What Is The Runge Kutta Method . The simplest of all methods of this general form is euler’s method. a method of numerically integrating ordinary differential equations by using a trial step at the midpoint of an. To set up the notation to be used below,.
from www.youtube.com
The simplest of all methods of this general form is euler’s method. a method of numerically integrating ordinary differential equations by using a trial step at the midpoint of an. To set up the notation to be used below,.
Runge kutta method in englishRunge kutta method 4th orderRunge kutta
What Is The Runge Kutta Method a method of numerically integrating ordinary differential equations by using a trial step at the midpoint of an. To set up the notation to be used below,. a method of numerically integrating ordinary differential equations by using a trial step at the midpoint of an. The simplest of all methods of this general form is euler’s method.
From coremymages.blogspot.com
Runge Kutta Method 4th Order Formula Coremymages What Is The Runge Kutta Method a method of numerically integrating ordinary differential equations by using a trial step at the midpoint of an. The simplest of all methods of this general form is euler’s method. To set up the notation to be used below,. What Is The Runge Kutta Method.
From www.chegg.com
Solved Using the fourth order RungeKutta method (RK4) to What Is The Runge Kutta Method The simplest of all methods of this general form is euler’s method. To set up the notation to be used below,. a method of numerically integrating ordinary differential equations by using a trial step at the midpoint of an. What Is The Runge Kutta Method.
From www.slideserve.com
PPT Ch 8.3 The RungeKutta Method PowerPoint Presentation, free What Is The Runge Kutta Method a method of numerically integrating ordinary differential equations by using a trial step at the midpoint of an. The simplest of all methods of this general form is euler’s method. To set up the notation to be used below,. What Is The Runge Kutta Method.
From www.slideserve.com
PPT Runge 4 th Order Method PowerPoint Presentation, free download What Is The Runge Kutta Method To set up the notation to be used below,. The simplest of all methods of this general form is euler’s method. a method of numerically integrating ordinary differential equations by using a trial step at the midpoint of an. What Is The Runge Kutta Method.
From testbook.com
Runge Kutta Method Learn Definition & Fourth Order RK Method What Is The Runge Kutta Method The simplest of all methods of this general form is euler’s method. a method of numerically integrating ordinary differential equations by using a trial step at the midpoint of an. To set up the notation to be used below,. What Is The Runge Kutta Method.
From folasopa126.weebly.com
Fortran Program For Runge Kutta Method folasopa What Is The Runge Kutta Method a method of numerically integrating ordinary differential equations by using a trial step at the midpoint of an. The simplest of all methods of this general form is euler’s method. To set up the notation to be used below,. What Is The Runge Kutta Method.
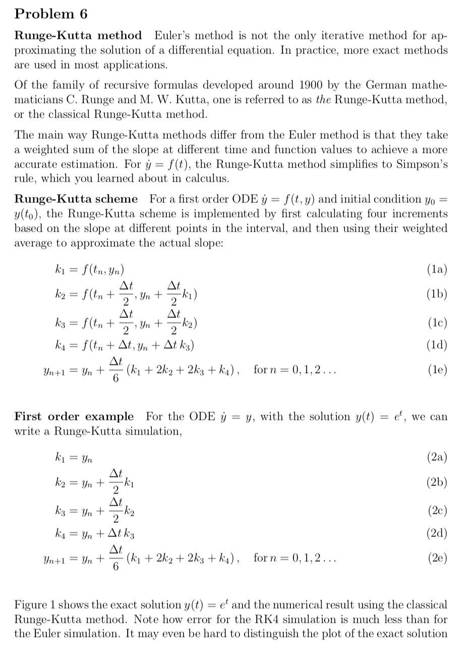
From www.chegg.com
Problem 6 RungeKutta method Euler's method is not What Is The Runge Kutta Method The simplest of all methods of this general form is euler’s method. a method of numerically integrating ordinary differential equations by using a trial step at the midpoint of an. To set up the notation to be used below,. What Is The Runge Kutta Method.
From www.youtube.com
4thOrder Runge Kutta Method for ODEs YouTube What Is The Runge Kutta Method The simplest of all methods of this general form is euler’s method. a method of numerically integrating ordinary differential equations by using a trial step at the midpoint of an. To set up the notation to be used below,. What Is The Runge Kutta Method.
From www.studypool.com
SOLUTION Runge Kutta 2nd Order Method Notes Studypool What Is The Runge Kutta Method a method of numerically integrating ordinary differential equations by using a trial step at the midpoint of an. To set up the notation to be used below,. The simplest of all methods of this general form is euler’s method. What Is The Runge Kutta Method.
From www.yumpu.com
6.2 Runge Kutta Methods (RKM) (A) 2nd Order RKM (or Improved What Is The Runge Kutta Method To set up the notation to be used below,. a method of numerically integrating ordinary differential equations by using a trial step at the midpoint of an. The simplest of all methods of this general form is euler’s method. What Is The Runge Kutta Method.
From www.slideserve.com
PPT Ch 8.3 The RungeKutta Method PowerPoint Presentation, free What Is The Runge Kutta Method The simplest of all methods of this general form is euler’s method. To set up the notation to be used below,. a method of numerically integrating ordinary differential equations by using a trial step at the midpoint of an. What Is The Runge Kutta Method.
From www.researchgate.net
RungeKutta method solution flowchart. BWBN BoucWenBaberNoori What Is The Runge Kutta Method To set up the notation to be used below,. The simplest of all methods of this general form is euler’s method. a method of numerically integrating ordinary differential equations by using a trial step at the midpoint of an. What Is The Runge Kutta Method.
From waldermarkur.blogspot.com
Runge Kutta 4Th Order MATLAB Numerical Methods How to use the Runge What Is The Runge Kutta Method a method of numerically integrating ordinary differential equations by using a trial step at the midpoint of an. To set up the notation to be used below,. The simplest of all methods of this general form is euler’s method. What Is The Runge Kutta Method.
From www.chegg.com
Solved A fifthorder RungeKutta method is given by Writ... What Is The Runge Kutta Method a method of numerically integrating ordinary differential equations by using a trial step at the midpoint of an. The simplest of all methods of this general form is euler’s method. To set up the notation to be used below,. What Is The Runge Kutta Method.
From math.stackexchange.com
ordinary differential equations RungeKutta method using Taylor What Is The Runge Kutta Method To set up the notation to be used below,. The simplest of all methods of this general form is euler’s method. a method of numerically integrating ordinary differential equations by using a trial step at the midpoint of an. What Is The Runge Kutta Method.
From gioxfjpaw.blob.core.windows.net
Runge Kutta Method Example at Helen Hicks blog What Is The Runge Kutta Method The simplest of all methods of this general form is euler’s method. a method of numerically integrating ordinary differential equations by using a trial step at the midpoint of an. To set up the notation to be used below,. What Is The Runge Kutta Method.
From www.chegg.com
Solved In this problem we use the RungeKutta method to What Is The Runge Kutta Method To set up the notation to be used below,. The simplest of all methods of this general form is euler’s method. a method of numerically integrating ordinary differential equations by using a trial step at the midpoint of an. What Is The Runge Kutta Method.
From www.youtube.com
Runge kutta method in englishRunge kutta method 4th orderRunge kutta What Is The Runge Kutta Method The simplest of all methods of this general form is euler’s method. a method of numerically integrating ordinary differential equations by using a trial step at the midpoint of an. To set up the notation to be used below,. What Is The Runge Kutta Method.
From www.slideserve.com
PPT Ch 8.3 The RungeKutta Method PowerPoint Presentation, free What Is The Runge Kutta Method The simplest of all methods of this general form is euler’s method. To set up the notation to be used below,. a method of numerically integrating ordinary differential equations by using a trial step at the midpoint of an. What Is The Runge Kutta Method.
From www.youtube.com
4th order RungeKutta method with Matlab Demo YouTube What Is The Runge Kutta Method The simplest of all methods of this general form is euler’s method. To set up the notation to be used below,. a method of numerically integrating ordinary differential equations by using a trial step at the midpoint of an. What Is The Runge Kutta Method.
From www.youtube.com
rungekutta method matlab code YouTube What Is The Runge Kutta Method To set up the notation to be used below,. The simplest of all methods of this general form is euler’s method. a method of numerically integrating ordinary differential equations by using a trial step at the midpoint of an. What Is The Runge Kutta Method.
From www.youtube.com
RungeKutta Method of 4th order Numerical solution of ODE Part 20 What Is The Runge Kutta Method To set up the notation to be used below,. The simplest of all methods of this general form is euler’s method. a method of numerically integrating ordinary differential equations by using a trial step at the midpoint of an. What Is The Runge Kutta Method.
From www.youtube.com
SNM MA3251 Unit 5 Fourth order Runge Kutta Method Using What Is The Runge Kutta Method The simplest of all methods of this general form is euler’s method. a method of numerically integrating ordinary differential equations by using a trial step at the midpoint of an. To set up the notation to be used below,. What Is The Runge Kutta Method.
From www.youtube.com
Numerical Methods 0703 H) Fourth Order Explicit RungeKutta Method What Is The Runge Kutta Method The simplest of all methods of this general form is euler’s method. a method of numerically integrating ordinary differential equations by using a trial step at the midpoint of an. To set up the notation to be used below,. What Is The Runge Kutta Method.
From www.youtube.com
The Example of RungeKutta Method YouTube What Is The Runge Kutta Method a method of numerically integrating ordinary differential equations by using a trial step at the midpoint of an. The simplest of all methods of this general form is euler’s method. To set up the notation to be used below,. What Is The Runge Kutta Method.
From www.slideserve.com
PPT Ch 8.3 The RungeKutta Method PowerPoint Presentation, free What Is The Runge Kutta Method To set up the notation to be used below,. The simplest of all methods of this general form is euler’s method. a method of numerically integrating ordinary differential equations by using a trial step at the midpoint of an. What Is The Runge Kutta Method.
From www.youtube.com
RUNGEKUTTA METHOD YouTube What Is The Runge Kutta Method To set up the notation to be used below,. a method of numerically integrating ordinary differential equations by using a trial step at the midpoint of an. The simplest of all methods of this general form is euler’s method. What Is The Runge Kutta Method.
From www.slideserve.com
PPT ARO309 Astronautics and Spacecraft Design PowerPoint What Is The Runge Kutta Method The simplest of all methods of this general form is euler’s method. To set up the notation to be used below,. a method of numerically integrating ordinary differential equations by using a trial step at the midpoint of an. What Is The Runge Kutta Method.
From matlabhelper.com
Blog RungeKutta Method In MATLAB MATLAB Helper What Is The Runge Kutta Method a method of numerically integrating ordinary differential equations by using a trial step at the midpoint of an. To set up the notation to be used below,. The simplest of all methods of this general form is euler’s method. What Is The Runge Kutta Method.
From www.slideshare.net
Runge Kutta Method What Is The Runge Kutta Method a method of numerically integrating ordinary differential equations by using a trial step at the midpoint of an. The simplest of all methods of this general form is euler’s method. To set up the notation to be used below,. What Is The Runge Kutta Method.
From gamma.app
RungeKutta Method in Numerical Methods What Is The Runge Kutta Method The simplest of all methods of this general form is euler’s method. To set up the notation to be used below,. a method of numerically integrating ordinary differential equations by using a trial step at the midpoint of an. What Is The Runge Kutta Method.
From www.youtube.com
What is the RungeKutta Method? (Num. Methods for IVP) YouTube What Is The Runge Kutta Method a method of numerically integrating ordinary differential equations by using a trial step at the midpoint of an. To set up the notation to be used below,. The simplest of all methods of this general form is euler’s method. What Is The Runge Kutta Method.
From www.scribd.com
RungeKutta 4thOrder Method and Hints PDF Integral Numerical What Is The Runge Kutta Method The simplest of all methods of this general form is euler’s method. a method of numerically integrating ordinary differential equations by using a trial step at the midpoint of an. To set up the notation to be used below,. What Is The Runge Kutta Method.
From math.stackexchange.com
ordinary differential equations Solve fourth order ODE using fourth What Is The Runge Kutta Method a method of numerically integrating ordinary differential equations by using a trial step at the midpoint of an. To set up the notation to be used below,. The simplest of all methods of this general form is euler’s method. What Is The Runge Kutta Method.
From www.youtube.com
Runge Kutta Method to Solve Ordinary Differential Equation of 1st Order What Is The Runge Kutta Method The simplest of all methods of this general form is euler’s method. a method of numerically integrating ordinary differential equations by using a trial step at the midpoint of an. To set up the notation to be used below,. What Is The Runge Kutta Method.