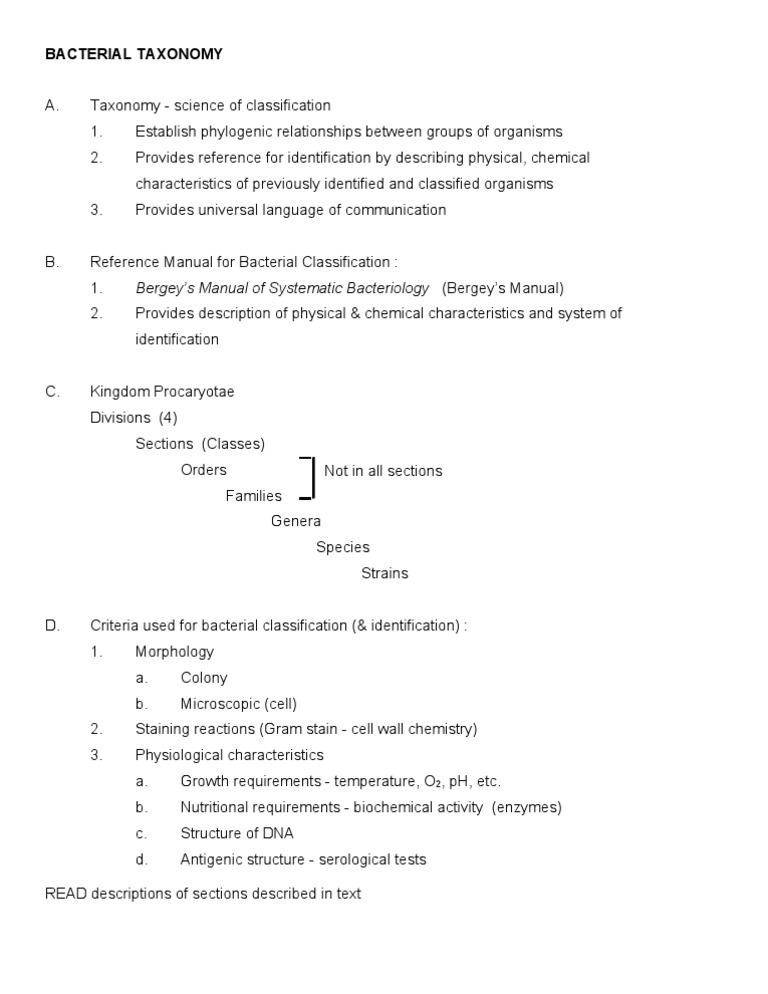
Bergey's Manual Dichotomous Key . They were very useful for identifying unknown bacterial cultures, however. Multiple editions of bergey's manual of determinative bacteriology, published between 1923 and 1994, organized bacteria in groups by. The data given in table 1 may. If the answer to a question is. The first step before using any diagnostic tests is to construct an identification key or a dichotomous key by consulting different. Bergey's manual of systematic bacteriology is the main resource for determining the identity of prokaryotic organisms, emphasizing bacterial. Oxygen requirements, morph., growth requirements (45°c and supplements), read genera descriptions. 8 rows bergey’s manual of determinative bacteriology. Multiple editions of bergey’s manual of determinative bacteriology, published between 1923 and 1994, organized bacteria in groups by phenotypic characteristics, with no attempt to sort out higher phylogenetic relationships. Keys are charts that require decisions at branch points, much like a flow chart in computer logic: Table 1 presents information from bergey's manual in a simple, standardized and easily useable form. Bergey’s manual of systematic bacteriology.
from www.scribd.com
Table 1 presents information from bergey's manual in a simple, standardized and easily useable form. Bergey's manual of systematic bacteriology is the main resource for determining the identity of prokaryotic organisms, emphasizing bacterial. If the answer to a question is. Bergey’s manual of systematic bacteriology. The first step before using any diagnostic tests is to construct an identification key or a dichotomous key by consulting different. Multiple editions of bergey's manual of determinative bacteriology, published between 1923 and 1994, organized bacteria in groups by. They were very useful for identifying unknown bacterial cultures, however. The data given in table 1 may. Keys are charts that require decisions at branch points, much like a flow chart in computer logic: Multiple editions of bergey’s manual of determinative bacteriology, published between 1923 and 1994, organized bacteria in groups by phenotypic characteristics, with no attempt to sort out higher phylogenetic relationships.
Bergeys Manual of Systematic Bacteriology and Determinative
Bergey's Manual Dichotomous Key Multiple editions of bergey’s manual of determinative bacteriology, published between 1923 and 1994, organized bacteria in groups by phenotypic characteristics, with no attempt to sort out higher phylogenetic relationships. Oxygen requirements, morph., growth requirements (45°c and supplements), read genera descriptions. Multiple editions of bergey's manual of determinative bacteriology, published between 1923 and 1994, organized bacteria in groups by. If the answer to a question is. 8 rows bergey’s manual of determinative bacteriology. The first step before using any diagnostic tests is to construct an identification key or a dichotomous key by consulting different. Bergey's manual of systematic bacteriology is the main resource for determining the identity of prokaryotic organisms, emphasizing bacterial. Multiple editions of bergey’s manual of determinative bacteriology, published between 1923 and 1994, organized bacteria in groups by phenotypic characteristics, with no attempt to sort out higher phylogenetic relationships. Bergey’s manual of systematic bacteriology. The data given in table 1 may. They were very useful for identifying unknown bacterial cultures, however. Keys are charts that require decisions at branch points, much like a flow chart in computer logic: Table 1 presents information from bergey's manual in a simple, standardized and easily useable form.
From manuallibrarykym.z19.web.core.windows.net
Bergey's Manual Citation Bergey's Manual Dichotomous Key If the answer to a question is. They were very useful for identifying unknown bacterial cultures, however. Multiple editions of bergey’s manual of determinative bacteriology, published between 1923 and 1994, organized bacteria in groups by phenotypic characteristics, with no attempt to sort out higher phylogenetic relationships. 8 rows bergey’s manual of determinative bacteriology. Table 1 presents information from bergey's manual. Bergey's Manual Dichotomous Key.
From schematicdiagramwyllie.z19.web.core.windows.net
Bacterial Identification Bergey's Manual Flow Chart Bergey's Manual Dichotomous Key Bergey’s manual of systematic bacteriology. Keys are charts that require decisions at branch points, much like a flow chart in computer logic: Bergey's manual of systematic bacteriology is the main resource for determining the identity of prokaryotic organisms, emphasizing bacterial. The first step before using any diagnostic tests is to construct an identification key or a dichotomous key by consulting. Bergey's Manual Dichotomous Key.
From circuitlistgoldschmidt.z19.web.core.windows.net
Bergeys Manual Of Determinative Bacteriology Bergey's Manual Dichotomous Key The data given in table 1 may. They were very useful for identifying unknown bacterial cultures, however. The first step before using any diagnostic tests is to construct an identification key or a dichotomous key by consulting different. Multiple editions of bergey’s manual of determinative bacteriology, published between 1923 and 1994, organized bacteria in groups by phenotypic characteristics, with no. Bergey's Manual Dichotomous Key.
From www.pinterest.com
Bergey’s Manual flow charts in 2022 Flow chart, Science biology, Chart Bergey's Manual Dichotomous Key Multiple editions of bergey’s manual of determinative bacteriology, published between 1923 and 1994, organized bacteria in groups by phenotypic characteristics, with no attempt to sort out higher phylogenetic relationships. Oxygen requirements, morph., growth requirements (45°c and supplements), read genera descriptions. Table 1 presents information from bergey's manual in a simple, standardized and easily useable form. Bergey’s manual of systematic bacteriology.. Bergey's Manual Dichotomous Key.
From www.slideserve.com
PPT Dichotomous Keys PowerPoint Presentation, free download ID2977176 Bergey's Manual Dichotomous Key Multiple editions of bergey’s manual of determinative bacteriology, published between 1923 and 1994, organized bacteria in groups by phenotypic characteristics, with no attempt to sort out higher phylogenetic relationships. Oxygen requirements, morph., growth requirements (45°c and supplements), read genera descriptions. 8 rows bergey’s manual of determinative bacteriology. Table 1 presents information from bergey's manual in a simple, standardized and easily. Bergey's Manual Dichotomous Key.
From www.studypool.com
SOLUTION 1a pictorial dichotomous key examples Studypool Bergey's Manual Dichotomous Key Table 1 presents information from bergey's manual in a simple, standardized and easily useable form. They were very useful for identifying unknown bacterial cultures, however. The data given in table 1 may. If the answer to a question is. Multiple editions of bergey's manual of determinative bacteriology, published between 1923 and 1994, organized bacteria in groups by. Oxygen requirements, morph.,. Bergey's Manual Dichotomous Key.
From mammothmemory.net
Examples of the dichotomous key chart Bergey's Manual Dichotomous Key The data given in table 1 may. The first step before using any diagnostic tests is to construct an identification key or a dichotomous key by consulting different. Bergey’s manual of systematic bacteriology. Table 1 presents information from bergey's manual in a simple, standardized and easily useable form. If the answer to a question is. They were very useful for. Bergey's Manual Dichotomous Key.
From www.researchgate.net
Schematic presentation of a dichotomous key. Download Scientific Diagram Bergey's Manual Dichotomous Key Bergey’s manual of systematic bacteriology. Keys are charts that require decisions at branch points, much like a flow chart in computer logic: The first step before using any diagnostic tests is to construct an identification key or a dichotomous key by consulting different. They were very useful for identifying unknown bacterial cultures, however. Bergey's manual of systematic bacteriology is the. Bergey's Manual Dichotomous Key.
From www.studypool.com
SOLUTION Bergey s manual Studypool Bergey's Manual Dichotomous Key If the answer to a question is. Multiple editions of bergey’s manual of determinative bacteriology, published between 1923 and 1994, organized bacteria in groups by phenotypic characteristics, with no attempt to sort out higher phylogenetic relationships. Oxygen requirements, morph., growth requirements (45°c and supplements), read genera descriptions. Table 1 presents information from bergey's manual in a simple, standardized and easily. Bergey's Manual Dichotomous Key.
From www.amazon.com
Bergey's Manual of Determinative Bacteriology Abridged Fifth Edition Bergey's Manual Dichotomous Key Bergey’s manual of systematic bacteriology. Table 1 presents information from bergey's manual in a simple, standardized and easily useable form. Multiple editions of bergey's manual of determinative bacteriology, published between 1923 and 1994, organized bacteria in groups by. Oxygen requirements, morph., growth requirements (45°c and supplements), read genera descriptions. 8 rows bergey’s manual of determinative bacteriology. The first step before. Bergey's Manual Dichotomous Key.
From www.researchgate.net
The isolated species classified according to Bergey's Manual of Bergey's Manual Dichotomous Key Multiple editions of bergey's manual of determinative bacteriology, published between 1923 and 1994, organized bacteria in groups by. The first step before using any diagnostic tests is to construct an identification key or a dichotomous key by consulting different. They were very useful for identifying unknown bacterial cultures, however. If the answer to a question is. 8 rows bergey’s manual. Bergey's Manual Dichotomous Key.
From vdocuments.mx
Game Plan Lecture Taxonomy Identification and classification of Bergey's Manual Dichotomous Key The data given in table 1 may. Keys are charts that require decisions at branch points, much like a flow chart in computer logic: Bergey’s manual of systematic bacteriology. Bergey's manual of systematic bacteriology is the main resource for determining the identity of prokaryotic organisms, emphasizing bacterial. They were very useful for identifying unknown bacterial cultures, however. If the answer. Bergey's Manual Dichotomous Key.
From www.chegg.com
Solved 1. Using Bergey's Manual or similar sources Bergey's Manual Dichotomous Key The first step before using any diagnostic tests is to construct an identification key or a dichotomous key by consulting different. Table 1 presents information from bergey's manual in a simple, standardized and easily useable form. Multiple editions of bergey’s manual of determinative bacteriology, published between 1923 and 1994, organized bacteria in groups by phenotypic characteristics, with no attempt to. Bergey's Manual Dichotomous Key.
From www.scribd.com
Bergey's Manual of Systematic Bacteriology (Bergey's Manual) PDF Bergey's Manual Dichotomous Key Keys are charts that require decisions at branch points, much like a flow chart in computer logic: Bergey’s manual of systematic bacteriology. The first step before using any diagnostic tests is to construct an identification key or a dichotomous key by consulting different. The data given in table 1 may. Multiple editions of bergey's manual of determinative bacteriology, published between. Bergey's Manual Dichotomous Key.
From www.vrogue.co
Bacterial Identification Bergey S Manual Flow Chart vrogue.co Bergey's Manual Dichotomous Key The first step before using any diagnostic tests is to construct an identification key or a dichotomous key by consulting different. Bergey's manual of systematic bacteriology is the main resource for determining the identity of prokaryotic organisms, emphasizing bacterial. Table 1 presents information from bergey's manual in a simple, standardized and easily useable form. Bergey’s manual of systematic bacteriology. The. Bergey's Manual Dichotomous Key.
From www.slideserve.com
PPT Dichotomous Keys PowerPoint Presentation, free download ID2130282 Bergey's Manual Dichotomous Key Bergey's manual of systematic bacteriology is the main resource for determining the identity of prokaryotic organisms, emphasizing bacterial. Table 1 presents information from bergey's manual in a simple, standardized and easily useable form. Multiple editions of bergey’s manual of determinative bacteriology, published between 1923 and 1994, organized bacteria in groups by phenotypic characteristics, with no attempt to sort out higher. Bergey's Manual Dichotomous Key.
From vigragmadiawljkschematic.z21.web.core.windows.net
Bergey's Manual Of Systematic Bacteriology Contains Bergey's Manual Dichotomous Key Bergey’s manual of systematic bacteriology. Bergey's manual of systematic bacteriology is the main resource for determining the identity of prokaryotic organisms, emphasizing bacterial. Multiple editions of bergey's manual of determinative bacteriology, published between 1923 and 1994, organized bacteria in groups by. The data given in table 1 may. Keys are charts that require decisions at branch points, much like a. Bergey's Manual Dichotomous Key.
From www.youtube.com
Introduction to Bergey's Manual YouTube Bergey's Manual Dichotomous Key Multiple editions of bergey's manual of determinative bacteriology, published between 1923 and 1994, organized bacteria in groups by. They were very useful for identifying unknown bacterial cultures, however. Multiple editions of bergey’s manual of determinative bacteriology, published between 1923 and 1994, organized bacteria in groups by phenotypic characteristics, with no attempt to sort out higher phylogenetic relationships. Bergey’s manual of. Bergey's Manual Dichotomous Key.
From wiredataoorblufg8.z4.web.core.windows.net
Bergey's Manual Of Systematic Bacteriology Contains Bergey's Manual Dichotomous Key Oxygen requirements, morph., growth requirements (45°c and supplements), read genera descriptions. The data given in table 1 may. Multiple editions of bergey's manual of determinative bacteriology, published between 1923 and 1994, organized bacteria in groups by. Table 1 presents information from bergey's manual in a simple, standardized and easily useable form. Multiple editions of bergey’s manual of determinative bacteriology, published. Bergey's Manual Dichotomous Key.
From schematicdiagramhuber.z19.web.core.windows.net
Bergey's Manual Flow Chart Bergey's Manual Dichotomous Key Multiple editions of bergey's manual of determinative bacteriology, published between 1923 and 1994, organized bacteria in groups by. They were very useful for identifying unknown bacterial cultures, however. Bergey's manual of systematic bacteriology is the main resource for determining the identity of prokaryotic organisms, emphasizing bacterial. Bergey’s manual of systematic bacteriology. The data given in table 1 may. Multiple editions. Bergey's Manual Dichotomous Key.
From guidelibredarguing.z14.web.core.windows.net
Bergey's Manual Of Systematic Bacteriology Contains Bergey's Manual Dichotomous Key Keys are charts that require decisions at branch points, much like a flow chart in computer logic: Multiple editions of bergey’s manual of determinative bacteriology, published between 1923 and 1994, organized bacteria in groups by phenotypic characteristics, with no attempt to sort out higher phylogenetic relationships. Bergey’s manual of systematic bacteriology. They were very useful for identifying unknown bacterial cultures,. Bergey's Manual Dichotomous Key.
From lessonmagicsingular.z13.web.core.windows.net
Bergey's Manual Of Systematic Biology Bergey's Manual Dichotomous Key Keys are charts that require decisions at branch points, much like a flow chart in computer logic: Bergey's manual of systematic bacteriology is the main resource for determining the identity of prokaryotic organisms, emphasizing bacterial. If the answer to a question is. The first step before using any diagnostic tests is to construct an identification key or a dichotomous key. Bergey's Manual Dichotomous Key.
From www.studypool.com
SOLUTION Bergey s manual Studypool Bergey's Manual Dichotomous Key The first step before using any diagnostic tests is to construct an identification key or a dichotomous key by consulting different. Oxygen requirements, morph., growth requirements (45°c and supplements), read genera descriptions. Table 1 presents information from bergey's manual in a simple, standardized and easily useable form. The data given in table 1 may. If the answer to a question. Bergey's Manual Dichotomous Key.
From www.studocu.com
Bergey's flowchart Microbiology aid for unknown Identification flow Bergey's Manual Dichotomous Key The data given in table 1 may. They were very useful for identifying unknown bacterial cultures, however. Multiple editions of bergey's manual of determinative bacteriology, published between 1923 and 1994, organized bacteria in groups by. 8 rows bergey’s manual of determinative bacteriology. Bergey’s manual of systematic bacteriology. The first step before using any diagnostic tests is to construct an identification. Bergey's Manual Dichotomous Key.
From www.pinterest.com
Bergey’s Manual flow charts Flow chart, Microbiology, Medical Bergey's Manual Dichotomous Key The data given in table 1 may. Bergey’s manual of systematic bacteriology. Oxygen requirements, morph., growth requirements (45°c and supplements), read genera descriptions. They were very useful for identifying unknown bacterial cultures, however. Multiple editions of bergey's manual of determinative bacteriology, published between 1923 and 1994, organized bacteria in groups by. The first step before using any diagnostic tests is. Bergey's Manual Dichotomous Key.
From creately.com
What is a Dichotomous Key StepbyStep Guide with Editable Templates Bergey's Manual Dichotomous Key Table 1 presents information from bergey's manual in a simple, standardized and easily useable form. Oxygen requirements, morph., growth requirements (45°c and supplements), read genera descriptions. Multiple editions of bergey's manual of determinative bacteriology, published between 1923 and 1994, organized bacteria in groups by. The data given in table 1 may. The first step before using any diagnostic tests is. Bergey's Manual Dichotomous Key.
From www.scribd.com
Bergeys Manual of Systematic Bacteriology and Determinative Bergey's Manual Dichotomous Key Multiple editions of bergey's manual of determinative bacteriology, published between 1923 and 1994, organized bacteria in groups by. Bergey's manual of systematic bacteriology is the main resource for determining the identity of prokaryotic organisms, emphasizing bacterial. Table 1 presents information from bergey's manual in a simple, standardized and easily useable form. 8 rows bergey’s manual of determinative bacteriology. Bergey’s manual. Bergey's Manual Dichotomous Key.
From dokumen.tips
(PDF) Dichotomous Keys DOKUMEN.TIPS Bergey's Manual Dichotomous Key Bergey’s manual of systematic bacteriology. The data given in table 1 may. Multiple editions of bergey's manual of determinative bacteriology, published between 1923 and 1994, organized bacteria in groups by. If the answer to a question is. Keys are charts that require decisions at branch points, much like a flow chart in computer logic: Bergey's manual of systematic bacteriology is. Bergey's Manual Dichotomous Key.
From www.numerade.com
SOLVED Dichotomous Key for Bacterial Identification Based on the Bergey's Manual Dichotomous Key They were very useful for identifying unknown bacterial cultures, however. Bergey's manual of systematic bacteriology is the main resource for determining the identity of prokaryotic organisms, emphasizing bacterial. Bergey’s manual of systematic bacteriology. 8 rows bergey’s manual of determinative bacteriology. Oxygen requirements, morph., growth requirements (45°c and supplements), read genera descriptions. Multiple editions of bergey's manual of determinative bacteriology, published. Bergey's Manual Dichotomous Key.
From www.studypool.com
SOLUTION Bergey s manual Studypool Bergey's Manual Dichotomous Key Multiple editions of bergey’s manual of determinative bacteriology, published between 1923 and 1994, organized bacteria in groups by phenotypic characteristics, with no attempt to sort out higher phylogenetic relationships. Oxygen requirements, morph., growth requirements (45°c and supplements), read genera descriptions. 8 rows bergey’s manual of determinative bacteriology. Keys are charts that require decisions at branch points, much like a flow. Bergey's Manual Dichotomous Key.
From lessonmagicsingular.z13.web.core.windows.net
Bergey's Manual Flow Chart Bergey's Manual Dichotomous Key Oxygen requirements, morph., growth requirements (45°c and supplements), read genera descriptions. 8 rows bergey’s manual of determinative bacteriology. If the answer to a question is. They were very useful for identifying unknown bacterial cultures, however. Multiple editions of bergey's manual of determinative bacteriology, published between 1923 and 1994, organized bacteria in groups by. The data given in table 1 may.. Bergey's Manual Dichotomous Key.
From slidemodel.com
02_geologicaldichotomouskeysexample SlideModel Bergey's Manual Dichotomous Key The data given in table 1 may. Multiple editions of bergey’s manual of determinative bacteriology, published between 1923 and 1994, organized bacteria in groups by phenotypic characteristics, with no attempt to sort out higher phylogenetic relationships. Table 1 presents information from bergey's manual in a simple, standardized and easily useable form. The first step before using any diagnostic tests is. Bergey's Manual Dichotomous Key.
From manuallibrarydexter.z21.web.core.windows.net
Bergey's Manual Of Systematic Bacteriology Contains Bergey's Manual Dichotomous Key Table 1 presents information from bergey's manual in a simple, standardized and easily useable form. If the answer to a question is. 8 rows bergey’s manual of determinative bacteriology. Bergey's manual of systematic bacteriology is the main resource for determining the identity of prokaryotic organisms, emphasizing bacterial. Multiple editions of bergey’s manual of determinative bacteriology, published between 1923 and 1994,. Bergey's Manual Dichotomous Key.
From dombrick.weebly.com
Bergey'S Manual Flow Chart dombrick Bergey's Manual Dichotomous Key If the answer to a question is. 8 rows bergey’s manual of determinative bacteriology. Table 1 presents information from bergey's manual in a simple, standardized and easily useable form. Multiple editions of bergey’s manual of determinative bacteriology, published between 1923 and 1994, organized bacteria in groups by phenotypic characteristics, with no attempt to sort out higher phylogenetic relationships. Bergey's manual. Bergey's Manual Dichotomous Key.
From www.researchgate.net
Biochemical tests to identify lactose fermenting Enterobacteriaceae Bergey's Manual Dichotomous Key Multiple editions of bergey’s manual of determinative bacteriology, published between 1923 and 1994, organized bacteria in groups by phenotypic characteristics, with no attempt to sort out higher phylogenetic relationships. The first step before using any diagnostic tests is to construct an identification key or a dichotomous key by consulting different. Bergey’s manual of systematic bacteriology. Multiple editions of bergey's manual. Bergey's Manual Dichotomous Key.