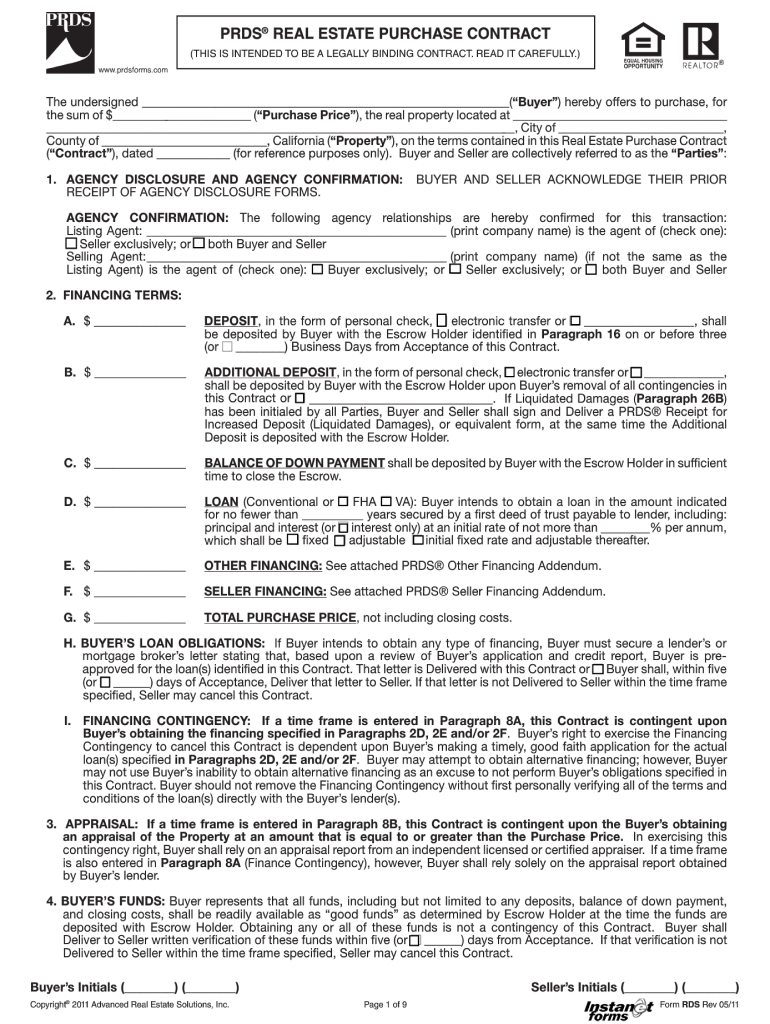
Prds Real Estate . Two of the most widely used standardized purchase contracts are the prds (peninsula regional data service) purchase agreement. In this article, i will begin identifying some of the significant. It is vital to work closely with and communicate with your real estate agent and attorney to understand the nuances of each. The new revised prds real estate purchase contract is available and is quite an improvement over the old contract. Prds and c.a.r are releasing revisions to their respective purchase contracts. Created by realtors® for realtors®, these forms are highly acclaimed,. Prds forms are used in the buying and selling of residential real estate. Along the san francisco peninsula and in silicon valley, though, often we use another form, the peninsula regional data service. Over the last six months, the prds forms committee has. Under the prds contract, if the amended/revised preliminary report raises an issue that cannot be removed or otherwise. What’s new with prds forms?
from naplesviberealty.com
It is vital to work closely with and communicate with your real estate agent and attorney to understand the nuances of each. Along the san francisco peninsula and in silicon valley, though, often we use another form, the peninsula regional data service. Over the last six months, the prds forms committee has. Prds and c.a.r are releasing revisions to their respective purchase contracts. Prds forms are used in the buying and selling of residential real estate. Two of the most widely used standardized purchase contracts are the prds (peninsula regional data service) purchase agreement. What’s new with prds forms? Under the prds contract, if the amended/revised preliminary report raises an issue that cannot be removed or otherwise. Created by realtors® for realtors®, these forms are highly acclaimed,. In this article, i will begin identifying some of the significant.
Best Real Estate near Me
Prds Real Estate The new revised prds real estate purchase contract is available and is quite an improvement over the old contract. Prds and c.a.r are releasing revisions to their respective purchase contracts. Along the san francisco peninsula and in silicon valley, though, often we use another form, the peninsula regional data service. What’s new with prds forms? Prds forms are used in the buying and selling of residential real estate. Created by realtors® for realtors®, these forms are highly acclaimed,. Two of the most widely used standardized purchase contracts are the prds (peninsula regional data service) purchase agreement. Over the last six months, the prds forms committee has. The new revised prds real estate purchase contract is available and is quite an improvement over the old contract. In this article, i will begin identifying some of the significant. Under the prds contract, if the amended/revised preliminary report raises an issue that cannot be removed or otherwise. It is vital to work closely with and communicate with your real estate agent and attorney to understand the nuances of each.
From www.msn.com
How to find a good real estate agent A buyers’ guide Prds Real Estate Created by realtors® for realtors®, these forms are highly acclaimed,. Prds and c.a.r are releasing revisions to their respective purchase contracts. Under the prds contract, if the amended/revised preliminary report raises an issue that cannot be removed or otherwise. In this article, i will begin identifying some of the significant. The new revised prds real estate purchase contract is available. Prds Real Estate.
From www.oman70holding.om
Real Estate Prds Real Estate Over the last six months, the prds forms committee has. Created by realtors® for realtors®, these forms are highly acclaimed,. Under the prds contract, if the amended/revised preliminary report raises an issue that cannot be removed or otherwise. What’s new with prds forms? In this article, i will begin identifying some of the significant. Prds and c.a.r are releasing revisions. Prds Real Estate.
From www.thepinnaclelist.com
Investment Real Estate Tips to Help You Buy Commercial Property For Prds Real Estate Prds and c.a.r are releasing revisions to their respective purchase contracts. Under the prds contract, if the amended/revised preliminary report raises an issue that cannot be removed or otherwise. Along the san francisco peninsula and in silicon valley, though, often we use another form, the peninsula regional data service. Prds forms are used in the buying and selling of residential. Prds Real Estate.
From www.thebrasilgroup.com
How Do Real Estate Commissions Work? Prds Real Estate Created by realtors® for realtors®, these forms are highly acclaimed,. Over the last six months, the prds forms committee has. In this article, i will begin identifying some of the significant. Prds forms are used in the buying and selling of residential real estate. What’s new with prds forms? Two of the most widely used standardized purchase contracts are the. Prds Real Estate.
From oneworld.id
Real estate department of One World Migration Prds Real Estate Over the last six months, the prds forms committee has. It is vital to work closely with and communicate with your real estate agent and attorney to understand the nuances of each. Prds and c.a.r are releasing revisions to their respective purchase contracts. Under the prds contract, if the amended/revised preliminary report raises an issue that cannot be removed or. Prds Real Estate.
From www.metawealth.co
How to Invest in Real Estate with No Money Prds Real Estate What’s new with prds forms? Under the prds contract, if the amended/revised preliminary report raises an issue that cannot be removed or otherwise. Prds forms are used in the buying and selling of residential real estate. Prds and c.a.r are releasing revisions to their respective purchase contracts. It is vital to work closely with and communicate with your real estate. Prds Real Estate.
From www.shorepineproperties.com
REASONS FOR OWNING REAL ESTATE Shorepine Properties Prds Real Estate Along the san francisco peninsula and in silicon valley, though, often we use another form, the peninsula regional data service. Created by realtors® for realtors®, these forms are highly acclaimed,. Prds forms are used in the buying and selling of residential real estate. Under the prds contract, if the amended/revised preliminary report raises an issue that cannot be removed or. Prds Real Estate.
From hjrealestates.com
Best Real Estate company in dubai HJ Real Estates Prds Real Estate Along the san francisco peninsula and in silicon valley, though, often we use another form, the peninsula regional data service. The new revised prds real estate purchase contract is available and is quite an improvement over the old contract. Over the last six months, the prds forms committee has. In this article, i will begin identifying some of the significant.. Prds Real Estate.
From www.wagnersidlofsky.com
Professional Liability For Real Estate Agents Prds Real Estate Two of the most widely used standardized purchase contracts are the prds (peninsula regional data service) purchase agreement. Prds and c.a.r are releasing revisions to their respective purchase contracts. What’s new with prds forms? Under the prds contract, if the amended/revised preliminary report raises an issue that cannot be removed or otherwise. Created by realtors® for realtors®, these forms are. Prds Real Estate.
From www.zaatu.com
Kingdom Home Real Estate Prds Real Estate Under the prds contract, if the amended/revised preliminary report raises an issue that cannot be removed or otherwise. It is vital to work closely with and communicate with your real estate agent and attorney to understand the nuances of each. Along the san francisco peninsula and in silicon valley, though, often we use another form, the peninsula regional data service.. Prds Real Estate.
From www.facebook.com
BJ Cotten, Realtor Home Facebook Prds Real Estate Prds and c.a.r are releasing revisions to their respective purchase contracts. Prds forms are used in the buying and selling of residential real estate. Over the last six months, the prds forms committee has. What’s new with prds forms? Created by realtors® for realtors®, these forms are highly acclaimed,. The new revised prds real estate purchase contract is available and. Prds Real Estate.
From www.ranklogos.com
Real Estates Logos Prds Real Estate Prds forms are used in the buying and selling of residential real estate. Two of the most widely used standardized purchase contracts are the prds (peninsula regional data service) purchase agreement. Prds and c.a.r are releasing revisions to their respective purchase contracts. Under the prds contract, if the amended/revised preliminary report raises an issue that cannot be removed or otherwise.. Prds Real Estate.
From www.youtube.com
PRDS Forms Real Estate Purchase Contract with Ad Medium YouTube Prds Real Estate Prds and c.a.r are releasing revisions to their respective purchase contracts. Along the san francisco peninsula and in silicon valley, though, often we use another form, the peninsula regional data service. It is vital to work closely with and communicate with your real estate agent and attorney to understand the nuances of each. Over the last six months, the prds. Prds Real Estate.
From pix4free.org
Free of Charge Creative Commons real estate Image Real Estate 6 Prds Real Estate Over the last six months, the prds forms committee has. Prds forms are used in the buying and selling of residential real estate. It is vital to work closely with and communicate with your real estate agent and attorney to understand the nuances of each. In this article, i will begin identifying some of the significant. Along the san francisco. Prds Real Estate.
From www.blogoftom.com
297+ Real Estate Names Make Your Business Stand Out (2024) Prds Real Estate Prds and c.a.r are releasing revisions to their respective purchase contracts. It is vital to work closely with and communicate with your real estate agent and attorney to understand the nuances of each. Created by realtors® for realtors®, these forms are highly acclaimed,. The new revised prds real estate purchase contract is available and is quite an improvement over the. Prds Real Estate.
From www.dochub.com
Prds real estate purchase contract wikiDownload Fill out & sign Prds Real Estate Two of the most widely used standardized purchase contracts are the prds (peninsula regional data service) purchase agreement. What’s new with prds forms? Created by realtors® for realtors®, these forms are highly acclaimed,. Along the san francisco peninsula and in silicon valley, though, often we use another form, the peninsula regional data service. It is vital to work closely with. Prds Real Estate.
From www.royalestatesrealty.com
Buy a Home Royal Estates Realty Prds Real Estate Over the last six months, the prds forms committee has. Prds and c.a.r are releasing revisions to their respective purchase contracts. The new revised prds real estate purchase contract is available and is quite an improvement over the old contract. Under the prds contract, if the amended/revised preliminary report raises an issue that cannot be removed or otherwise. In this. Prds Real Estate.
From graphicsfamily.com
Luxury Real Estate Logo Design GraphicsFamily Prds Real Estate What’s new with prds forms? The new revised prds real estate purchase contract is available and is quite an improvement over the old contract. It is vital to work closely with and communicate with your real estate agent and attorney to understand the nuances of each. Along the san francisco peninsula and in silicon valley, though, often we use another. Prds Real Estate.
From scripbox.com
How to Invest in Real Estate India 7 Different Ways Prds Real Estate The new revised prds real estate purchase contract is available and is quite an improvement over the old contract. What’s new with prds forms? It is vital to work closely with and communicate with your real estate agent and attorney to understand the nuances of each. Created by realtors® for realtors®, these forms are highly acclaimed,. Prds and c.a.r are. Prds Real Estate.
From www.haikudeck.com
PRDs by gong.chen.ccstudio Prds Real Estate It is vital to work closely with and communicate with your real estate agent and attorney to understand the nuances of each. Prds and c.a.r are releasing revisions to their respective purchase contracts. Over the last six months, the prds forms committee has. Two of the most widely used standardized purchase contracts are the prds (peninsula regional data service) purchase. Prds Real Estate.
From www.hauzisha.co.ke
Real Estate Investment Advantages and Disadvantages Hauzisha Prds Real Estate Under the prds contract, if the amended/revised preliminary report raises an issue that cannot be removed or otherwise. Over the last six months, the prds forms committee has. Prds forms are used in the buying and selling of residential real estate. Created by realtors® for realtors®, these forms are highly acclaimed,. Prds and c.a.r are releasing revisions to their respective. Prds Real Estate.
From a-better-place.com
Signature Real Estate Group Northwest Las Vegas Prds Real Estate Prds forms are used in the buying and selling of residential real estate. Over the last six months, the prds forms committee has. The new revised prds real estate purchase contract is available and is quite an improvement over the old contract. It is vital to work closely with and communicate with your real estate agent and attorney to understand. Prds Real Estate.
From www.marketcircle.com
+21 Expert Tips On How To Get Clients In Real Estate (2022 Prds Real Estate Two of the most widely used standardized purchase contracts are the prds (peninsula regional data service) purchase agreement. It is vital to work closely with and communicate with your real estate agent and attorney to understand the nuances of each. What’s new with prds forms? Prds forms are used in the buying and selling of residential real estate. Along the. Prds Real Estate.
From www.qazzoo.com
3 Tips for Choosing The Right Real Estate Agent for Your Home Search Prds Real Estate What’s new with prds forms? It is vital to work closely with and communicate with your real estate agent and attorney to understand the nuances of each. Two of the most widely used standardized purchase contracts are the prds (peninsula regional data service) purchase agreement. Along the san francisco peninsula and in silicon valley, though, often we use another form,. Prds Real Estate.
From www.bulcapital.com
Real Estates Bulcapital Prds Real Estate The new revised prds real estate purchase contract is available and is quite an improvement over the old contract. Over the last six months, the prds forms committee has. What’s new with prds forms? It is vital to work closely with and communicate with your real estate agent and attorney to understand the nuances of each. Under the prds contract,. Prds Real Estate.
From www.fintoo.in
A Beginners Guide To Fractional Real Estate Investing Fintoo Blog Prds Real Estate It is vital to work closely with and communicate with your real estate agent and attorney to understand the nuances of each. The new revised prds real estate purchase contract is available and is quite an improvement over the old contract. What’s new with prds forms? Under the prds contract, if the amended/revised preliminary report raises an issue that cannot. Prds Real Estate.
From www.einujackie.com
New Options in Lending Support Surge in Real Estate Investment Prds Real Estate Two of the most widely used standardized purchase contracts are the prds (peninsula regional data service) purchase agreement. It is vital to work closely with and communicate with your real estate agent and attorney to understand the nuances of each. Created by realtors® for realtors®, these forms are highly acclaimed,. Prds and c.a.r are releasing revisions to their respective purchase. Prds Real Estate.
From syndicationpro.com
6 Benefits of Investing in Real Estate Syndication Over Private Real Prds Real Estate Two of the most widely used standardized purchase contracts are the prds (peninsula regional data service) purchase agreement. Prds forms are used in the buying and selling of residential real estate. Along the san francisco peninsula and in silicon valley, though, often we use another form, the peninsula regional data service. Under the prds contract, if the amended/revised preliminary report. Prds Real Estate.
From medicalofficeproperty.com
What are The Different Types Of Real Estate Medical Office Property Prds Real Estate Along the san francisco peninsula and in silicon valley, though, often we use another form, the peninsula regional data service. Over the last six months, the prds forms committee has. It is vital to work closely with and communicate with your real estate agent and attorney to understand the nuances of each. Prds and c.a.r are releasing revisions to their. Prds Real Estate.
From www.landrepublic.co
How Real Estate Works Real Estate in Nigeria Prds Real Estate What’s new with prds forms? Two of the most widely used standardized purchase contracts are the prds (peninsula regional data service) purchase agreement. In this article, i will begin identifying some of the significant. Created by realtors® for realtors®, these forms are highly acclaimed,. The new revised prds real estate purchase contract is available and is quite an improvement over. Prds Real Estate.
From naplesviberealty.com
Best Real Estate near Me Prds Real Estate Prds and c.a.r are releasing revisions to their respective purchase contracts. It is vital to work closely with and communicate with your real estate agent and attorney to understand the nuances of each. Two of the most widely used standardized purchase contracts are the prds (peninsula regional data service) purchase agreement. Created by realtors® for realtors®, these forms are highly. Prds Real Estate.
From www.dreamstime.com
Types of Real Estate Investments Stock Image Image of limited Prds Real Estate Prds forms are used in the buying and selling of residential real estate. Prds and c.a.r are releasing revisions to their respective purchase contracts. Under the prds contract, if the amended/revised preliminary report raises an issue that cannot be removed or otherwise. In this article, i will begin identifying some of the significant. Two of the most widely used standardized. Prds Real Estate.
From www.youtube.com
Freehold Estates Real Estate Exam Prep Concepts YouTube Prds Real Estate What’s new with prds forms? The new revised prds real estate purchase contract is available and is quite an improvement over the old contract. Prds forms are used in the buying and selling of residential real estate. Two of the most widely used standardized purchase contracts are the prds (peninsula regional data service) purchase agreement. Over the last six months,. Prds Real Estate.
From www.camella.com.ph
Philippine Real Estate Index How Property Values Increased Over Time Prds Real Estate Under the prds contract, if the amended/revised preliminary report raises an issue that cannot be removed or otherwise. In this article, i will begin identifying some of the significant. The new revised prds real estate purchase contract is available and is quite an improvement over the old contract. It is vital to work closely with and communicate with your real. Prds Real Estate.
From graphicsfamily.com
Luxury Real Estate Logo Design GraphicsFamily Prds Real Estate Two of the most widely used standardized purchase contracts are the prds (peninsula regional data service) purchase agreement. Over the last six months, the prds forms committee has. It is vital to work closely with and communicate with your real estate agent and attorney to understand the nuances of each. Along the san francisco peninsula and in silicon valley, though,. Prds Real Estate.