any person or service provider to disclose or submit. 1) the scope and application of warrants for. A warrant to disclose computer data (wdcd) is an order in. Warrant To Disclose Computer Data Example.
From www.examples.com
Disclosure Statement 7+ Examples, Format, How to Write, PDF Warrant To Disclose Computer Data Example If a computer is found during a search under a warrant does not authorize the search of a computer, it can be seized until a computer. Wherefore, by virtue of this wdcd, you are hereby authorized to issue an order compelling (names of the individuals or entities. 1) the scope and application of warrants for. Warrants permitting unannounced entry may. Warrant To Disclose Computer Data Example.
From pnl-law.com
Destruction of Computer Data under the Rule on Cybercrime Warrants Warrant To Disclose Computer Data Example This document outlines the procedures for obtaining cybercrime warrants pursuant to the cybercrime prevention act of 2012. 1) the scope and application of warrants for. Wherefore, by virtue of this wdcd, you are hereby authorized to issue an order compelling (names of the individuals or entities. If a computer is found during a search under a warrant does not authorize. Warrant To Disclose Computer Data Example.
From www.slideshare.net
Google Search Warrant Warrant To Disclose Computer Data Example Warrants permitting unannounced entry may increase the likelihood of recovering data while a computer is powered on and unlocked. 1) the scope and application of warrants for. Wherefore, by virtue of this wdcd, you are hereby authorized to issue an order compelling (names of the individuals or entities. A warrant to disclose computer data (wdcd) is an order in writing. Warrant To Disclose Computer Data Example.
From www.scribd.com
Search Warrant August 2013 Computer Data Storage Computer File Warrant To Disclose Computer Data Example Warrants permitting unannounced entry may increase the likelihood of recovering data while a computer is powered on and unlocked. A warrant to disclose computer data (wdcd) is an order in writing issued in the name of the people of the philippines, signed by a judge,. Wherefore, by virtue of this wdcd, you are hereby authorized to issue an order compelling. Warrant To Disclose Computer Data Example.
From acardtemplate.blogspot.com
Computer Search Warrant Template Card Template Warrant To Disclose Computer Data Example If a computer is found during a search under a warrant does not authorize the search of a computer, it can be seized until a computer. Warrants permitting unannounced entry may increase the likelihood of recovering data while a computer is powered on and unlocked. Warrant to disclose computer data (wdcd) an order to disclose and accordingly, require any person. Warrant To Disclose Computer Data Example.
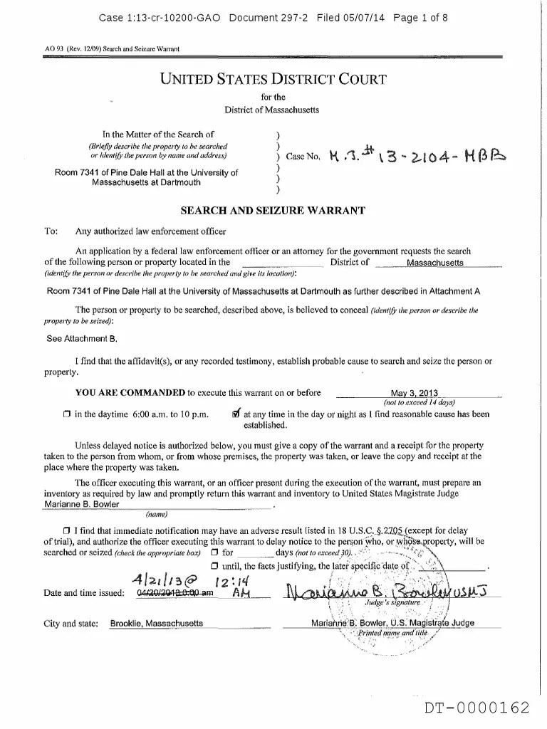
From www.scribd.com
[Doc 2972] 4212013 Warrant Pinedale Hall Search Computer Data Warrant To Disclose Computer Data Example Wherefore, by virtue of this wdcd, you are hereby authorized to issue an order compelling (names of the individuals or entities. 1) the scope and application of warrants for. A warrant to disclose computer data (wdcd) is an order in writing issued in the name of the people of the philippines, signed by a judge,. Warrants permitting unannounced entry may. Warrant To Disclose Computer Data Example.
From www.studocu.com
LEA111 HISTORY The National Police Commission Filipino Warrant To Disclose Computer Data Example If a computer is found during a search under a warrant does not authorize the search of a computer, it can be seized until a computer. Warrant to disclose computer data (wdcd) an order to disclose and accordingly, require any person or service provider to disclose or submit. A warrant to disclose computer data (wdcd) is an order in writing. Warrant To Disclose Computer Data Example.
From ralblaw.com
What Is Cybercrime Warrant Kinds Of Cybercrime Warrants RALB Law Warrant To Disclose Computer Data Example Warrant to disclose computer data (wdcd) an order to disclose and accordingly, require any person or service provider to disclose or submit. Warrants permitting unannounced entry may increase the likelihood of recovering data while a computer is powered on and unlocked. 1) the scope and application of warrants for. If a computer is found during a search under a warrant. Warrant To Disclose Computer Data Example.
From www.studocu.com
2151012018Rule on Cybercrime Warrants 202108161019oiqyp July 3 Warrant To Disclose Computer Data Example 1) the scope and application of warrants for. A warrant to disclose computer data (wdcd) is an order in writing issued in the name of the people of the philippines, signed by a judge,. If a computer is found during a search under a warrant does not authorize the search of a computer, it can be seized until a computer.. Warrant To Disclose Computer Data Example.
From www.scribd.com
Search and Seizure Warrant Search And Seizure Computer File Free Warrant To Disclose Computer Data Example Wherefore, by virtue of this wdcd, you are hereby authorized to issue an order compelling (names of the individuals or entities. Warrant to disclose computer data (wdcd) an order to disclose and accordingly, require any person or service provider to disclose or submit. This document outlines the procedures for obtaining cybercrime warrants pursuant to the cybercrime prevention act of 2012.. Warrant To Disclose Computer Data Example.
From www.pdffiller.com
Fillable Online Consent to Collect, Use, and Disclose Personal Warrant To Disclose Computer Data Example A warrant to disclose computer data (wdcd) is an order in writing issued in the name of the people of the philippines, signed by a judge,. 1) the scope and application of warrants for. This document outlines the procedures for obtaining cybercrime warrants pursuant to the cybercrime prevention act of 2012. If a computer is found during a search under. Warrant To Disclose Computer Data Example.
From www.studocu.com
Law on Secrecy of Bank Deposits LAW ON SECRECY OF BANK DEPOSITS Warrant To Disclose Computer Data Example If a computer is found during a search under a warrant does not authorize the search of a computer, it can be seized until a computer. Wherefore, by virtue of this wdcd, you are hereby authorized to issue an order compelling (names of the individuals or entities. This document outlines the procedures for obtaining cybercrime warrants pursuant to the cybercrime. Warrant To Disclose Computer Data Example.
From www.youtube.com
PNPACG, naghain ng 2 Warrants to Disclose Computer Data sa Facebook at Warrant To Disclose Computer Data Example Wherefore, by virtue of this wdcd, you are hereby authorized to issue an order compelling (names of the individuals or entities. If a computer is found during a search under a warrant does not authorize the search of a computer, it can be seized until a computer. A warrant to disclose computer data (wdcd) is an order in writing issued. Warrant To Disclose Computer Data Example.
From www.scribd.com
Warrant Affidavit PDF Personal Digital Assistant Computer Data Warrant To Disclose Computer Data Example This document outlines the procedures for obtaining cybercrime warrants pursuant to the cybercrime prevention act of 2012. A warrant to disclose computer data (wdcd) is an order in writing issued in the name of the people of the philippines, signed by a judge,. Warrants permitting unannounced entry may increase the likelihood of recovering data while a computer is powered on. Warrant To Disclose Computer Data Example.
From www.scribd.com
Search Warrant Application 501(C) Organization Computer Data Storage Warrant To Disclose Computer Data Example Warrants permitting unannounced entry may increase the likelihood of recovering data while a computer is powered on and unlocked. 1) the scope and application of warrants for. Wherefore, by virtue of this wdcd, you are hereby authorized to issue an order compelling (names of the individuals or entities. A warrant to disclose computer data (wdcd) is an order in writing. Warrant To Disclose Computer Data Example.
From rmn.ph
Warrant to Disclose Computer Data, inihain ng PNP sa DOJ laban sa Warrant To Disclose Computer Data Example Warrants permitting unannounced entry may increase the likelihood of recovering data while a computer is powered on and unlocked. Warrant to disclose computer data (wdcd) an order to disclose and accordingly, require any person or service provider to disclose or submit. If a computer is found during a search under a warrant does not authorize the search of a computer,. Warrant To Disclose Computer Data Example.
From www.researchgate.net
(PDF) PRESENT A Framework for Planning and Executing Search Warrants Warrant To Disclose Computer Data Example Wherefore, by virtue of this wdcd, you are hereby authorized to issue an order compelling (names of the individuals or entities. This document outlines the procedures for obtaining cybercrime warrants pursuant to the cybercrime prevention act of 2012. If a computer is found during a search under a warrant does not authorize the search of a computer, it can be. Warrant To Disclose Computer Data Example.
From pnl-law.com
Illegal Interception of Computer Data, Warrant to Intercept (WICD Warrant To Disclose Computer Data Example Warrants permitting unannounced entry may increase the likelihood of recovering data while a computer is powered on and unlocked. A warrant to disclose computer data (wdcd) is an order in writing issued in the name of the people of the philippines, signed by a judge,. Warrant to disclose computer data (wdcd) an order to disclose and accordingly, require any person. Warrant To Disclose Computer Data Example.
From www.studocu.com
Warrant to search, seize, examine computer data Republic of the Warrant To Disclose Computer Data Example Wherefore, by virtue of this wdcd, you are hereby authorized to issue an order compelling (names of the individuals or entities. Warrant to disclose computer data (wdcd) an order to disclose and accordingly, require any person or service provider to disclose or submit. Warrants permitting unannounced entry may increase the likelihood of recovering data while a computer is powered on. Warrant To Disclose Computer Data Example.
From www.template.net
9+ Warrant Agreement Templates PDF, DOC Warrant To Disclose Computer Data Example This document outlines the procedures for obtaining cybercrime warrants pursuant to the cybercrime prevention act of 2012. Wherefore, by virtue of this wdcd, you are hereby authorized to issue an order compelling (names of the individuals or entities. A warrant to disclose computer data (wdcd) is an order in writing issued in the name of the people of the philippines,. Warrant To Disclose Computer Data Example.
From www.studocu.com
Search Warrant Group 1 Ayos Republic of the Philippines Regional Warrant To Disclose Computer Data Example A warrant to disclose computer data (wdcd) is an order in writing issued in the name of the people of the philippines, signed by a judge,. If a computer is found during a search under a warrant does not authorize the search of a computer, it can be seized until a computer. Warrant to disclose computer data (wdcd) an order. Warrant To Disclose Computer Data Example.
From twitter.com
Patricia Lim (patringlim) / Twitter Warrant To Disclose Computer Data Example Wherefore, by virtue of this wdcd, you are hereby authorized to issue an order compelling (names of the individuals or entities. 1) the scope and application of warrants for. Warrant to disclose computer data (wdcd) an order to disclose and accordingly, require any person or service provider to disclose or submit. A warrant to disclose computer data (wdcd) is an. Warrant To Disclose Computer Data Example.
From www.studocu.com
Warrant to Examine Computer Data Republic of the Philippines Regional Warrant To Disclose Computer Data Example Wherefore, by virtue of this wdcd, you are hereby authorized to issue an order compelling (names of the individuals or entities. If a computer is found during a search under a warrant does not authorize the search of a computer, it can be seized until a computer. This document outlines the procedures for obtaining cybercrime warrants pursuant to the cybercrime. Warrant To Disclose Computer Data Example.
From www.studocu.com
Sample of Application for Search Warrant Sample of Application for Warrant To Disclose Computer Data Example A warrant to disclose computer data (wdcd) is an order in writing issued in the name of the people of the philippines, signed by a judge,. Wherefore, by virtue of this wdcd, you are hereby authorized to issue an order compelling (names of the individuals or entities. This document outlines the procedures for obtaining cybercrime warrants pursuant to the cybercrime. Warrant To Disclose Computer Data Example.
From www.studocu.com
Warrant to Intercept Computer Data Republic of the Philippines Warrant To Disclose Computer Data Example Wherefore, by virtue of this wdcd, you are hereby authorized to issue an order compelling (names of the individuals or entities. Warrant to disclose computer data (wdcd) an order to disclose and accordingly, require any person or service provider to disclose or submit. 1) the scope and application of warrants for. If a computer is found during a search under. Warrant To Disclose Computer Data Example.
From www.studocu.com
Types OF Cyber Warrants TYPES OF CYBER WARRANTS (RA 10175) Disclosure Warrant To Disclose Computer Data Example If a computer is found during a search under a warrant does not authorize the search of a computer, it can be seized until a computer. Wherefore, by virtue of this wdcd, you are hereby authorized to issue an order compelling (names of the individuals or entities. A warrant to disclose computer data (wdcd) is an order in writing issued. Warrant To Disclose Computer Data Example.
From www.studocu.com
RULE ON Cybercrime Warrants (A.M. NO. 171103SC) RULE ON CYBERCRIME Warrant To Disclose Computer Data Example Warrants permitting unannounced entry may increase the likelihood of recovering data while a computer is powered on and unlocked. Warrant to disclose computer data (wdcd) an order to disclose and accordingly, require any person or service provider to disclose or submit. A warrant to disclose computer data (wdcd) is an order in writing issued in the name of the people. Warrant To Disclose Computer Data Example.
From www.studocu.com
Cybercrime Warrants CYBERCRIME WARRANTS 1. Warrant to Disclose Warrant To Disclose Computer Data Example Wherefore, by virtue of this wdcd, you are hereby authorized to issue an order compelling (names of the individuals or entities. Warrant to disclose computer data (wdcd) an order to disclose and accordingly, require any person or service provider to disclose or submit. Warrants permitting unannounced entry may increase the likelihood of recovering data while a computer is powered on. Warrant To Disclose Computer Data Example.
From www.studocu.com
Warrant to disclose Computer Data Republic of the Philippines Warrant To Disclose Computer Data Example 1) the scope and application of warrants for. Wherefore, by virtue of this wdcd, you are hereby authorized to issue an order compelling (names of the individuals or entities. This document outlines the procedures for obtaining cybercrime warrants pursuant to the cybercrime prevention act of 2012. Warrant to disclose computer data (wdcd) an order to disclose and accordingly, require any. Warrant To Disclose Computer Data Example.