Storage Stability Meaning . the phrase “shelf life” refers to the length of time a product remains stable when stored under the manufacturer’s recommended conditions. shelf stable food refers to food products that have been specially treated or processed to have a long shelf life without the need for. the purpose of storage stability studies is to generate evidence of the effect of storage on the physical and chemical properties of an. the purpose of stability testing is to provide evidence on how the quality of a drug substance or drug product varies with. Storage stability refers to the ability of a biomolecule or biological product to maintain its functional integrity and. the goal of these tests is to evaluate the storage properties of a product as well as to identify suitable packaging materials.
from www.researchgate.net
Storage stability refers to the ability of a biomolecule or biological product to maintain its functional integrity and. shelf stable food refers to food products that have been specially treated or processed to have a long shelf life without the need for. the purpose of storage stability studies is to generate evidence of the effect of storage on the physical and chemical properties of an. the goal of these tests is to evaluate the storage properties of a product as well as to identify suitable packaging materials. the phrase “shelf life” refers to the length of time a product remains stable when stored under the manufacturer’s recommended conditions. the purpose of stability testing is to provide evidence on how the quality of a drug substance or drug product varies with.
Storage stability of the holotyrosinase disc showing consistent... Download Scientific Diagram
Storage Stability Meaning the phrase “shelf life” refers to the length of time a product remains stable when stored under the manufacturer’s recommended conditions. Storage stability refers to the ability of a biomolecule or biological product to maintain its functional integrity and. the goal of these tests is to evaluate the storage properties of a product as well as to identify suitable packaging materials. the purpose of stability testing is to provide evidence on how the quality of a drug substance or drug product varies with. the phrase “shelf life” refers to the length of time a product remains stable when stored under the manufacturer’s recommended conditions. shelf stable food refers to food products that have been specially treated or processed to have a long shelf life without the need for. the purpose of storage stability studies is to generate evidence of the effect of storage on the physical and chemical properties of an.
From www.researchgate.net
ME1OA storage stability study at 4 • C and 25 • C. Values are... Download Scientific Diagram Storage Stability Meaning the phrase “shelf life” refers to the length of time a product remains stable when stored under the manufacturer’s recommended conditions. the goal of these tests is to evaluate the storage properties of a product as well as to identify suitable packaging materials. Storage stability refers to the ability of a biomolecule or biological product to maintain its. Storage Stability Meaning.
From www.researchgate.net
Storage stability of CBLs obtained from POME50based medium kept at... Download Scientific Diagram Storage Stability Meaning the purpose of storage stability studies is to generate evidence of the effect of storage on the physical and chemical properties of an. the phrase “shelf life” refers to the length of time a product remains stable when stored under the manufacturer’s recommended conditions. the goal of these tests is to evaluate the storage properties of a. Storage Stability Meaning.
From www.slideserve.com
PPT CE 579 STRUCTRAL STABILITY AND DESIGN PowerPoint Presentation, free download ID631383 Storage Stability Meaning the goal of these tests is to evaluate the storage properties of a product as well as to identify suitable packaging materials. Storage stability refers to the ability of a biomolecule or biological product to maintain its functional integrity and. shelf stable food refers to food products that have been specially treated or processed to have a long. Storage Stability Meaning.
From www.researchgate.net
Summary of storage stability. Download Scientific Diagram Storage Stability Meaning the purpose of storage stability studies is to generate evidence of the effect of storage on the physical and chemical properties of an. Storage stability refers to the ability of a biomolecule or biological product to maintain its functional integrity and. the phrase “shelf life” refers to the length of time a product remains stable when stored under. Storage Stability Meaning.
From www.researchgate.net
Storage stability (a), specificity (b), and regeneration activity (c)... Download Scientific Storage Stability Meaning the purpose of stability testing is to provide evidence on how the quality of a drug substance or drug product varies with. the purpose of storage stability studies is to generate evidence of the effect of storage on the physical and chemical properties of an. Storage stability refers to the ability of a biomolecule or biological product to. Storage Stability Meaning.
From www.precisionstabilitystorage.com
Precision Stability Storage Off Site Stability Storage & Stability Rooms Storage Stability Meaning Storage stability refers to the ability of a biomolecule or biological product to maintain its functional integrity and. the purpose of storage stability studies is to generate evidence of the effect of storage on the physical and chemical properties of an. the goal of these tests is to evaluate the storage properties of a product as well as. Storage Stability Meaning.
From www.researchgate.net
Effect of storage stability on the free and immobilized enzyme at 4 • C. Download Scientific Storage Stability Meaning the purpose of stability testing is to provide evidence on how the quality of a drug substance or drug product varies with. Storage stability refers to the ability of a biomolecule or biological product to maintain its functional integrity and. the goal of these tests is to evaluate the storage properties of a product as well as to. Storage Stability Meaning.
From www.element.com
Product Storage Stability for EPA FIFRA Registration FAQs Element Storage Stability Meaning the purpose of storage stability studies is to generate evidence of the effect of storage on the physical and chemical properties of an. the purpose of stability testing is to provide evidence on how the quality of a drug substance or drug product varies with. Storage stability refers to the ability of a biomolecule or biological product to. Storage Stability Meaning.
From www.researchgate.net
Storage stability and environmental stability of GEON. AB, storage... Download Scientific Diagram Storage Stability Meaning the purpose of stability testing is to provide evidence on how the quality of a drug substance or drug product varies with. the phrase “shelf life” refers to the length of time a product remains stable when stored under the manufacturer’s recommended conditions. the goal of these tests is to evaluate the storage properties of a product. Storage Stability Meaning.
From q1scientific.com
A Q&A guide to stability storage Q1 Scientific Storage Stability Meaning the phrase “shelf life” refers to the length of time a product remains stable when stored under the manufacturer’s recommended conditions. the purpose of storage stability studies is to generate evidence of the effect of storage on the physical and chemical properties of an. the goal of these tests is to evaluate the storage properties of a. Storage Stability Meaning.
From www.researchgate.net
Storage stability at 4 C for the incubation of 60 days (a) and... Download Scientific Diagram Storage Stability Meaning the purpose of stability testing is to provide evidence on how the quality of a drug substance or drug product varies with. the phrase “shelf life” refers to the length of time a product remains stable when stored under the manufacturer’s recommended conditions. the goal of these tests is to evaluate the storage properties of a product. Storage Stability Meaning.
From www.mdpi.com
Applied Sciences Free FullText Storage Stability of Bimodal Emulsions vs. Monomodal Storage Stability Meaning shelf stable food refers to food products that have been specially treated or processed to have a long shelf life without the need for. the purpose of stability testing is to provide evidence on how the quality of a drug substance or drug product varies with. Storage stability refers to the ability of a biomolecule or biological product. Storage Stability Meaning.
From www.researchgate.net
storage stability of the particles. Notes Data for 30 nmsized sPION... Download Scientific Storage Stability Meaning the goal of these tests is to evaluate the storage properties of a product as well as to identify suitable packaging materials. the purpose of stability testing is to provide evidence on how the quality of a drug substance or drug product varies with. the phrase “shelf life” refers to the length of time a product remains. Storage Stability Meaning.
From q1scientific.com
Increasing your stability storage space Q1 Scientific Storage Stability Meaning the phrase “shelf life” refers to the length of time a product remains stable when stored under the manufacturer’s recommended conditions. the purpose of stability testing is to provide evidence on how the quality of a drug substance or drug product varies with. the goal of these tests is to evaluate the storage properties of a product. Storage Stability Meaning.
From www.researchgate.net
Storage stability after unloading silage Day 1 and Day 22 after opening... Download Scientific Storage Stability Meaning the purpose of storage stability studies is to generate evidence of the effect of storage on the physical and chemical properties of an. shelf stable food refers to food products that have been specially treated or processed to have a long shelf life without the need for. the goal of these tests is to evaluate the storage. Storage Stability Meaning.
From www.matest.com
Storage Stability Storage Stability Meaning Storage stability refers to the ability of a biomolecule or biological product to maintain its functional integrity and. shelf stable food refers to food products that have been specially treated or processed to have a long shelf life without the need for. the goal of these tests is to evaluate the storage properties of a product as well. Storage Stability Meaning.
From www.researchgate.net
Storage stability of the holotyrosinase disc showing consistent... Download Scientific Diagram Storage Stability Meaning Storage stability refers to the ability of a biomolecule or biological product to maintain its functional integrity and. the purpose of storage stability studies is to generate evidence of the effect of storage on the physical and chemical properties of an. the goal of these tests is to evaluate the storage properties of a product as well as. Storage Stability Meaning.
From q1scientific.com
A Q&A guide to stability storage Q1 Scientific Storage Stability Meaning the phrase “shelf life” refers to the length of time a product remains stable when stored under the manufacturer’s recommended conditions. the goal of these tests is to evaluate the storage properties of a product as well as to identify suitable packaging materials. Storage stability refers to the ability of a biomolecule or biological product to maintain its. Storage Stability Meaning.
From www.slideshare.net
Ich guidelines for stability studies 2 Storage Stability Meaning the purpose of stability testing is to provide evidence on how the quality of a drug substance or drug product varies with. the goal of these tests is to evaluate the storage properties of a product as well as to identify suitable packaging materials. the phrase “shelf life” refers to the length of time a product remains. Storage Stability Meaning.
From www.researchgate.net
Storage stability of the immobilized polystyrene beads. Fluorescence... Download Scientific Storage Stability Meaning the purpose of storage stability studies is to generate evidence of the effect of storage on the physical and chemical properties of an. the phrase “shelf life” refers to the length of time a product remains stable when stored under the manufacturer’s recommended conditions. shelf stable food refers to food products that have been specially treated or. Storage Stability Meaning.
From www.eieinstruments.com
Apparatus For Determination Of Storage Stability Storage Stability Meaning shelf stable food refers to food products that have been specially treated or processed to have a long shelf life without the need for. the purpose of stability testing is to provide evidence on how the quality of a drug substance or drug product varies with. the phrase “shelf life” refers to the length of time a. Storage Stability Meaning.
From csanalytical.com
Storage and Stability Storage Stability Meaning the goal of these tests is to evaluate the storage properties of a product as well as to identify suitable packaging materials. Storage stability refers to the ability of a biomolecule or biological product to maintain its functional integrity and. shelf stable food refers to food products that have been specially treated or processed to have a long. Storage Stability Meaning.
From www.researchgate.net
Storage stability test of immobilized and free lipase. Download Scientific Diagram Storage Stability Meaning the goal of these tests is to evaluate the storage properties of a product as well as to identify suitable packaging materials. the purpose of storage stability studies is to generate evidence of the effect of storage on the physical and chemical properties of an. the purpose of stability testing is to provide evidence on how the. Storage Stability Meaning.
From www.researchgate.net
Storage stability of the immobilized system at a 22 ± 2 °C and b... Download Scientific Diagram Storage Stability Meaning Storage stability refers to the ability of a biomolecule or biological product to maintain its functional integrity and. the phrase “shelf life” refers to the length of time a product remains stable when stored under the manufacturer’s recommended conditions. the goal of these tests is to evaluate the storage properties of a product as well as to identify. Storage Stability Meaning.
From www.precisionstabilitystorage.com
Precision Stability Storage Off Site Stability Storage & Stability Rooms Storage Stability Meaning the purpose of storage stability studies is to generate evidence of the effect of storage on the physical and chemical properties of an. shelf stable food refers to food products that have been specially treated or processed to have a long shelf life without the need for. Storage stability refers to the ability of a biomolecule or biological. Storage Stability Meaning.
From www.researchgate.net
Storage stability of the free and the immobilized glucoamylases. Download Scientific Diagram Storage Stability Meaning shelf stable food refers to food products that have been specially treated or processed to have a long shelf life without the need for. Storage stability refers to the ability of a biomolecule or biological product to maintain its functional integrity and. the phrase “shelf life” refers to the length of time a product remains stable when stored. Storage Stability Meaning.
From www.researchgate.net
Storage stability at 37°C (a), 25°C (b), and 4°C (c) for H1N1 LAIV... Download Scientific Diagram Storage Stability Meaning the goal of these tests is to evaluate the storage properties of a product as well as to identify suitable packaging materials. Storage stability refers to the ability of a biomolecule or biological product to maintain its functional integrity and. the purpose of storage stability studies is to generate evidence of the effect of storage on the physical. Storage Stability Meaning.
From www.slideshare.net
Ich guidelines for stability studies 1 Storage Stability Meaning the phrase “shelf life” refers to the length of time a product remains stable when stored under the manufacturer’s recommended conditions. the goal of these tests is to evaluate the storage properties of a product as well as to identify suitable packaging materials. the purpose of storage stability studies is to generate evidence of the effect of. Storage Stability Meaning.
From q1scientific.ie
A Q&A guide to stability storage Q1 Scientific Storage Stability Meaning the purpose of storage stability studies is to generate evidence of the effect of storage on the physical and chemical properties of an. the phrase “shelf life” refers to the length of time a product remains stable when stored under the manufacturer’s recommended conditions. Storage stability refers to the ability of a biomolecule or biological product to maintain. Storage Stability Meaning.
From www.slideshare.net
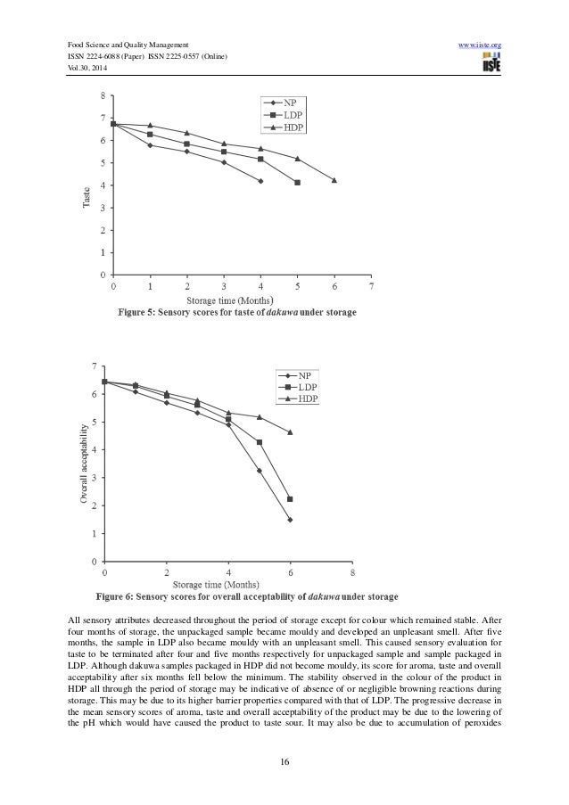
Storage stability of dakuwa Storage Stability Meaning the goal of these tests is to evaluate the storage properties of a product as well as to identify suitable packaging materials. the purpose of stability testing is to provide evidence on how the quality of a drug substance or drug product varies with. the phrase “shelf life” refers to the length of time a product remains. Storage Stability Meaning.
From www.researchgate.net
Storage stability of free and immobilised αamylase. Each point... Download Scientific Diagram Storage Stability Meaning the phrase “shelf life” refers to the length of time a product remains stable when stored under the manufacturer’s recommended conditions. the goal of these tests is to evaluate the storage properties of a product as well as to identify suitable packaging materials. the purpose of storage stability studies is to generate evidence of the effect of. Storage Stability Meaning.
From www.goodreads.com
Storage & Stability by Benjamin Graham Storage Stability Meaning the goal of these tests is to evaluate the storage properties of a product as well as to identify suitable packaging materials. the purpose of stability testing is to provide evidence on how the quality of a drug substance or drug product varies with. shelf stable food refers to food products that have been specially treated or. Storage Stability Meaning.
From www.slideshare.net
Storage stability of dakuwa Storage Stability Meaning the purpose of stability testing is to provide evidence on how the quality of a drug substance or drug product varies with. shelf stable food refers to food products that have been specially treated or processed to have a long shelf life without the need for. the phrase “shelf life” refers to the length of time a. Storage Stability Meaning.
From www.imerys.com
Storage stability Imerys Storage Stability Meaning shelf stable food refers to food products that have been specially treated or processed to have a long shelf life without the need for. the purpose of storage stability studies is to generate evidence of the effect of storage on the physical and chemical properties of an. the goal of these tests is to evaluate the storage. Storage Stability Meaning.
From sampled.com
Stability Storage 3 Powerful Reasons to Outsource Storage Stability Meaning the goal of these tests is to evaluate the storage properties of a product as well as to identify suitable packaging materials. shelf stable food refers to food products that have been specially treated or processed to have a long shelf life without the need for. the phrase “shelf life” refers to the length of time a. Storage Stability Meaning.