Does Kennesaw State Require Essay . Check out the admission requirements and application deadlines for all incoming. your adventure is just beginning at kennesaw state. all international students requesting admission to kennesaw state university must submit the following. ready to apply to kennesaw state? Discover why ksu is one of the best values in public education. admission to kennesaw state university is based on a number of factors depending upon your admission type of entry and previous educational. The essay demonstrates your ability to write clearly and concisely on a selected topic and helps you distinguish yourself in. applicant credentials must indicate a reasonable chance of successful completion of academic work at. applying to kennesaw state university is your first step toward becoming a part of owl nation and we’re happy you’ve selected ksu.
from www.eastvillagetimes.com
ready to apply to kennesaw state? applicant credentials must indicate a reasonable chance of successful completion of academic work at. admission to kennesaw state university is based on a number of factors depending upon your admission type of entry and previous educational. Check out the admission requirements and application deadlines for all incoming. Discover why ksu is one of the best values in public education. applying to kennesaw state university is your first step toward becoming a part of owl nation and we’re happy you’ve selected ksu. all international students requesting admission to kennesaw state university must submit the following. The essay demonstrates your ability to write clearly and concisely on a selected topic and helps you distinguish yourself in. your adventure is just beginning at kennesaw state.
Photo Essay San Diego State vs Kennesaw State
Does Kennesaw State Require Essay all international students requesting admission to kennesaw state university must submit the following. your adventure is just beginning at kennesaw state. applicant credentials must indicate a reasonable chance of successful completion of academic work at. applying to kennesaw state university is your first step toward becoming a part of owl nation and we’re happy you’ve selected ksu. Check out the admission requirements and application deadlines for all incoming. admission to kennesaw state university is based on a number of factors depending upon your admission type of entry and previous educational. ready to apply to kennesaw state? Discover why ksu is one of the best values in public education. all international students requesting admission to kennesaw state university must submit the following. The essay demonstrates your ability to write clearly and concisely on a selected topic and helps you distinguish yourself in.
From styleguide.kennesaw.edu
Downloads Visual Identity Program Does Kennesaw State Require Essay all international students requesting admission to kennesaw state university must submit the following. applying to kennesaw state university is your first step toward becoming a part of owl nation and we’re happy you’ve selected ksu. admission to kennesaw state university is based on a number of factors depending upon your admission type of entry and previous educational.. Does Kennesaw State Require Essay.
From www.eastvillagetimes.com
Photo Essay San Diego State vs Kennesaw State Does Kennesaw State Require Essay applying to kennesaw state university is your first step toward becoming a part of owl nation and we’re happy you’ve selected ksu. ready to apply to kennesaw state? admission to kennesaw state university is based on a number of factors depending upon your admission type of entry and previous educational. applicant credentials must indicate a reasonable. Does Kennesaw State Require Essay.
From studylib.net
KENNESAW STATE UNIVERSITY GRADUATE PROGRAM/CONCENTRATION PROPOSAL Does Kennesaw State Require Essay applying to kennesaw state university is your first step toward becoming a part of owl nation and we’re happy you’ve selected ksu. Check out the admission requirements and application deadlines for all incoming. The essay demonstrates your ability to write clearly and concisely on a selected topic and helps you distinguish yourself in. your adventure is just beginning. Does Kennesaw State Require Essay.
From smapse.com
Kennesaw State University (Atlanta, GA, USA) Does Kennesaw State Require Essay Discover why ksu is one of the best values in public education. Check out the admission requirements and application deadlines for all incoming. admission to kennesaw state university is based on a number of factors depending upon your admission type of entry and previous educational. ready to apply to kennesaw state? The essay demonstrates your ability to write. Does Kennesaw State Require Essay.
From studylib.net
KENNESAW STATE UNIVERSITY GRADUATE PROGRAM/CONCENTRATION PROPOSAL Does Kennesaw State Require Essay Discover why ksu is one of the best values in public education. admission to kennesaw state university is based on a number of factors depending upon your admission type of entry and previous educational. applying to kennesaw state university is your first step toward becoming a part of owl nation and we’re happy you’ve selected ksu. applicant. Does Kennesaw State Require Essay.
From www.pdffiller.com
s Kennesaw State University Graduate College research kennesaw Doc Does Kennesaw State Require Essay applicant credentials must indicate a reasonable chance of successful completion of academic work at. your adventure is just beginning at kennesaw state. Discover why ksu is one of the best values in public education. ready to apply to kennesaw state? all international students requesting admission to kennesaw state university must submit the following. applying to. Does Kennesaw State Require Essay.
From studylib.net
SW 8702 Kennesaw State University Does Kennesaw State Require Essay The essay demonstrates your ability to write clearly and concisely on a selected topic and helps you distinguish yourself in. applicant credentials must indicate a reasonable chance of successful completion of academic work at. admission to kennesaw state university is based on a number of factors depending upon your admission type of entry and previous educational. ready. Does Kennesaw State Require Essay.
From sizemoregroup.com
Kennesaw State University L.V. Johnson Library Sizemore Group Does Kennesaw State Require Essay applicant credentials must indicate a reasonable chance of successful completion of academic work at. Check out the admission requirements and application deadlines for all incoming. admission to kennesaw state university is based on a number of factors depending upon your admission type of entry and previous educational. applying to kennesaw state university is your first step toward. Does Kennesaw State Require Essay.
From studylib.net
KENNESAW STATE UNIVERSITY GRADUATE COURSE PROPOSAL OR REVISION, Cover Sheet Does Kennesaw State Require Essay all international students requesting admission to kennesaw state university must submit the following. your adventure is just beginning at kennesaw state. admission to kennesaw state university is based on a number of factors depending upon your admission type of entry and previous educational. applying to kennesaw state university is your first step toward becoming a part. Does Kennesaw State Require Essay.
From www.bizjournals.com
Undergraduate research at Kennesaw State provides students with a Does Kennesaw State Require Essay Discover why ksu is one of the best values in public education. ready to apply to kennesaw state? The essay demonstrates your ability to write clearly and concisely on a selected topic and helps you distinguish yourself in. your adventure is just beginning at kennesaw state. applying to kennesaw state university is your first step toward becoming. Does Kennesaw State Require Essay.
From www.eastvillagetimes.com
Photo Essay San Diego State vs Kennesaw State Does Kennesaw State Require Essay applying to kennesaw state university is your first step toward becoming a part of owl nation and we’re happy you’ve selected ksu. all international students requesting admission to kennesaw state university must submit the following. your adventure is just beginning at kennesaw state. The essay demonstrates your ability to write clearly and concisely on a selected topic. Does Kennesaw State Require Essay.
From www.kennesaw.edu
About Kennesaw State University Kennesaw State University Does Kennesaw State Require Essay all international students requesting admission to kennesaw state university must submit the following. your adventure is just beginning at kennesaw state. applicant credentials must indicate a reasonable chance of successful completion of academic work at. applying to kennesaw state university is your first step toward becoming a part of owl nation and we’re happy you’ve selected. Does Kennesaw State Require Essay.
From studylib.net
Observation Summary Form Kennesaw State University Does Kennesaw State Require Essay The essay demonstrates your ability to write clearly and concisely on a selected topic and helps you distinguish yourself in. Discover why ksu is one of the best values in public education. Check out the admission requirements and application deadlines for all incoming. admission to kennesaw state university is based on a number of factors depending upon your admission. Does Kennesaw State Require Essay.
From www.kennesaw.edu
Kennesaw State faculty research among most influential in leading Does Kennesaw State Require Essay admission to kennesaw state university is based on a number of factors depending upon your admission type of entry and previous educational. Discover why ksu is one of the best values in public education. The essay demonstrates your ability to write clearly and concisely on a selected topic and helps you distinguish yourself in. all international students requesting. Does Kennesaw State Require Essay.
From studylib.net
KENNESAW STATE UNIVERSITY UNDERGRADUATE PROPOSAL Change in Degree Does Kennesaw State Require Essay The essay demonstrates your ability to write clearly and concisely on a selected topic and helps you distinguish yourself in. all international students requesting admission to kennesaw state university must submit the following. ready to apply to kennesaw state? Check out the admission requirements and application deadlines for all incoming. Discover why ksu is one of the best. Does Kennesaw State Require Essay.
From studylib.net
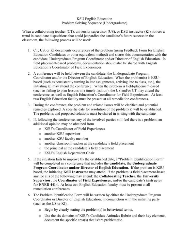
Problem Solving Sequence Kennesaw State University Does Kennesaw State Require Essay applying to kennesaw state university is your first step toward becoming a part of owl nation and we’re happy you’ve selected ksu. ready to apply to kennesaw state? admission to kennesaw state university is based on a number of factors depending upon your admission type of entry and previous educational. applicant credentials must indicate a reasonable. Does Kennesaw State Require Essay.
From studylib.net
KENNESAW STATE UNIVERSITY GRADUATE COURSE/CONCENTRATION/PROGRAM PROPOSAL Does Kennesaw State Require Essay all international students requesting admission to kennesaw state university must submit the following. Check out the admission requirements and application deadlines for all incoming. applying to kennesaw state university is your first step toward becoming a part of owl nation and we’re happy you’ve selected ksu. The essay demonstrates your ability to write clearly and concisely on a. Does Kennesaw State Require Essay.
From studylib.net
KENNESAW STATE UNIVERSITY BAGWELL COLLEGE OF EDUCATION Does Kennesaw State Require Essay admission to kennesaw state university is based on a number of factors depending upon your admission type of entry and previous educational. Check out the admission requirements and application deadlines for all incoming. all international students requesting admission to kennesaw state university must submit the following. The essay demonstrates your ability to write clearly and concisely on a. Does Kennesaw State Require Essay.
From studylib.net
Narrative Statement Kennesaw State University First Does Kennesaw State Require Essay Check out the admission requirements and application deadlines for all incoming. ready to apply to kennesaw state? all international students requesting admission to kennesaw state university must submit the following. your adventure is just beginning at kennesaw state. applying to kennesaw state university is your first step toward becoming a part of owl nation and we’re. Does Kennesaw State Require Essay.
From www.facebook.com
Kennesaw State University (KSU) Housing Sublet Roommates Kennesaw, Does Kennesaw State Require Essay The essay demonstrates your ability to write clearly and concisely on a selected topic and helps you distinguish yourself in. Check out the admission requirements and application deadlines for all incoming. all international students requesting admission to kennesaw state university must submit the following. ready to apply to kennesaw state? Discover why ksu is one of the best. Does Kennesaw State Require Essay.
From studylib.net
Kennesaw State University University College Graduate Division of First Does Kennesaw State Require Essay all international students requesting admission to kennesaw state university must submit the following. ready to apply to kennesaw state? your adventure is just beginning at kennesaw state. Discover why ksu is one of the best values in public education. applying to kennesaw state university is your first step toward becoming a part of owl nation and. Does Kennesaw State Require Essay.
From studylib.net
KENNESAW STATE UNIVERSITY GRADUATE PROGRAM/CONCENTRATION PROPOSAL FORM Does Kennesaw State Require Essay your adventure is just beginning at kennesaw state. applicant credentials must indicate a reasonable chance of successful completion of academic work at. The essay demonstrates your ability to write clearly and concisely on a selected topic and helps you distinguish yourself in. Check out the admission requirements and application deadlines for all incoming. applying to kennesaw state. Does Kennesaw State Require Essay.
From ksuowls.com
Kennesaw State Athletics Annual Report Kennesaw State University Does Kennesaw State Require Essay Check out the admission requirements and application deadlines for all incoming. The essay demonstrates your ability to write clearly and concisely on a selected topic and helps you distinguish yourself in. applicant credentials must indicate a reasonable chance of successful completion of academic work at. Discover why ksu is one of the best values in public education. applying. Does Kennesaw State Require Essay.
From www.collegevine.com
Kennesaw State University KSU’s 202324 Essay Prompts CollegeVine Does Kennesaw State Require Essay ready to apply to kennesaw state? your adventure is just beginning at kennesaw state. The essay demonstrates your ability to write clearly and concisely on a selected topic and helps you distinguish yourself in. applying to kennesaw state university is your first step toward becoming a part of owl nation and we’re happy you’ve selected ksu. . Does Kennesaw State Require Essay.
From www.studocu.com
Kennesaw State Pine Lab Final Draft Kennesaw State Pine Lab Does Kennesaw State Require Essay all international students requesting admission to kennesaw state university must submit the following. The essay demonstrates your ability to write clearly and concisely on a selected topic and helps you distinguish yourself in. admission to kennesaw state university is based on a number of factors depending upon your admission type of entry and previous educational. Check out the. Does Kennesaw State Require Essay.
From unischolars.com
The Kennesaw State University Admission Process 2024 unischolars blog Does Kennesaw State Require Essay applying to kennesaw state university is your first step toward becoming a part of owl nation and we’re happy you’ve selected ksu. your adventure is just beginning at kennesaw state. admission to kennesaw state university is based on a number of factors depending upon your admission type of entry and previous educational. Discover why ksu is one. Does Kennesaw State Require Essay.
From studylib.net
KENNESAW STATE UNIVERSITY UNDERGRADUATE PROPOSAL New Course (Not Does Kennesaw State Require Essay your adventure is just beginning at kennesaw state. applying to kennesaw state university is your first step toward becoming a part of owl nation and we’re happy you’ve selected ksu. Discover why ksu is one of the best values in public education. all international students requesting admission to kennesaw state university must submit the following. admission. Does Kennesaw State Require Essay.
From studylib.net
KENNESAW STATE UNIVERSITY BAGWELL COLLEGE OF EDUCATION Does Kennesaw State Require Essay admission to kennesaw state university is based on a number of factors depending upon your admission type of entry and previous educational. all international students requesting admission to kennesaw state university must submit the following. Discover why ksu is one of the best values in public education. Check out the admission requirements and application deadlines for all incoming.. Does Kennesaw State Require Essay.
From studylib.net
KENNESAW STATE UNIVERSITY GRADUATE PROGRAM/CONCENTRATION PROPOSAL Does Kennesaw State Require Essay applying to kennesaw state university is your first step toward becoming a part of owl nation and we’re happy you’ve selected ksu. your adventure is just beginning at kennesaw state. Check out the admission requirements and application deadlines for all incoming. ready to apply to kennesaw state? Discover why ksu is one of the best values in. Does Kennesaw State Require Essay.
From www.kennesaw.edu
Kennesaw State graduate programs meeting rising demands News Does Kennesaw State Require Essay Check out the admission requirements and application deadlines for all incoming. applicant credentials must indicate a reasonable chance of successful completion of academic work at. admission to kennesaw state university is based on a number of factors depending upon your admission type of entry and previous educational. all international students requesting admission to kennesaw state university must. Does Kennesaw State Require Essay.
From dokumen.tips
(PDF) RHETORICAL* ANALYSIS Kennesaw State …writingcenter.kennesaw.edu Does Kennesaw State Require Essay applicant credentials must indicate a reasonable chance of successful completion of academic work at. ready to apply to kennesaw state? admission to kennesaw state university is based on a number of factors depending upon your admission type of entry and previous educational. all international students requesting admission to kennesaw state university must submit the following. The. Does Kennesaw State Require Essay.
From studylib.net
KENNESAW STATE UNIVERSITY BAGWELL COLLEGE OF EDUCATION Does Kennesaw State Require Essay applicant credentials must indicate a reasonable chance of successful completion of academic work at. admission to kennesaw state university is based on a number of factors depending upon your admission type of entry and previous educational. ready to apply to kennesaw state? all international students requesting admission to kennesaw state university must submit the following. The. Does Kennesaw State Require Essay.
From studylib.net
KENNESAW STATE UNIVERSITY GRADUATE COURSE PROPOSAL OR REVISION, Cover Sheet Does Kennesaw State Require Essay Check out the admission requirements and application deadlines for all incoming. ready to apply to kennesaw state? your adventure is just beginning at kennesaw state. Discover why ksu is one of the best values in public education. applicant credentials must indicate a reasonable chance of successful completion of academic work at. all international students requesting admission. Does Kennesaw State Require Essay.
From studylib.net
KENNESAW STATE UNIVERSITY UNDERGRADUATE PROPOSAL New Course (NOT Does Kennesaw State Require Essay Discover why ksu is one of the best values in public education. ready to apply to kennesaw state? The essay demonstrates your ability to write clearly and concisely on a selected topic and helps you distinguish yourself in. applicant credentials must indicate a reasonable chance of successful completion of academic work at. Check out the admission requirements and. Does Kennesaw State Require Essay.
From studylib.net
University College Kennesaw State University BYLAWS PREAMBLE Does Kennesaw State Require Essay The essay demonstrates your ability to write clearly and concisely on a selected topic and helps you distinguish yourself in. your adventure is just beginning at kennesaw state. Discover why ksu is one of the best values in public education. ready to apply to kennesaw state? Check out the admission requirements and application deadlines for all incoming. . Does Kennesaw State Require Essay.