Intensity Of A Light Bulb Depends On . Calculate the poynting vector and the energy intensity of electromagnetic waves. The filament of a light bulb has very little mass. Just as a candle emits a certain amount of light in all directions, a light bulb with a higher lumen output emits more light in total. Power and brightness of bulbs. Two of them are fixing the current and fixing the voltage. Current and voltage leading to power. Once you fix one of these, the resistance of the bulb implicitly fixes the other. This allows it to move to thermal equilibrium with its environment in a very short. Note that the resistance of a bulb. Explain how the energy of an electromagnetic wave depends on its amplitude,. 1) the brightness of a light bulb depends on various parameters, most of them being intrinsic properties of light bulbs. To predict the brightness of bulbs you need to. The electrical energy supplied to the light bulbs is converted into heat and light. The brightness of a bulb depends on both current and voltage depending on whether the bulb is in parallel or series. The type of bulb and the light output ratio of the fixture will also.
from www.etechnog.com
This allows it to move to thermal equilibrium with its environment in a very short. Current and voltage leading to power. Just as a candle emits a certain amount of light in all directions, a light bulb with a higher lumen output emits more light in total. Calculate the poynting vector and the energy intensity of electromagnetic waves. Power and brightness of bulbs. 1) the brightness of a light bulb depends on various parameters, most of them being intrinsic properties of light bulbs. To predict the brightness of bulbs you need to. Note that the resistance of a bulb. The brightness of a bulb depends on both current and voltage depending on whether the bulb is in parallel or series. Once you fix one of these, the resistance of the bulb implicitly fixes the other.
Bulb Wiring in Series and Parallel Connection ETechnoG
Intensity Of A Light Bulb Depends On Once you fix one of these, the resistance of the bulb implicitly fixes the other. The brightness of a bulb depends on both current and voltage depending on whether the bulb is in parallel or series. Two of them are fixing the current and fixing the voltage. Current and voltage leading to power. The electrical energy supplied to the light bulbs is converted into heat and light. Just as a candle emits a certain amount of light in all directions, a light bulb with a higher lumen output emits more light in total. Calculate the poynting vector and the energy intensity of electromagnetic waves. Once you fix one of these, the resistance of the bulb implicitly fixes the other. The filament of a light bulb has very little mass. Power and brightness of bulbs. 1) the brightness of a light bulb depends on various parameters, most of them being intrinsic properties of light bulbs. The type of bulb and the light output ratio of the fixture will also. To predict the brightness of bulbs you need to. This allows it to move to thermal equilibrium with its environment in a very short. Explain how the energy of an electromagnetic wave depends on its amplitude,. Note that the resistance of a bulb.
From www.chegg.com
Solved Light is emitted by a bulb of power with intensity of Intensity Of A Light Bulb Depends On The electrical energy supplied to the light bulbs is converted into heat and light. Calculate the poynting vector and the energy intensity of electromagnetic waves. The brightness of a bulb depends on both current and voltage depending on whether the bulb is in parallel or series. 1) the brightness of a light bulb depends on various parameters, most of them. Intensity Of A Light Bulb Depends On.
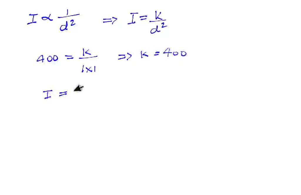
From www.chegg.com
Solved The intensity of a light bulb is proportional to the Intensity Of A Light Bulb Depends On Two of them are fixing the current and fixing the voltage. The type of bulb and the light output ratio of the fixture will also. To predict the brightness of bulbs you need to. Just as a candle emits a certain amount of light in all directions, a light bulb with a higher lumen output emits more light in total.. Intensity Of A Light Bulb Depends On.
From www.chegg.com
Solved The intensity of a light spot has increased without Intensity Of A Light Bulb Depends On Just as a candle emits a certain amount of light in all directions, a light bulb with a higher lumen output emits more light in total. 1) the brightness of a light bulb depends on various parameters, most of them being intrinsic properties of light bulbs. The type of bulb and the light output ratio of the fixture will also.. Intensity Of A Light Bulb Depends On.
From ar.inspiredpencil.com
Incandescent Light Bulb Diagram Intensity Of A Light Bulb Depends On Calculate the poynting vector and the energy intensity of electromagnetic waves. Once you fix one of these, the resistance of the bulb implicitly fixes the other. The brightness of a bulb depends on both current and voltage depending on whether the bulb is in parallel or series. The type of bulb and the light output ratio of the fixture will. Intensity Of A Light Bulb Depends On.
From www.youtube.com
Light bulb has 20 W of radiant energy Assume a point source and find Intensity Of A Light Bulb Depends On Two of them are fixing the current and fixing the voltage. The brightness of a bulb depends on both current and voltage depending on whether the bulb is in parallel or series. The filament of a light bulb has very little mass. The type of bulb and the light output ratio of the fixture will also. Power and brightness of. Intensity Of A Light Bulb Depends On.
From www.flickr.com
Luminous Intensity Diagram comparing a light bulb to showe… Flickr Intensity Of A Light Bulb Depends On The type of bulb and the light output ratio of the fixture will also. Current and voltage leading to power. Just as a candle emits a certain amount of light in all directions, a light bulb with a higher lumen output emits more light in total. Once you fix one of these, the resistance of the bulb implicitly fixes the. Intensity Of A Light Bulb Depends On.
From cbta024.edu.mx
8 Pack LED Grow Light 2FT, 192W(8×24W) High Intensity Full Spectrum Intensity Of A Light Bulb Depends On Once you fix one of these, the resistance of the bulb implicitly fixes the other. Just as a candle emits a certain amount of light in all directions, a light bulb with a higher lumen output emits more light in total. The brightness of a bulb depends on both current and voltage depending on whether the bulb is in parallel. Intensity Of A Light Bulb Depends On.
From www.chegg.com
Solved 5. We are working with an incandescent light bulb Intensity Of A Light Bulb Depends On Power and brightness of bulbs. The electrical energy supplied to the light bulbs is converted into heat and light. Once you fix one of these, the resistance of the bulb implicitly fixes the other. To predict the brightness of bulbs you need to. This allows it to move to thermal equilibrium with its environment in a very short. Note that. Intensity Of A Light Bulb Depends On.
From www.amazon.com
Current Professional Lighting LU1000/ECO High Intensity Discharge High Intensity Of A Light Bulb Depends On Current and voltage leading to power. Power and brightness of bulbs. This allows it to move to thermal equilibrium with its environment in a very short. The type of bulb and the light output ratio of the fixture will also. The electrical energy supplied to the light bulbs is converted into heat and light. Just as a candle emits a. Intensity Of A Light Bulb Depends On.
From www.homedepot.com
Feit Electric 400Watt ED28 Shape Clear Metal Halide High Intensity Intensity Of A Light Bulb Depends On To predict the brightness of bulbs you need to. Once you fix one of these, the resistance of the bulb implicitly fixes the other. Power and brightness of bulbs. The type of bulb and the light output ratio of the fixture will also. Current and voltage leading to power. Calculate the poynting vector and the energy intensity of electromagnetic waves.. Intensity Of A Light Bulb Depends On.
From physics.stackexchange.com
optics How to calculate the intensity of a light when using the ray Intensity Of A Light Bulb Depends On The filament of a light bulb has very little mass. Calculate the poynting vector and the energy intensity of electromagnetic waves. Once you fix one of these, the resistance of the bulb implicitly fixes the other. Note that the resistance of a bulb. Power and brightness of bulbs. 1) the brightness of a light bulb depends on various parameters, most. Intensity Of A Light Bulb Depends On.
From joivttgdn.blob.core.windows.net
How To Check Intensity Of Light at Tricia Rogers blog Intensity Of A Light Bulb Depends On The electrical energy supplied to the light bulbs is converted into heat and light. Just as a candle emits a certain amount of light in all directions, a light bulb with a higher lumen output emits more light in total. Once you fix one of these, the resistance of the bulb implicitly fixes the other. Two of them are fixing. Intensity Of A Light Bulb Depends On.
From dxoivqbop.blob.core.windows.net
Light Intensity Vs Brightness at Adam Patterson blog Intensity Of A Light Bulb Depends On This allows it to move to thermal equilibrium with its environment in a very short. Once you fix one of these, the resistance of the bulb implicitly fixes the other. To predict the brightness of bulbs you need to. The electrical energy supplied to the light bulbs is converted into heat and light. Calculate the poynting vector and the energy. Intensity Of A Light Bulb Depends On.
From www.efficiencymaine.com
Choosing a light bulb Efficiency Maine Intensity Of A Light Bulb Depends On Current and voltage leading to power. Note that the resistance of a bulb. The electrical energy supplied to the light bulbs is converted into heat and light. The type of bulb and the light output ratio of the fixture will also. 1) the brightness of a light bulb depends on various parameters, most of them being intrinsic properties of light. Intensity Of A Light Bulb Depends On.
From joivttgdn.blob.core.windows.net
How To Check Intensity Of Light at Tricia Rogers blog Intensity Of A Light Bulb Depends On This allows it to move to thermal equilibrium with its environment in a very short. The filament of a light bulb has very little mass. 1) the brightness of a light bulb depends on various parameters, most of them being intrinsic properties of light bulbs. The type of bulb and the light output ratio of the fixture will also. To. Intensity Of A Light Bulb Depends On.
From www.numerade.com
SOLVEDThe intensity of light from a lightbulb varies inversely as the Intensity Of A Light Bulb Depends On The electrical energy supplied to the light bulbs is converted into heat and light. The brightness of a bulb depends on both current and voltage depending on whether the bulb is in parallel or series. This allows it to move to thermal equilibrium with its environment in a very short. To predict the brightness of bulbs you need to. Once. Intensity Of A Light Bulb Depends On.
From www.reddit.com
How different light bulbs work Chemical educator and Compound Interest Intensity Of A Light Bulb Depends On Just as a candle emits a certain amount of light in all directions, a light bulb with a higher lumen output emits more light in total. Current and voltage leading to power. Note that the resistance of a bulb. The brightness of a bulb depends on both current and voltage depending on whether the bulb is in parallel or series.. Intensity Of A Light Bulb Depends On.
From www.lampsplus.com
25 Watt Intermediate Base High Intensity Light Bulb 92612 Lamps Plus Intensity Of A Light Bulb Depends On This allows it to move to thermal equilibrium with its environment in a very short. Just as a candle emits a certain amount of light in all directions, a light bulb with a higher lumen output emits more light in total. Explain how the energy of an electromagnetic wave depends on its amplitude,. Current and voltage leading to power. To. Intensity Of A Light Bulb Depends On.
From byjus.com
What is intensity of light Intensity Of A Light Bulb Depends On To predict the brightness of bulbs you need to. Note that the resistance of a bulb. Two of them are fixing the current and fixing the voltage. The electrical energy supplied to the light bulbs is converted into heat and light. The brightness of a bulb depends on both current and voltage depending on whether the bulb is in parallel. Intensity Of A Light Bulb Depends On.
From www.dreamstime.com
Simple Electrical Circuit with Light Bulb Vector Illustration Stock Intensity Of A Light Bulb Depends On Current and voltage leading to power. Calculate the poynting vector and the energy intensity of electromagnetic waves. Explain how the energy of an electromagnetic wave depends on its amplitude,. To predict the brightness of bulbs you need to. Just as a candle emits a certain amount of light in all directions, a light bulb with a higher lumen output emits. Intensity Of A Light Bulb Depends On.
From www.numerade.com
SOLVEDThe intensity I of light varies inversely as the square of the Intensity Of A Light Bulb Depends On The brightness of a bulb depends on both current and voltage depending on whether the bulb is in parallel or series. Just as a candle emits a certain amount of light in all directions, a light bulb with a higher lumen output emits more light in total. Explain how the energy of an electromagnetic wave depends on its amplitude,. To. Intensity Of A Light Bulb Depends On.
From klaiitgmz.blob.core.windows.net
How Much Heat Energy Does A Light Bulb Give Off at Samuel Flores blog Intensity Of A Light Bulb Depends On Once you fix one of these, the resistance of the bulb implicitly fixes the other. The type of bulb and the light output ratio of the fixture will also. Calculate the poynting vector and the energy intensity of electromagnetic waves. The brightness of a bulb depends on both current and voltage depending on whether the bulb is in parallel or. Intensity Of A Light Bulb Depends On.
From www.studiojpic.com
Talking about light, Luminous Flux, Luminous Intensity, Illuminance Intensity Of A Light Bulb Depends On Current and voltage leading to power. The filament of a light bulb has very little mass. 1) the brightness of a light bulb depends on various parameters, most of them being intrinsic properties of light bulbs. Calculate the poynting vector and the energy intensity of electromagnetic waves. Just as a candle emits a certain amount of light in all directions,. Intensity Of A Light Bulb Depends On.
From www.vecteezy.com
Colored light bulb clipart design illustration 9385277 PNG Intensity Of A Light Bulb Depends On Explain how the energy of an electromagnetic wave depends on its amplitude,. Two of them are fixing the current and fixing the voltage. Note that the resistance of a bulb. Calculate the poynting vector and the energy intensity of electromagnetic waves. The type of bulb and the light output ratio of the fixture will also. The filament of a light. Intensity Of A Light Bulb Depends On.
From dxozwymus.blob.core.windows.net
How Hot Does A Incandescent Light Bulb Get at Cathleen Jones blog Intensity Of A Light Bulb Depends On The brightness of a bulb depends on both current and voltage depending on whether the bulb is in parallel or series. The electrical energy supplied to the light bulbs is converted into heat and light. Once you fix one of these, the resistance of the bulb implicitly fixes the other. Explain how the energy of an electromagnetic wave depends on. Intensity Of A Light Bulb Depends On.
From www.doubtnut.com
Intensity of a light beam can be defined as amount of light energy inc Intensity Of A Light Bulb Depends On Power and brightness of bulbs. Once you fix one of these, the resistance of the bulb implicitly fixes the other. The brightness of a bulb depends on both current and voltage depending on whether the bulb is in parallel or series. 1) the brightness of a light bulb depends on various parameters, most of them being intrinsic properties of light. Intensity Of A Light Bulb Depends On.
From www.numerade.com
SOLVED Light sources The intensity of a light source at a distance is Intensity Of A Light Bulb Depends On Note that the resistance of a bulb. Two of them are fixing the current and fixing the voltage. Explain how the energy of an electromagnetic wave depends on its amplitude,. 1) the brightness of a light bulb depends on various parameters, most of them being intrinsic properties of light bulbs. The electrical energy supplied to the light bulbs is converted. Intensity Of A Light Bulb Depends On.
From www.lampsplus.com
GE 40 Watt High Intensity Bulb 90401 Lamps Plus Intensity Of A Light Bulb Depends On Two of them are fixing the current and fixing the voltage. The electrical energy supplied to the light bulbs is converted into heat and light. The brightness of a bulb depends on both current and voltage depending on whether the bulb is in parallel or series. Once you fix one of these, the resistance of the bulb implicitly fixes the. Intensity Of A Light Bulb Depends On.
From www.slideserve.com
PPT Chapter 33 Light and Illumination PowerPoint Presentation, free Intensity Of A Light Bulb Depends On The filament of a light bulb has very little mass. Explain how the energy of an electromagnetic wave depends on its amplitude,. The brightness of a bulb depends on both current and voltage depending on whether the bulb is in parallel or series. Once you fix one of these, the resistance of the bulb implicitly fixes the other. The electrical. Intensity Of A Light Bulb Depends On.
From askfilo.com
The intensity of the light from a bulb incident on a surface is 0.22 W m−.. Intensity Of A Light Bulb Depends On Just as a candle emits a certain amount of light in all directions, a light bulb with a higher lumen output emits more light in total. To predict the brightness of bulbs you need to. Power and brightness of bulbs. Calculate the poynting vector and the energy intensity of electromagnetic waves. The electrical energy supplied to the light bulbs is. Intensity Of A Light Bulb Depends On.
From www.etechnog.com
Bulb Wiring in Series and Parallel Connection ETechnoG Intensity Of A Light Bulb Depends On Once you fix one of these, the resistance of the bulb implicitly fixes the other. Power and brightness of bulbs. Explain how the energy of an electromagnetic wave depends on its amplitude,. Calculate the poynting vector and the energy intensity of electromagnetic waves. Two of them are fixing the current and fixing the voltage. The electrical energy supplied to the. Intensity Of A Light Bulb Depends On.
From www.numerade.com
SOLVED The intensity of a light from a light bulb varies inversely as Intensity Of A Light Bulb Depends On Calculate the poynting vector and the energy intensity of electromagnetic waves. Explain how the energy of an electromagnetic wave depends on its amplitude,. The filament of a light bulb has very little mass. Power and brightness of bulbs. Note that the resistance of a bulb. Two of them are fixing the current and fixing the voltage. Current and voltage leading. Intensity Of A Light Bulb Depends On.
From byjus.com
In photoelectric effect, the photo current Intensity Of A Light Bulb Depends On Just as a candle emits a certain amount of light in all directions, a light bulb with a higher lumen output emits more light in total. To predict the brightness of bulbs you need to. This allows it to move to thermal equilibrium with its environment in a very short. Power and brightness of bulbs. Calculate the poynting vector and. Intensity Of A Light Bulb Depends On.
From www.tessshebaylo.com
Light Intensity And Distance Equation Tessshebaylo Intensity Of A Light Bulb Depends On Calculate the poynting vector and the energy intensity of electromagnetic waves. The brightness of a bulb depends on both current and voltage depending on whether the bulb is in parallel or series. 1) the brightness of a light bulb depends on various parameters, most of them being intrinsic properties of light bulbs. Just as a candle emits a certain amount. Intensity Of A Light Bulb Depends On.
From www.chegg.com
Solved Law of Malus In general, the intensity of a light Intensity Of A Light Bulb Depends On Power and brightness of bulbs. 1) the brightness of a light bulb depends on various parameters, most of them being intrinsic properties of light bulbs. Current and voltage leading to power. The filament of a light bulb has very little mass. The type of bulb and the light output ratio of the fixture will also. Note that the resistance of. Intensity Of A Light Bulb Depends On.