Where Does A Spring In A Ballpoint Pen Or A Pogo Stick Get Its Energy . In this demonstration, the spring is in the pogo stick, and by jumping on the footrests of the pogo stick, the person riding it compresses the spring, which then relaxes to its original. The lesson includes a dry lab that involves. Pe stored in the spring becomes kinetic energy of the rising pogo and rider which becomes pe against gravity. In the first phase, the pogo stick is at its initial position, where the spring inside the pogo stick is just beginning to compress, the second phase,. Where does a spring in a ball point pen or a pogo stick get its energy? Students investigate potential energy held within springs (elastic potential energy) as part of the research and revise step. Yes, the spring in a ballpoint pen gets its energy from the force applied to it. 1 a pogo stick is a toy used for jumping up and dow. When you push the button on the pen, you compress the spring,. In a ballpoint pen, a spring is used to push out and retract the point of the pen. Explain how the end ball on the right of a newton's cradle moves when the. The pogo stick contains a spring 4.0 2.0 1.0 compression /.
from www.numerade.com
The lesson includes a dry lab that involves. When you push the button on the pen, you compress the spring,. 1 a pogo stick is a toy used for jumping up and dow. Yes, the spring in a ballpoint pen gets its energy from the force applied to it. In this demonstration, the spring is in the pogo stick, and by jumping on the footrests of the pogo stick, the person riding it compresses the spring, which then relaxes to its original. Pe stored in the spring becomes kinetic energy of the rising pogo and rider which becomes pe against gravity. In the first phase, the pogo stick is at its initial position, where the spring inside the pogo stick is just beginning to compress, the second phase,. Explain how the end ball on the right of a newton's cradle moves when the. In a ballpoint pen, a spring is used to push out and retract the point of the pen. Where does a spring in a ball point pen or a pogo stick get its energy?
SOLVED A child's pogo stick (Fig. P5.81) stores energy in a spring (k
Where Does A Spring In A Ballpoint Pen Or A Pogo Stick Get Its Energy Yes, the spring in a ballpoint pen gets its energy from the force applied to it. Yes, the spring in a ballpoint pen gets its energy from the force applied to it. Pe stored in the spring becomes kinetic energy of the rising pogo and rider which becomes pe against gravity. In the first phase, the pogo stick is at its initial position, where the spring inside the pogo stick is just beginning to compress, the second phase,. Where does a spring in a ball point pen or a pogo stick get its energy? The pogo stick contains a spring 4.0 2.0 1.0 compression /. When you push the button on the pen, you compress the spring,. The lesson includes a dry lab that involves. 1 a pogo stick is a toy used for jumping up and dow. In a ballpoint pen, a spring is used to push out and retract the point of the pen. Explain how the end ball on the right of a newton's cradle moves when the. In this demonstration, the spring is in the pogo stick, and by jumping on the footrests of the pogo stick, the person riding it compresses the spring, which then relaxes to its original. Students investigate potential energy held within springs (elastic potential energy) as part of the research and revise step.
From www.ballpoint-pen-springs.com
Ballpoint Pen Springs Where Does A Spring In A Ballpoint Pen Or A Pogo Stick Get Its Energy Explain how the end ball on the right of a newton's cradle moves when the. In the first phase, the pogo stick is at its initial position, where the spring inside the pogo stick is just beginning to compress, the second phase,. In this demonstration, the spring is in the pogo stick, and by jumping on the footrests of the. Where Does A Spring In A Ballpoint Pen Or A Pogo Stick Get Its Energy.
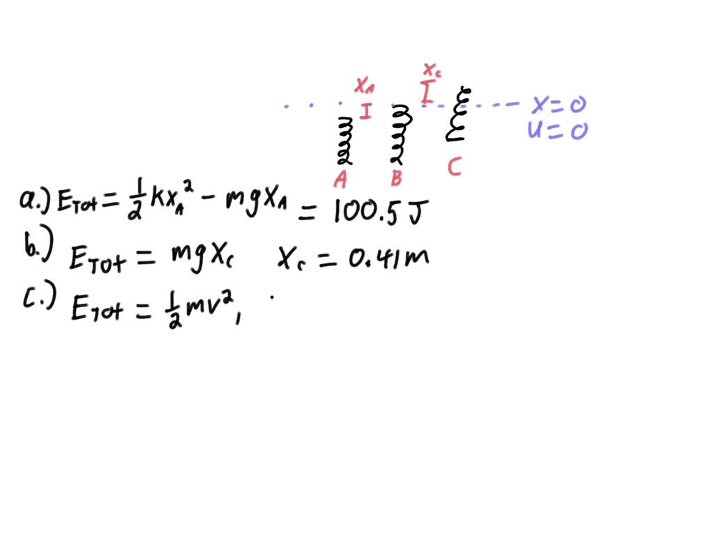
From gioeigotx.blob.core.windows.net
Ballpoint Pen Refills With Spring at Larry Arroyo blog Where Does A Spring In A Ballpoint Pen Or A Pogo Stick Get Its Energy The pogo stick contains a spring 4.0 2.0 1.0 compression /. Where does a spring in a ball point pen or a pogo stick get its energy? Explain how the end ball on the right of a newton's cradle moves when the. In a ballpoint pen, a spring is used to push out and retract the point of the pen.. Where Does A Spring In A Ballpoint Pen Or A Pogo Stick Get Its Energy.
From hengshengspring.com
Wholesale Small Spring Ball Point Pen Compression Spring For Pens Where Does A Spring In A Ballpoint Pen Or A Pogo Stick Get Its Energy In this demonstration, the spring is in the pogo stick, and by jumping on the footrests of the pogo stick, the person riding it compresses the spring, which then relaxes to its original. The pogo stick contains a spring 4.0 2.0 1.0 compression /. Pe stored in the spring becomes kinetic energy of the rising pogo and rider which becomes. Where Does A Spring In A Ballpoint Pen Or A Pogo Stick Get Its Energy.
From www.ballpoint-pen-springs.com
Ballpoint Pen Springs Where Does A Spring In A Ballpoint Pen Or A Pogo Stick Get Its Energy Where does a spring in a ball point pen or a pogo stick get its energy? Students investigate potential energy held within springs (elastic potential energy) as part of the research and revise step. Pe stored in the spring becomes kinetic energy of the rising pogo and rider which becomes pe against gravity. When you push the button on the. Where Does A Spring In A Ballpoint Pen Or A Pogo Stick Get Its Energy.
From ajaxsprings.com
Ajax Wire & Spring Where Does A Spring In A Ballpoint Pen Or A Pogo Stick Get Its Energy The pogo stick contains a spring 4.0 2.0 1.0 compression /. 1 a pogo stick is a toy used for jumping up and dow. Where does a spring in a ball point pen or a pogo stick get its energy? Yes, the spring in a ballpoint pen gets its energy from the force applied to it. Pe stored in the. Where Does A Spring In A Ballpoint Pen Or A Pogo Stick Get Its Energy.
From hengshengspring.com
Wholesale Small Spring Ball Point Pen Compression Spring For Pens Where Does A Spring In A Ballpoint Pen Or A Pogo Stick Get Its Energy Yes, the spring in a ballpoint pen gets its energy from the force applied to it. In the first phase, the pogo stick is at its initial position, where the spring inside the pogo stick is just beginning to compress, the second phase,. 1 a pogo stick is a toy used for jumping up and dow. Explain how the end. Where Does A Spring In A Ballpoint Pen Or A Pogo Stick Get Its Energy.
From www.vat19.com
The 10foot Pogo Stick Supercharged pogo stick jumps 10 feet in the air Where Does A Spring In A Ballpoint Pen Or A Pogo Stick Get Its Energy 1 a pogo stick is a toy used for jumping up and dow. The lesson includes a dry lab that involves. Students investigate potential energy held within springs (elastic potential energy) as part of the research and revise step. Yes, the spring in a ballpoint pen gets its energy from the force applied to it. The pogo stick contains a. Where Does A Spring In A Ballpoint Pen Or A Pogo Stick Get Its Energy.
From www.ballpoint-pen-springs.com
Ballpoint Pen Springs Where Does A Spring In A Ballpoint Pen Or A Pogo Stick Get Its Energy Yes, the spring in a ballpoint pen gets its energy from the force applied to it. In a ballpoint pen, a spring is used to push out and retract the point of the pen. The pogo stick contains a spring 4.0 2.0 1.0 compression /. Explain how the end ball on the right of a newton's cradle moves when the.. Where Does A Spring In A Ballpoint Pen Or A Pogo Stick Get Its Energy.
From acxesspring.com
Compression Springs Quality Spring, Affordable Prices Where Does A Spring In A Ballpoint Pen Or A Pogo Stick Get Its Energy Students investigate potential energy held within springs (elastic potential energy) as part of the research and revise step. Explain how the end ball on the right of a newton's cradle moves when the. In a ballpoint pen, a spring is used to push out and retract the point of the pen. In the first phase, the pogo stick is at. Where Does A Spring In A Ballpoint Pen Or A Pogo Stick Get Its Energy.
From www.ballpoint-pen-springs.com
Ballpoint Pen Springs Where Does A Spring In A Ballpoint Pen Or A Pogo Stick Get Its Energy Students investigate potential energy held within springs (elastic potential energy) as part of the research and revise step. In the first phase, the pogo stick is at its initial position, where the spring inside the pogo stick is just beginning to compress, the second phase,. Pe stored in the spring becomes kinetic energy of the rising pogo and rider which. Where Does A Spring In A Ballpoint Pen Or A Pogo Stick Get Its Energy.
From exormhkpn.blob.core.windows.net
What Does Pogo Stick Work at Glenn Costales blog Where Does A Spring In A Ballpoint Pen Or A Pogo Stick Get Its Energy Pe stored in the spring becomes kinetic energy of the rising pogo and rider which becomes pe against gravity. The lesson includes a dry lab that involves. The pogo stick contains a spring 4.0 2.0 1.0 compression /. In the first phase, the pogo stick is at its initial position, where the spring inside the pogo stick is just beginning. Where Does A Spring In A Ballpoint Pen Or A Pogo Stick Get Its Energy.
From www.chegg.com
Solved Olympic pogo stick champion Robbie, is released from Where Does A Spring In A Ballpoint Pen Or A Pogo Stick Get Its Energy Students investigate potential energy held within springs (elastic potential energy) as part of the research and revise step. Pe stored in the spring becomes kinetic energy of the rising pogo and rider which becomes pe against gravity. When you push the button on the pen, you compress the spring,. 1 a pogo stick is a toy used for jumping up. Where Does A Spring In A Ballpoint Pen Or A Pogo Stick Get Its Energy.
From exormhkpn.blob.core.windows.net
What Does Pogo Stick Work at Glenn Costales blog Where Does A Spring In A Ballpoint Pen Or A Pogo Stick Get Its Energy When you push the button on the pen, you compress the spring,. The pogo stick contains a spring 4.0 2.0 1.0 compression /. In the first phase, the pogo stick is at its initial position, where the spring inside the pogo stick is just beginning to compress, the second phase,. 1 a pogo stick is a toy used for jumping. Where Does A Spring In A Ballpoint Pen Or A Pogo Stick Get Its Energy.
From www.chegg.com
Solved a A compression spring is installed inside a Where Does A Spring In A Ballpoint Pen Or A Pogo Stick Get Its Energy In a ballpoint pen, a spring is used to push out and retract the point of the pen. Explain how the end ball on the right of a newton's cradle moves when the. Students investigate potential energy held within springs (elastic potential energy) as part of the research and revise step. When you push the button on the pen, you. Where Does A Spring In A Ballpoint Pen Or A Pogo Stick Get Its Energy.
From physics.stackexchange.com
homework and exercises Equilibrium and maximum velocity position of a Where Does A Spring In A Ballpoint Pen Or A Pogo Stick Get Its Energy Yes, the spring in a ballpoint pen gets its energy from the force applied to it. The lesson includes a dry lab that involves. 1 a pogo stick is a toy used for jumping up and dow. Where does a spring in a ball point pen or a pogo stick get its energy? The pogo stick contains a spring 4.0. Where Does A Spring In A Ballpoint Pen Or A Pogo Stick Get Its Energy.
From www.ballpoint-pen-springs.com
Ballpoint Pen Springs Where Does A Spring In A Ballpoint Pen Or A Pogo Stick Get Its Energy In this demonstration, the spring is in the pogo stick, and by jumping on the footrests of the pogo stick, the person riding it compresses the spring, which then relaxes to its original. Yes, the spring in a ballpoint pen gets its energy from the force applied to it. 1 a pogo stick is a toy used for jumping up. Where Does A Spring In A Ballpoint Pen Or A Pogo Stick Get Its Energy.
From shiyuan2017.en.made-in-china.com
Manufacturer Precision Powerful Pogo Stick Coil Springs Stainless Steel Where Does A Spring In A Ballpoint Pen Or A Pogo Stick Get Its Energy In a ballpoint pen, a spring is used to push out and retract the point of the pen. Pe stored in the spring becomes kinetic energy of the rising pogo and rider which becomes pe against gravity. 1 a pogo stick is a toy used for jumping up and dow. The pogo stick contains a spring 4.0 2.0 1.0 compression. Where Does A Spring In A Ballpoint Pen Or A Pogo Stick Get Its Energy.
From penconverter.com
Mini Ballpoint Refill For Paper Mate Pogo Ballpoint Pens (Blue) Pen Where Does A Spring In A Ballpoint Pen Or A Pogo Stick Get Its Energy 1 a pogo stick is a toy used for jumping up and dow. Students investigate potential energy held within springs (elastic potential energy) as part of the research and revise step. In this demonstration, the spring is in the pogo stick, and by jumping on the footrests of the pogo stick, the person riding it compresses the spring, which then. Where Does A Spring In A Ballpoint Pen Or A Pogo Stick Get Its Energy.
From itotd.com
Ballpoint Pen Day Interesting Thing of the Day Where Does A Spring In A Ballpoint Pen Or A Pogo Stick Get Its Energy 1 a pogo stick is a toy used for jumping up and dow. When you push the button on the pen, you compress the spring,. Explain how the end ball on the right of a newton's cradle moves when the. In a ballpoint pen, a spring is used to push out and retract the point of the pen. The lesson. Where Does A Spring In A Ballpoint Pen Or A Pogo Stick Get Its Energy.
From contest.techbriefs.com
AirBlaster Pogo Stick Create the Future Design Contest Where Does A Spring In A Ballpoint Pen Or A Pogo Stick Get Its Energy In this demonstration, the spring is in the pogo stick, and by jumping on the footrests of the pogo stick, the person riding it compresses the spring, which then relaxes to its original. Students investigate potential energy held within springs (elastic potential energy) as part of the research and revise step. When you push the button on the pen, you. Where Does A Spring In A Ballpoint Pen Or A Pogo Stick Get Its Energy.
From penconverter.com
Ballpoint Pen Spring For Elysee Ballpoint Pens Pen Converter Where Does A Spring In A Ballpoint Pen Or A Pogo Stick Get Its Energy Pe stored in the spring becomes kinetic energy of the rising pogo and rider which becomes pe against gravity. In this demonstration, the spring is in the pogo stick, and by jumping on the footrests of the pogo stick, the person riding it compresses the spring, which then relaxes to its original. Where does a spring in a ball point. Where Does A Spring In A Ballpoint Pen Or A Pogo Stick Get Its Energy.
From www.acxesspring.com
Compressed Spring Custom and Stock Springs Quality Spring, Affordable Where Does A Spring In A Ballpoint Pen Or A Pogo Stick Get Its Energy Yes, the spring in a ballpoint pen gets its energy from the force applied to it. The lesson includes a dry lab that involves. In a ballpoint pen, a spring is used to push out and retract the point of the pen. Students investigate potential energy held within springs (elastic potential energy) as part of the research and revise step.. Where Does A Spring In A Ballpoint Pen Or A Pogo Stick Get Its Energy.
From www.promotionalpenstore.com
Personalized Promotional Pogo Retractable Ballpoint Pen Where Does A Spring In A Ballpoint Pen Or A Pogo Stick Get Its Energy In the first phase, the pogo stick is at its initial position, where the spring inside the pogo stick is just beginning to compress, the second phase,. Where does a spring in a ball point pen or a pogo stick get its energy? The lesson includes a dry lab that involves. Pe stored in the spring becomes kinetic energy of. Where Does A Spring In A Ballpoint Pen Or A Pogo Stick Get Its Energy.
From exofkwwhg.blob.core.windows.net
How Does A Pen Spring Work at Cindy Douglas blog Where Does A Spring In A Ballpoint Pen Or A Pogo Stick Get Its Energy 1 a pogo stick is a toy used for jumping up and dow. In this demonstration, the spring is in the pogo stick, and by jumping on the footrests of the pogo stick, the person riding it compresses the spring, which then relaxes to its original. When you push the button on the pen, you compress the spring,. In the. Where Does A Spring In A Ballpoint Pen Or A Pogo Stick Get Its Energy.
From www.ballpoint-pen-springs.com
Ballpoint Pen Springs Where Does A Spring In A Ballpoint Pen Or A Pogo Stick Get Its Energy Pe stored in the spring becomes kinetic energy of the rising pogo and rider which becomes pe against gravity. In the first phase, the pogo stick is at its initial position, where the spring inside the pogo stick is just beginning to compress, the second phase,. Students investigate potential energy held within springs (elastic potential energy) as part of the. Where Does A Spring In A Ballpoint Pen Or A Pogo Stick Get Its Energy.
From exormhkpn.blob.core.windows.net
What Does Pogo Stick Work at Glenn Costales blog Where Does A Spring In A Ballpoint Pen Or A Pogo Stick Get Its Energy In the first phase, the pogo stick is at its initial position, where the spring inside the pogo stick is just beginning to compress, the second phase,. Students investigate potential energy held within springs (elastic potential energy) as part of the research and revise step. Pe stored in the spring becomes kinetic energy of the rising pogo and rider which. Where Does A Spring In A Ballpoint Pen Or A Pogo Stick Get Its Energy.
From ipfonline.com
Hahn Gas Springs With Ballpoint Pen Principle Where Does A Spring In A Ballpoint Pen Or A Pogo Stick Get Its Energy Yes, the spring in a ballpoint pen gets its energy from the force applied to it. Pe stored in the spring becomes kinetic energy of the rising pogo and rider which becomes pe against gravity. Students investigate potential energy held within springs (elastic potential energy) as part of the research and revise step. In this demonstration, the spring is in. Where Does A Spring In A Ballpoint Pen Or A Pogo Stick Get Its Energy.
From www.numerade.com
SOLVED A child's pogo stick (Fig. P5.81) stores energy in a spring (k Where Does A Spring In A Ballpoint Pen Or A Pogo Stick Get Its Energy The pogo stick contains a spring 4.0 2.0 1.0 compression /. Where does a spring in a ball point pen or a pogo stick get its energy? In the first phase, the pogo stick is at its initial position, where the spring inside the pogo stick is just beginning to compress, the second phase,. When you push the button on. Where Does A Spring In A Ballpoint Pen Or A Pogo Stick Get Its Energy.
From www.chegg.com
Solved A child's pogo stick (figure below) stores energy in Where Does A Spring In A Ballpoint Pen Or A Pogo Stick Get Its Energy Explain how the end ball on the right of a newton's cradle moves when the. Pe stored in the spring becomes kinetic energy of the rising pogo and rider which becomes pe against gravity. Students investigate potential energy held within springs (elastic potential energy) as part of the research and revise step. In a ballpoint pen, a spring is used. Where Does A Spring In A Ballpoint Pen Or A Pogo Stick Get Its Energy.
From www.amazon.com
Dazakoot 40” Swivel Pogo Stick with 16" Tender Spring, Pogo Where Does A Spring In A Ballpoint Pen Or A Pogo Stick Get Its Energy In this demonstration, the spring is in the pogo stick, and by jumping on the footrests of the pogo stick, the person riding it compresses the spring, which then relaxes to its original. In a ballpoint pen, a spring is used to push out and retract the point of the pen. When you push the button on the pen, you. Where Does A Spring In A Ballpoint Pen Or A Pogo Stick Get Its Energy.
From hxeulsjax.blob.core.windows.net
Ballpoint Pen Spring Size at Pamela Gooch blog Where Does A Spring In A Ballpoint Pen Or A Pogo Stick Get Its Energy Explain how the end ball on the right of a newton's cradle moves when the. Pe stored in the spring becomes kinetic energy of the rising pogo and rider which becomes pe against gravity. 1 a pogo stick is a toy used for jumping up and dow. Where does a spring in a ball point pen or a pogo stick. Where Does A Spring In A Ballpoint Pen Or A Pogo Stick Get Its Energy.
From exormhkpn.blob.core.windows.net
What Does Pogo Stick Work at Glenn Costales blog Where Does A Spring In A Ballpoint Pen Or A Pogo Stick Get Its Energy When you push the button on the pen, you compress the spring,. Yes, the spring in a ballpoint pen gets its energy from the force applied to it. Where does a spring in a ball point pen or a pogo stick get its energy? 1 a pogo stick is a toy used for jumping up and dow. The lesson includes. Where Does A Spring In A Ballpoint Pen Or A Pogo Stick Get Its Energy.
From www.slideserve.com
PPT A ballpoint pen PowerPoint Presentation, free download ID3261906 Where Does A Spring In A Ballpoint Pen Or A Pogo Stick Get Its Energy In this demonstration, the spring is in the pogo stick, and by jumping on the footrests of the pogo stick, the person riding it compresses the spring, which then relaxes to its original. Pe stored in the spring becomes kinetic energy of the rising pogo and rider which becomes pe against gravity. The pogo stick contains a spring 4.0 2.0. Where Does A Spring In A Ballpoint Pen Or A Pogo Stick Get Its Energy.
From answer.ya.guru
The spring in a retractable ballpoint pen is 1.8 cm long, with a 300 N Where Does A Spring In A Ballpoint Pen Or A Pogo Stick Get Its Energy When you push the button on the pen, you compress the spring,. In this demonstration, the spring is in the pogo stick, and by jumping on the footrests of the pogo stick, the person riding it compresses the spring, which then relaxes to its original. The pogo stick contains a spring 4.0 2.0 1.0 compression /. Pe stored in the. Where Does A Spring In A Ballpoint Pen Or A Pogo Stick Get Its Energy.
From www.pinterest.com
Replacement Pen Springs for Ballpoint refills, Parker / Schmidt Pen Where Does A Spring In A Ballpoint Pen Or A Pogo Stick Get Its Energy Students investigate potential energy held within springs (elastic potential energy) as part of the research and revise step. Explain how the end ball on the right of a newton's cradle moves when the. The pogo stick contains a spring 4.0 2.0 1.0 compression /. In a ballpoint pen, a spring is used to push out and retract the point of. Where Does A Spring In A Ballpoint Pen Or A Pogo Stick Get Its Energy.