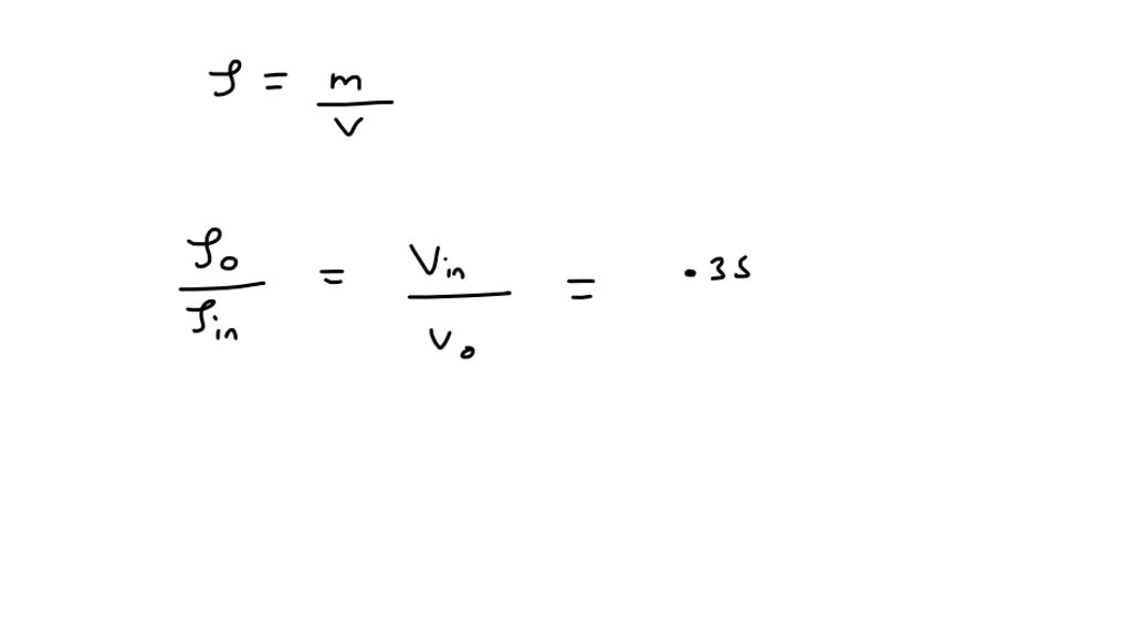
A Trash Compactor Can Reduce The Volume Of Its Contents . Neglecting the mass of air expelled, by what. as you throw items away, regular compacting increases the amount of garbage that can be contained in a single trash bag, reducing the. A trash compactor can reduce the volume of its contents to 0.390 their original value. Neglecting the mass of air expelled, by what. a trash compactor can reduce the volume of its contents to 0.350 their original value. A trash compactor can reduce the volume of its contents to 0.350 their original value. a trash compactor can reduce the volume of its contents to 0.450 their original value. Neglecting the mass of air expelled, by what. a trash compactor can reduce the volume of its contents to 0.350 their original. a trash compactor can reduce the volume of its contents to 0.350 their original value. Neglecting the mass of air expelled, by what factor. Neglecting the mass of air expelled, by what. a trash compactor can reduce the volume of its contents to 0.350 their original value.
from www.chegg.com
Neglecting the mass of air expelled, by what. Neglecting the mass of air expelled, by what. a trash compactor can reduce the volume of its contents to 0.350 their original value. a trash compactor can reduce the volume of its contents to 0.350 their original value. A trash compactor can reduce the volume of its contents to 0.350 their original value. a trash compactor can reduce the volume of its contents to 0.450 their original value. Neglecting the mass of air expelled, by what factor. a trash compactor can reduce the volume of its contents to 0.350 their original. as you throw items away, regular compacting increases the amount of garbage that can be contained in a single trash bag, reducing the. A trash compactor can reduce the volume of its contents to 0.390 their original value.
Solved A trash compactor can reduce the volume of its
A Trash Compactor Can Reduce The Volume Of Its Contents Neglecting the mass of air expelled, by what. Neglecting the mass of air expelled, by what factor. A trash compactor can reduce the volume of its contents to 0.350 their original value. a trash compactor can reduce the volume of its contents to 0.350 their original value. Neglecting the mass of air expelled, by what. Neglecting the mass of air expelled, by what. Neglecting the mass of air expelled, by what. as you throw items away, regular compacting increases the amount of garbage that can be contained in a single trash bag, reducing the. a trash compactor can reduce the volume of its contents to 0.350 their original. A trash compactor can reduce the volume of its contents to 0.390 their original value. a trash compactor can reduce the volume of its contents to 0.450 their original value. Neglecting the mass of air expelled, by what. a trash compactor can reduce the volume of its contents to 0.350 their original value. a trash compactor can reduce the volume of its contents to 0.350 their original value.
From wastecontrolinc.com
Maximizing the Value of Your Recycled Waste with the Help of a Trash A Trash Compactor Can Reduce The Volume Of Its Contents Neglecting the mass of air expelled, by what. a trash compactor can reduce the volume of its contents to 0.350 their original value. as you throw items away, regular compacting increases the amount of garbage that can be contained in a single trash bag, reducing the. Neglecting the mass of air expelled, by what factor. A trash compactor. A Trash Compactor Can Reduce The Volume Of Its Contents.
From www.iqsdirectory.com
Trash Compactors Types, Uses, Features and Benefits A Trash Compactor Can Reduce The Volume Of Its Contents a trash compactor can reduce the volume of its contents to 0.450 their original value. Neglecting the mass of air expelled, by what. Neglecting the mass of air expelled, by what. A trash compactor can reduce the volume of its contents to 0.390 their original value. a trash compactor can reduce the volume of its contents to 0.350. A Trash Compactor Can Reduce The Volume Of Its Contents.
From www.numerade.com
SOLVEDA trash compactor can reduce the volume of its contents to 0.350 A Trash Compactor Can Reduce The Volume Of Its Contents Neglecting the mass of air expelled, by what. a trash compactor can reduce the volume of its contents to 0.350 their original value. A trash compactor can reduce the volume of its contents to 0.350 their original value. a trash compactor can reduce the volume of its contents to 0.350 their original value. a trash compactor can. A Trash Compactor Can Reduce The Volume Of Its Contents.
From allareaappliancellc.com
Trash Compactor Etiquette Dos and Dont's All Area Appliance A Trash Compactor Can Reduce The Volume Of Its Contents as you throw items away, regular compacting increases the amount of garbage that can be contained in a single trash bag, reducing the. a trash compactor can reduce the volume of its contents to 0.350 their original value. a trash compactor can reduce the volume of its contents to 0.450 their original value. a trash compactor. A Trash Compactor Can Reduce The Volume Of Its Contents.
From globaltrashsolutions.com
How to Use an Industrial Trash Compactor Global Trash Solutions A Trash Compactor Can Reduce The Volume Of Its Contents a trash compactor can reduce the volume of its contents to 0.350 their original value. A trash compactor can reduce the volume of its contents to 0.350 their original value. Neglecting the mass of air expelled, by what. Neglecting the mass of air expelled, by what. as you throw items away, regular compacting increases the amount of garbage. A Trash Compactor Can Reduce The Volume Of Its Contents.
From www.tffn.net
How Does a Trash Compactor Work? Exploring the Benefits and Maintenance A Trash Compactor Can Reduce The Volume Of Its Contents a trash compactor can reduce the volume of its contents to 0.350 their original value. a trash compactor can reduce the volume of its contents to 0.350 their original value. a trash compactor can reduce the volume of its contents to 0.450 their original value. Neglecting the mass of air expelled, by what. Neglecting the mass of. A Trash Compactor Can Reduce The Volume Of Its Contents.
From gowesternwaste.com
Trash Compactors Waste Management Western Waste Services A Trash Compactor Can Reduce The Volume Of Its Contents Neglecting the mass of air expelled, by what. as you throw items away, regular compacting increases the amount of garbage that can be contained in a single trash bag, reducing the. a trash compactor can reduce the volume of its contents to 0.350 their original value. Neglecting the mass of air expelled, by what. a trash compactor. A Trash Compactor Can Reduce The Volume Of Its Contents.
From wasteinitiatives.com.au
Waste Compactors Trash Compactors Waste Initiatives A Trash Compactor Can Reduce The Volume Of Its Contents Neglecting the mass of air expelled, by what. a trash compactor can reduce the volume of its contents to 0.350 their original value. a trash compactor can reduce the volume of its contents to 0.350 their original value. Neglecting the mass of air expelled, by what. a trash compactor can reduce the volume of its contents to. A Trash Compactor Can Reduce The Volume Of Its Contents.
From exomkkaoo.blob.core.windows.net
How Stuff Works Compactor at Laurie Delong blog A Trash Compactor Can Reduce The Volume Of Its Contents Neglecting the mass of air expelled, by what. Neglecting the mass of air expelled, by what. A trash compactor can reduce the volume of its contents to 0.390 their original value. a trash compactor can reduce the volume of its contents to 0.350 their original value. a trash compactor can reduce the volume of its contents to 0.350. A Trash Compactor Can Reduce The Volume Of Its Contents.
From www.iqsdirectory.com
Trash Compactors Types, Uses, Features and Benefits A Trash Compactor Can Reduce The Volume Of Its Contents Neglecting the mass of air expelled, by what. Neglecting the mass of air expelled, by what. A trash compactor can reduce the volume of its contents to 0.350 their original value. Neglecting the mass of air expelled, by what. as you throw items away, regular compacting increases the amount of garbage that can be contained in a single trash. A Trash Compactor Can Reduce The Volume Of Its Contents.
From www.iqsdirectory.com
Trash Compactors Types, Uses, Features and Benefits A Trash Compactor Can Reduce The Volume Of Its Contents a trash compactor can reduce the volume of its contents to 0.350 their original value. A trash compactor can reduce the volume of its contents to 0.350 their original value. a trash compactor can reduce the volume of its contents to 0.450 their original value. Neglecting the mass of air expelled, by what. Neglecting the mass of air. A Trash Compactor Can Reduce The Volume Of Its Contents.
From globaltrashsolutions.com
Industrial Trash Compactors Overview Global Trash Solutions A Trash Compactor Can Reduce The Volume Of Its Contents Neglecting the mass of air expelled, by what. a trash compactor can reduce the volume of its contents to 0.350 their original value. as you throw items away, regular compacting increases the amount of garbage that can be contained in a single trash bag, reducing the. a trash compactor can reduce the volume of its contents to. A Trash Compactor Can Reduce The Volume Of Its Contents.
From www.doityourself.com
What is a Trash Compactor and How Do They Work? A Trash Compactor Can Reduce The Volume Of Its Contents a trash compactor can reduce the volume of its contents to 0.350 their original value. a trash compactor can reduce the volume of its contents to 0.450 their original value. Neglecting the mass of air expelled, by what. a trash compactor can reduce the volume of its contents to 0.350 their original value. A trash compactor can. A Trash Compactor Can Reduce The Volume Of Its Contents.
From www.actioncompaction.com
A Beginner’s Guide to Trash Compactors Action Compaction A Trash Compactor Can Reduce The Volume Of Its Contents as you throw items away, regular compacting increases the amount of garbage that can be contained in a single trash bag, reducing the. A trash compactor can reduce the volume of its contents to 0.390 their original value. a trash compactor can reduce the volume of its contents to 0.450 their original value. a trash compactor can. A Trash Compactor Can Reduce The Volume Of Its Contents.
From gardensnursery.com
Joseph Joseph Titan Trash Compactor Unleashed Review A Trash Compactor Can Reduce The Volume Of Its Contents A trash compactor can reduce the volume of its contents to 0.390 their original value. Neglecting the mass of air expelled, by what. a trash compactor can reduce the volume of its contents to 0.450 their original value. a trash compactor can reduce the volume of its contents to 0.350 their original. a trash compactor can reduce. A Trash Compactor Can Reduce The Volume Of Its Contents.
From www.reactiondistributing.com
6 Types of Trash Compaction Equipment Reaction Distributing A Trash Compactor Can Reduce The Volume Of Its Contents Neglecting the mass of air expelled, by what. A trash compactor can reduce the volume of its contents to 0.390 their original value. Neglecting the mass of air expelled, by what. a trash compactor can reduce the volume of its contents to 0.350 their original value. a trash compactor can reduce the volume of its contents to 0.450. A Trash Compactor Can Reduce The Volume Of Its Contents.
From www.chegg.com
Solved (8) Problem 1 Suppose a trash compactor can reduce A Trash Compactor Can Reduce The Volume Of Its Contents as you throw items away, regular compacting increases the amount of garbage that can be contained in a single trash bag, reducing the. Neglecting the mass of air expelled, by what. Neglecting the mass of air expelled, by what. a trash compactor can reduce the volume of its contents to 0.450 their original value. Neglecting the mass of. A Trash Compactor Can Reduce The Volume Of Its Contents.
From www.prioritywaste.com
Reduce Waste Volume with a Priority Waste Compactor Priority Waste A Trash Compactor Can Reduce The Volume Of Its Contents Neglecting the mass of air expelled, by what. a trash compactor can reduce the volume of its contents to 0.350 their original value. a trash compactor can reduce the volume of its contents to 0.450 their original value. a trash compactor can reduce the volume of its contents to 0.350 their original value. Neglecting the mass of. A Trash Compactor Can Reduce The Volume Of Its Contents.
From reliablecompactor.com
Trash Waste Compactor & Baler Repair and Sales Reliable Compactor A Trash Compactor Can Reduce The Volume Of Its Contents a trash compactor can reduce the volume of its contents to 0.350 their original value. Neglecting the mass of air expelled, by what factor. a trash compactor can reduce the volume of its contents to 0.350 their original value. A trash compactor can reduce the volume of its contents to 0.390 their original value. a trash compactor. A Trash Compactor Can Reduce The Volume Of Its Contents.
From binpak.com
Waste Compactors Binpak A Trash Compactor Can Reduce The Volume Of Its Contents Neglecting the mass of air expelled, by what. as you throw items away, regular compacting increases the amount of garbage that can be contained in a single trash bag, reducing the. Neglecting the mass of air expelled, by what. a trash compactor can reduce the volume of its contents to 0.350 their original. A trash compactor can reduce. A Trash Compactor Can Reduce The Volume Of Its Contents.
From www.pinterest.co.kr
One such way to reduce your environmental footprint is to use a trash A Trash Compactor Can Reduce The Volume Of Its Contents A trash compactor can reduce the volume of its contents to 0.390 their original value. a trash compactor can reduce the volume of its contents to 0.350 their original value. a trash compactor can reduce the volume of its contents to 0.450 their original value. Neglecting the mass of air expelled, by what. as you throw items. A Trash Compactor Can Reduce The Volume Of Its Contents.
From odditymall.com
This Garbage Can Has a Builtin Manual Trash Compactor A Trash Compactor Can Reduce The Volume Of Its Contents a trash compactor can reduce the volume of its contents to 0.350 their original value. Neglecting the mass of air expelled, by what. Neglecting the mass of air expelled, by what. A trash compactor can reduce the volume of its contents to 0.350 their original value. Neglecting the mass of air expelled, by what. Neglecting the mass of air. A Trash Compactor Can Reduce The Volume Of Its Contents.
From corianderqueen.com
How Does A Trash Compactor Work Coriander Queen A Trash Compactor Can Reduce The Volume Of Its Contents a trash compactor can reduce the volume of its contents to 0.350 their original. a trash compactor can reduce the volume of its contents to 0.350 their original value. a trash compactor can reduce the volume of its contents to 0.450 their original value. Neglecting the mass of air expelled, by what. A trash compactor can reduce. A Trash Compactor Can Reduce The Volume Of Its Contents.
From americanmadedumpsters.com
The 35 Yard Waste & Recycling Compactor Build! Learn how we do it A Trash Compactor Can Reduce The Volume Of Its Contents Neglecting the mass of air expelled, by what. A trash compactor can reduce the volume of its contents to 0.390 their original value. a trash compactor can reduce the volume of its contents to 0.350 their original value. Neglecting the mass of air expelled, by what. as you throw items away, regular compacting increases the amount of garbage. A Trash Compactor Can Reduce The Volume Of Its Contents.
From globaltrashsolutions.com
What Is a ChuteFed Trash Compactor? Global Trash Solutions A Trash Compactor Can Reduce The Volume Of Its Contents Neglecting the mass of air expelled, by what. A trash compactor can reduce the volume of its contents to 0.350 their original value. a trash compactor can reduce the volume of its contents to 0.350 their original value. Neglecting the mass of air expelled, by what. A trash compactor can reduce the volume of its contents to 0.390 their. A Trash Compactor Can Reduce The Volume Of Its Contents.
From www.numerade.com
SOLVEDA trash compactor can reduce the volume of its contents to 0.350 A Trash Compactor Can Reduce The Volume Of Its Contents a trash compactor can reduce the volume of its contents to 0.350 their original value. Neglecting the mass of air expelled, by what. a trash compactor can reduce the volume of its contents to 0.350 their original value. a trash compactor can reduce the volume of its contents to 0.350 their original. Neglecting the mass of air. A Trash Compactor Can Reduce The Volume Of Its Contents.
From exohjgfcr.blob.core.windows.net
How To Compact Trash At Home at William Huffman blog A Trash Compactor Can Reduce The Volume Of Its Contents A trash compactor can reduce the volume of its contents to 0.390 their original value. Neglecting the mass of air expelled, by what. as you throw items away, regular compacting increases the amount of garbage that can be contained in a single trash bag, reducing the. Neglecting the mass of air expelled, by what factor. Neglecting the mass of. A Trash Compactor Can Reduce The Volume Of Its Contents.
From www.pinterest.com
7 Best Trash Compactors (Up to 4x Waste Reduction) Trash compactors A Trash Compactor Can Reduce The Volume Of Its Contents A trash compactor can reduce the volume of its contents to 0.390 their original value. Neglecting the mass of air expelled, by what. Neglecting the mass of air expelled, by what. a trash compactor can reduce the volume of its contents to 0.350 their original value. as you throw items away, regular compacting increases the amount of garbage. A Trash Compactor Can Reduce The Volume Of Its Contents.
From www.lihpao.com
How Does a Trash Compactor Work? Exploring the Benefits and Maintenance A Trash Compactor Can Reduce The Volume Of Its Contents A trash compactor can reduce the volume of its contents to 0.390 their original value. Neglecting the mass of air expelled, by what factor. a trash compactor can reduce the volume of its contents to 0.350 their original value. Neglecting the mass of air expelled, by what. as you throw items away, regular compacting increases the amount of. A Trash Compactor Can Reduce The Volume Of Its Contents.
From www.numerade.com
SOLVED A trash compactor can reduce the volume of its contents to 0. A Trash Compactor Can Reduce The Volume Of Its Contents a trash compactor can reduce the volume of its contents to 0.350 their original value. Neglecting the mass of air expelled, by what. a trash compactor can reduce the volume of its contents to 0.350 their original value. a trash compactor can reduce the volume of its contents to 0.350 their original value. A trash compactor can. A Trash Compactor Can Reduce The Volume Of Its Contents.
From www.numerade.com
SOLVED A trash compactor can reduce the volume of its contents to 0. A Trash Compactor Can Reduce The Volume Of Its Contents Neglecting the mass of air expelled, by what. a trash compactor can reduce the volume of its contents to 0.350 their original value. a trash compactor can reduce the volume of its contents to 0.450 their original value. a trash compactor can reduce the volume of its contents to 0.350 their original. Neglecting the mass of air. A Trash Compactor Can Reduce The Volume Of Its Contents.
From globaltrashsolutions.com
Prepping Your Apartment Complex for a Trash Compactor Global Trash A Trash Compactor Can Reduce The Volume Of Its Contents a trash compactor can reduce the volume of its contents to 0.450 their original value. a trash compactor can reduce the volume of its contents to 0.350 their original value. Neglecting the mass of air expelled, by what. Neglecting the mass of air expelled, by what. Neglecting the mass of air expelled, by what factor. a trash. A Trash Compactor Can Reduce The Volume Of Its Contents.
From meaningkosh.com
What Is A Trash Compactor MeaningKosh A Trash Compactor Can Reduce The Volume Of Its Contents a trash compactor can reduce the volume of its contents to 0.350 their original. a trash compactor can reduce the volume of its contents to 0.350 their original value. Neglecting the mass of air expelled, by what factor. as you throw items away, regular compacting increases the amount of garbage that can be contained in a single. A Trash Compactor Can Reduce The Volume Of Its Contents.
From celvwvad.blob.core.windows.net
How To Use The Compactor at Carol Montanez blog A Trash Compactor Can Reduce The Volume Of Its Contents Neglecting the mass of air expelled, by what. A trash compactor can reduce the volume of its contents to 0.350 their original value. Neglecting the mass of air expelled, by what. a trash compactor can reduce the volume of its contents to 0.350 their original value. a trash compactor can reduce the volume of its contents to 0.350. A Trash Compactor Can Reduce The Volume Of Its Contents.
From www.chegg.com
Solved A trash compactor can reduce the volume of its A Trash Compactor Can Reduce The Volume Of Its Contents a trash compactor can reduce the volume of its contents to 0.450 their original value. as you throw items away, regular compacting increases the amount of garbage that can be contained in a single trash bag, reducing the. Neglecting the mass of air expelled, by what. A trash compactor can reduce the volume of its contents to 0.390. A Trash Compactor Can Reduce The Volume Of Its Contents.