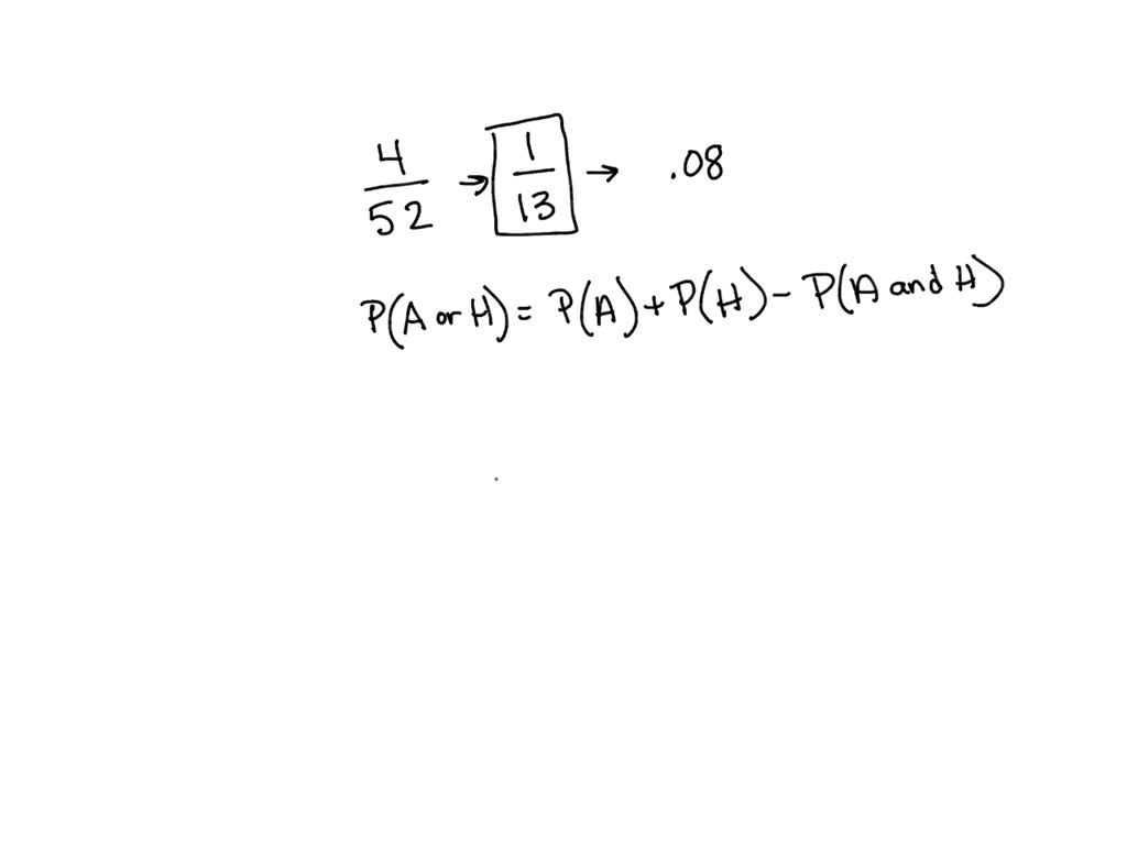
As Single Card Is Drawn From A Standard Deck Of Playing Cards. The Sample Space Will Be . This makes the denominator for finding the probability of. 52 cards in 13 values and 4 suits. standard deck of cards has: Hearts, clubs, diamonds, and spades; the sample space for a set of cards is 52 as there are 52 cards in a deck. Suits are spades, clubs, diamonds and hearts. There are 52 cards in a standard deck: As this is the type of probability,. if one card is drawn from a standard deck of 52 playing cards, what the probability of drawing is a red card? the sample space for choosing a single card at random from a deck of 52 playing cards is shown below. Each suit has 13 card. in simple words, probability related to playing cards is called card probability.
from www.teachoo.com
This makes the denominator for finding the probability of. As this is the type of probability,. standard deck of cards has: 52 cards in 13 values and 4 suits. in simple words, probability related to playing cards is called card probability. the sample space for a set of cards is 52 as there are 52 cards in a deck. Each suit has 13 card. Suits are spades, clubs, diamonds and hearts. Hearts, clubs, diamonds, and spades; if one card is drawn from a standard deck of 52 playing cards, what the probability of drawing is a red card?
Example 4 One card is drawn from a wellshuffled deck Examples
As Single Card Is Drawn From A Standard Deck Of Playing Cards. The Sample Space Will Be Each suit has 13 card. This makes the denominator for finding the probability of. Each suit has 13 card. in simple words, probability related to playing cards is called card probability. Hearts, clubs, diamonds, and spades; There are 52 cards in a standard deck: the sample space for choosing a single card at random from a deck of 52 playing cards is shown below. standard deck of cards has: if one card is drawn from a standard deck of 52 playing cards, what the probability of drawing is a red card? 52 cards in 13 values and 4 suits. As this is the type of probability,. the sample space for a set of cards is 52 as there are 52 cards in a deck. Suits are spades, clubs, diamonds and hearts.
From exoewtiqt.blob.core.windows.net
Standard Deck Of Cards Sample Space at Debra Stubbs blog As Single Card Is Drawn From A Standard Deck Of Playing Cards. The Sample Space Will Be This makes the denominator for finding the probability of. 52 cards in 13 values and 4 suits. As this is the type of probability,. Each suit has 13 card. Suits are spades, clubs, diamonds and hearts. There are 52 cards in a standard deck: standard deck of cards has: in simple words, probability related to playing cards is. As Single Card Is Drawn From A Standard Deck Of Playing Cards. The Sample Space Will Be.
From www.bartleby.com
Answered A single card is drawn from a standard… bartleby As Single Card Is Drawn From A Standard Deck Of Playing Cards. The Sample Space Will Be the sample space for a set of cards is 52 as there are 52 cards in a deck. Suits are spades, clubs, diamonds and hearts. in simple words, probability related to playing cards is called card probability. 52 cards in 13 values and 4 suits. Hearts, clubs, diamonds, and spades; the sample space for choosing a single. As Single Card Is Drawn From A Standard Deck Of Playing Cards. The Sample Space Will Be.
From cejsphsz.blob.core.windows.net
One Card From A Standard Deck Of Cards at Noel Custard blog As Single Card Is Drawn From A Standard Deck Of Playing Cards. The Sample Space Will Be There are 52 cards in a standard deck: Each suit has 13 card. in simple words, probability related to playing cards is called card probability. Hearts, clubs, diamonds, and spades; standard deck of cards has: As this is the type of probability,. the sample space for a set of cards is 52 as there are 52 cards. As Single Card Is Drawn From A Standard Deck Of Playing Cards. The Sample Space Will Be.
From wiewird.com
One card is drawn from a wellshuffled deck of 52 cards then which of As Single Card Is Drawn From A Standard Deck Of Playing Cards. The Sample Space Will Be Hearts, clubs, diamonds, and spades; the sample space for choosing a single card at random from a deck of 52 playing cards is shown below. Suits are spades, clubs, diamonds and hearts. in simple words, probability related to playing cards is called card probability. standard deck of cards has: This makes the denominator for finding the probability. As Single Card Is Drawn From A Standard Deck Of Playing Cards. The Sample Space Will Be.
From www.numerade.com
SOLVED A single card is drawn from a standard 52 card deck. Work out As Single Card Is Drawn From A Standard Deck Of Playing Cards. The Sample Space Will Be Each suit has 13 card. There are 52 cards in a standard deck: This makes the denominator for finding the probability of. standard deck of cards has: Hearts, clubs, diamonds, and spades; As this is the type of probability,. Suits are spades, clubs, diamonds and hearts. the sample space for a set of cards is 52 as there. As Single Card Is Drawn From A Standard Deck Of Playing Cards. The Sample Space Will Be.
From www.coursehero.com
[Solved] A single card is drawn from a standard 52card deck. The As Single Card Is Drawn From A Standard Deck Of Playing Cards. The Sample Space Will Be standard deck of cards has: Hearts, clubs, diamonds, and spades; if one card is drawn from a standard deck of 52 playing cards, what the probability of drawing is a red card? This makes the denominator for finding the probability of. 52 cards in 13 values and 4 suits. in simple words, probability related to playing cards. As Single Card Is Drawn From A Standard Deck Of Playing Cards. The Sample Space Will Be.
From www.chegg.com
A Single Card Is Selected From An Ordinary Deck As Single Card Is Drawn From A Standard Deck Of Playing Cards. The Sample Space Will Be There are 52 cards in a standard deck: Hearts, clubs, diamonds, and spades; 52 cards in 13 values and 4 suits. the sample space for choosing a single card at random from a deck of 52 playing cards is shown below. the sample space for a set of cards is 52 as there are 52 cards in a. As Single Card Is Drawn From A Standard Deck Of Playing Cards. The Sample Space Will Be.
From www.thoughtco.com
What Are the Features of a Standard Deck of Cards? As Single Card Is Drawn From A Standard Deck Of Playing Cards. The Sample Space Will Be standard deck of cards has: in simple words, probability related to playing cards is called card probability. As this is the type of probability,. the sample space for choosing a single card at random from a deck of 52 playing cards is shown below. Each suit has 13 card. 52 cards in 13 values and 4 suits.. As Single Card Is Drawn From A Standard Deck Of Playing Cards. The Sample Space Will Be.
From www.numerade.com
SOLVED A single card is drawn from a standard deck of playing cards. a As Single Card Is Drawn From A Standard Deck Of Playing Cards. The Sample Space Will Be the sample space for choosing a single card at random from a deck of 52 playing cards is shown below. in simple words, probability related to playing cards is called card probability. As this is the type of probability,. the sample space for a set of cards is 52 as there are 52 cards in a deck.. As Single Card Is Drawn From A Standard Deck Of Playing Cards. The Sample Space Will Be.
From lessonlibspelunking.z22.web.core.windows.net
Probability Of Deck Of Cards As Single Card Is Drawn From A Standard Deck Of Playing Cards. The Sample Space Will Be the sample space for choosing a single card at random from a deck of 52 playing cards is shown below. Suits are spades, clubs, diamonds and hearts. in simple words, probability related to playing cards is called card probability. 52 cards in 13 values and 4 suits. This makes the denominator for finding the probability of. standard. As Single Card Is Drawn From A Standard Deck Of Playing Cards. The Sample Space Will Be.
From cejsphsz.blob.core.windows.net
One Card From A Standard Deck Of Cards at Noel Custard blog As Single Card Is Drawn From A Standard Deck Of Playing Cards. The Sample Space Will Be This makes the denominator for finding the probability of. 52 cards in 13 values and 4 suits. the sample space for a set of cards is 52 as there are 52 cards in a deck. Suits are spades, clubs, diamonds and hearts. standard deck of cards has: in simple words, probability related to playing cards is called. As Single Card Is Drawn From A Standard Deck Of Playing Cards. The Sample Space Will Be.
From www.chegg.com
Solved A single card is drawn from a standard 52 card deck. As Single Card Is Drawn From A Standard Deck Of Playing Cards. The Sample Space Will Be if one card is drawn from a standard deck of 52 playing cards, what the probability of drawing is a red card? 52 cards in 13 values and 4 suits. the sample space for choosing a single card at random from a deck of 52 playing cards is shown below. the sample space for a set of. As Single Card Is Drawn From A Standard Deck Of Playing Cards. The Sample Space Will Be.
From www.numerade.com
SOLVED A single card is drawn from a standard deck of 52 playing cards As Single Card Is Drawn From A Standard Deck Of Playing Cards. The Sample Space Will Be standard deck of cards has: the sample space for choosing a single card at random from a deck of 52 playing cards is shown below. This makes the denominator for finding the probability of. Hearts, clubs, diamonds, and spades; the sample space for a set of cards is 52 as there are 52 cards in a deck.. As Single Card Is Drawn From A Standard Deck Of Playing Cards. The Sample Space Will Be.
From exotdtzlq.blob.core.windows.net
Deck Of Cards Drawing Probability at Grace Marsh blog As Single Card Is Drawn From A Standard Deck Of Playing Cards. The Sample Space Will Be Hearts, clubs, diamonds, and spades; if one card is drawn from a standard deck of 52 playing cards, what the probability of drawing is a red card? There are 52 cards in a standard deck: This makes the denominator for finding the probability of. 52 cards in 13 values and 4 suits. the sample space for a set. As Single Card Is Drawn From A Standard Deck Of Playing Cards. The Sample Space Will Be.
From exofvhvsn.blob.core.windows.net
Probability Of Drawing A Face Card From A Standard Deck Of 52 Playing As Single Card Is Drawn From A Standard Deck Of Playing Cards. The Sample Space Will Be the sample space for a set of cards is 52 as there are 52 cards in a deck. standard deck of cards has: in simple words, probability related to playing cards is called card probability. if one card is drawn from a standard deck of 52 playing cards, what the probability of drawing is a red. As Single Card Is Drawn From A Standard Deck Of Playing Cards. The Sample Space Will Be.
From www.numerade.com
SOLVED A card is drawn from a standard deck of 52 playing cards. Find As Single Card Is Drawn From A Standard Deck Of Playing Cards. The Sample Space Will Be the sample space for choosing a single card at random from a deck of 52 playing cards is shown below. in simple words, probability related to playing cards is called card probability. There are 52 cards in a standard deck: the sample space for a set of cards is 52 as there are 52 cards in a. As Single Card Is Drawn From A Standard Deck Of Playing Cards. The Sample Space Will Be.
From www.numerade.com
SOLVED A single card is drawn from a standard deck of 52 playing cards As Single Card Is Drawn From A Standard Deck Of Playing Cards. The Sample Space Will Be Hearts, clubs, diamonds, and spades; if one card is drawn from a standard deck of 52 playing cards, what the probability of drawing is a red card? 52 cards in 13 values and 4 suits. in simple words, probability related to playing cards is called card probability. Each suit has 13 card. the sample space for choosing. As Single Card Is Drawn From A Standard Deck Of Playing Cards. The Sample Space Will Be.
From exoewtiqt.blob.core.windows.net
Standard Deck Of Cards Sample Space at Debra Stubbs blog As Single Card Is Drawn From A Standard Deck Of Playing Cards. The Sample Space Will Be 52 cards in 13 values and 4 suits. Suits are spades, clubs, diamonds and hearts. the sample space for choosing a single card at random from a deck of 52 playing cards is shown below. the sample space for a set of cards is 52 as there are 52 cards in a deck. This makes the denominator for. As Single Card Is Drawn From A Standard Deck Of Playing Cards. The Sample Space Will Be.
From www.chegg.com
Solved 3.) A single card is drawn from a standard deck of As Single Card Is Drawn From A Standard Deck Of Playing Cards. The Sample Space Will Be There are 52 cards in a standard deck: the sample space for choosing a single card at random from a deck of 52 playing cards is shown below. 52 cards in 13 values and 4 suits. in simple words, probability related to playing cards is called card probability. standard deck of cards has: This makes the denominator. As Single Card Is Drawn From A Standard Deck Of Playing Cards. The Sample Space Will Be.
From www.numerade.com
SOLVEDA single card is drawn from a standard deck of 52 cards. Drawing As Single Card Is Drawn From A Standard Deck Of Playing Cards. The Sample Space Will Be standard deck of cards has: if one card is drawn from a standard deck of 52 playing cards, what the probability of drawing is a red card? Hearts, clubs, diamonds, and spades; in simple words, probability related to playing cards is called card probability. As this is the type of probability,. Suits are spades, clubs, diamonds and. As Single Card Is Drawn From A Standard Deck Of Playing Cards. The Sample Space Will Be.
From ceunyfcb.blob.core.windows.net
Here Is A Table Showing All Cards In A Standard Deck at Craig Cooke blog As Single Card Is Drawn From A Standard Deck Of Playing Cards. The Sample Space Will Be in simple words, probability related to playing cards is called card probability. Hearts, clubs, diamonds, and spades; There are 52 cards in a standard deck: standard deck of cards has: Suits are spades, clubs, diamonds and hearts. the sample space for a set of cards is 52 as there are 52 cards in a deck. Each suit. As Single Card Is Drawn From A Standard Deck Of Playing Cards. The Sample Space Will Be.
From catsatcards.com
The Deck of Cards As Single Card Is Drawn From A Standard Deck Of Playing Cards. The Sample Space Will Be 52 cards in 13 values and 4 suits. if one card is drawn from a standard deck of 52 playing cards, what the probability of drawing is a red card? Each suit has 13 card. There are 52 cards in a standard deck: the sample space for choosing a single card at random from a deck of 52. As Single Card Is Drawn From A Standard Deck Of Playing Cards. The Sample Space Will Be.
From cexjcehu.blob.core.windows.net
Draw A Card From A Standard Deck Of 52 Playing Cards Observe The Card As Single Card Is Drawn From A Standard Deck Of Playing Cards. The Sample Space Will Be Hearts, clubs, diamonds, and spades; This makes the denominator for finding the probability of. in simple words, probability related to playing cards is called card probability. standard deck of cards has: As this is the type of probability,. There are 52 cards in a standard deck: the sample space for choosing a single card at random from. As Single Card Is Drawn From A Standard Deck Of Playing Cards. The Sample Space Will Be.
From exoyripfu.blob.core.windows.net
A Standard Deck Has 52 Playing Cards What Is The Probability Of Drawing As Single Card Is Drawn From A Standard Deck Of Playing Cards. The Sample Space Will Be Each suit has 13 card. Suits are spades, clubs, diamonds and hearts. if one card is drawn from a standard deck of 52 playing cards, what the probability of drawing is a red card? 52 cards in 13 values and 4 suits. in simple words, probability related to playing cards is called card probability. the sample space. As Single Card Is Drawn From A Standard Deck Of Playing Cards. The Sample Space Will Be.
From www.numerade.com
SOLVED If you draw a single card from a standard deck of cards, what As Single Card Is Drawn From A Standard Deck Of Playing Cards. The Sample Space Will Be the sample space for a set of cards is 52 as there are 52 cards in a deck. in simple words, probability related to playing cards is called card probability. Each suit has 13 card. Hearts, clubs, diamonds, and spades; standard deck of cards has: if one card is drawn from a standard deck of 52. As Single Card Is Drawn From A Standard Deck Of Playing Cards. The Sample Space Will Be.
From dxoeulyon.blob.core.windows.net
In A Standard Deck Of 52 Cards What Is The Probability Of Drawing 2 As Single Card Is Drawn From A Standard Deck Of Playing Cards. The Sample Space Will Be 52 cards in 13 values and 4 suits. This makes the denominator for finding the probability of. Each suit has 13 card. Hearts, clubs, diamonds, and spades; There are 52 cards in a standard deck: standard deck of cards has: if one card is drawn from a standard deck of 52 playing cards, what the probability of drawing. As Single Card Is Drawn From A Standard Deck Of Playing Cards. The Sample Space Will Be.
From www.chegg.com
Solved A single card is drawn from a standard deck of 52 As Single Card Is Drawn From A Standard Deck Of Playing Cards. The Sample Space Will Be 52 cards in 13 values and 4 suits. Each suit has 13 card. the sample space for choosing a single card at random from a deck of 52 playing cards is shown below. There are 52 cards in a standard deck: standard deck of cards has: As this is the type of probability,. in simple words, probability. As Single Card Is Drawn From A Standard Deck Of Playing Cards. The Sample Space Will Be.
From www.chegg.com
Solved A single card is drawn from a standard 52card deck. As Single Card Is Drawn From A Standard Deck Of Playing Cards. The Sample Space Will Be standard deck of cards has: As this is the type of probability,. Each suit has 13 card. in simple words, probability related to playing cards is called card probability. 52 cards in 13 values and 4 suits. There are 52 cards in a standard deck: This makes the denominator for finding the probability of. if one card. As Single Card Is Drawn From A Standard Deck Of Playing Cards. The Sample Space Will Be.
From brainly.com
One card is drawn from a standard deck of 52 playing cards. Find the As Single Card Is Drawn From A Standard Deck Of Playing Cards. The Sample Space Will Be Hearts, clubs, diamonds, and spades; This makes the denominator for finding the probability of. if one card is drawn from a standard deck of 52 playing cards, what the probability of drawing is a red card? There are 52 cards in a standard deck: As this is the type of probability,. the sample space for choosing a single. As Single Card Is Drawn From A Standard Deck Of Playing Cards. The Sample Space Will Be.
From www.chegg.com
A single card is drawn from a standard 52card deck. As Single Card Is Drawn From A Standard Deck Of Playing Cards. The Sample Space Will Be the sample space for choosing a single card at random from a deck of 52 playing cards is shown below. As this is the type of probability,. 52 cards in 13 values and 4 suits. the sample space for a set of cards is 52 as there are 52 cards in a deck. This makes the denominator for. As Single Card Is Drawn From A Standard Deck Of Playing Cards. The Sample Space Will Be.
From www.numerade.com
SOLVED If a single card is drawn from a standard 52card deck, what is As Single Card Is Drawn From A Standard Deck Of Playing Cards. The Sample Space Will Be standard deck of cards has: 52 cards in 13 values and 4 suits. This makes the denominator for finding the probability of. if one card is drawn from a standard deck of 52 playing cards, what the probability of drawing is a red card? Suits are spades, clubs, diamonds and hearts. There are 52 cards in a standard. As Single Card Is Drawn From A Standard Deck Of Playing Cards. The Sample Space Will Be.
From exoewtiqt.blob.core.windows.net
Standard Deck Of Cards Sample Space at Debra Stubbs blog As Single Card Is Drawn From A Standard Deck Of Playing Cards. The Sample Space Will Be There are 52 cards in a standard deck: the sample space for a set of cards is 52 as there are 52 cards in a deck. in simple words, probability related to playing cards is called card probability. As this is the type of probability,. Suits are spades, clubs, diamonds and hearts. Hearts, clubs, diamonds, and spades; . As Single Card Is Drawn From A Standard Deck Of Playing Cards. The Sample Space Will Be.
From cexjcehu.blob.core.windows.net
Draw A Card From A Standard Deck Of 52 Playing Cards Observe The Card As Single Card Is Drawn From A Standard Deck Of Playing Cards. The Sample Space Will Be Suits are spades, clubs, diamonds and hearts. the sample space for choosing a single card at random from a deck of 52 playing cards is shown below. the sample space for a set of cards is 52 as there are 52 cards in a deck. There are 52 cards in a standard deck: Each suit has 13 card.. As Single Card Is Drawn From A Standard Deck Of Playing Cards. The Sample Space Will Be.
From www.teachoo.com
Example 4 One card is drawn from a wellshuffled deck Examples As Single Card Is Drawn From A Standard Deck Of Playing Cards. The Sample Space Will Be standard deck of cards has: Hearts, clubs, diamonds, and spades; in simple words, probability related to playing cards is called card probability. the sample space for a set of cards is 52 as there are 52 cards in a deck. There are 52 cards in a standard deck: the sample space for choosing a single card. As Single Card Is Drawn From A Standard Deck Of Playing Cards. The Sample Space Will Be.
From ceunyfcb.blob.core.windows.net
Here Is A Table Showing All Cards In A Standard Deck at Craig Cooke blog As Single Card Is Drawn From A Standard Deck Of Playing Cards. The Sample Space Will Be 52 cards in 13 values and 4 suits. There are 52 cards in a standard deck: standard deck of cards has: This makes the denominator for finding the probability of. the sample space for a set of cards is 52 as there are 52 cards in a deck. Hearts, clubs, diamonds, and spades; in simple words, probability. As Single Card Is Drawn From A Standard Deck Of Playing Cards. The Sample Space Will Be.