How Does A Rotating Light Work . Light from most ordinary light sources wiggles up and down, left and right, and diagonally. The rotation of a mova globe is driven by magnetism and a photoelectric mechanism powered by light. As the lens rotates, the beams successively pass the view of the mariner giving what appears as a flash of light followed by darkness. This external layer remains stationary while an internal one spins using advanced magnets. Your polarizing filter lets through only the light that is vibrating in one particular direction. Before the introduction of electricity, the lighthouse had a clockwork mechanism that caused the lens to rotate. A crookes' radiometer consists of an airtight glass bulb with a partial vacuum and a set of vanes that spin when light is shone on them. The spinning of the vanes is.
from www.youtube.com
Before the introduction of electricity, the lighthouse had a clockwork mechanism that caused the lens to rotate. Your polarizing filter lets through only the light that is vibrating in one particular direction. A crookes' radiometer consists of an airtight glass bulb with a partial vacuum and a set of vanes that spin when light is shone on them. As the lens rotates, the beams successively pass the view of the mariner giving what appears as a flash of light followed by darkness. The rotation of a mova globe is driven by magnetism and a photoelectric mechanism powered by light. This external layer remains stationary while an internal one spins using advanced magnets. Light from most ordinary light sources wiggles up and down, left and right, and diagonally. The spinning of the vanes is.
MOVA Globes A Rotating Solar System Powered By Light YouTube
How Does A Rotating Light Work As the lens rotates, the beams successively pass the view of the mariner giving what appears as a flash of light followed by darkness. Before the introduction of electricity, the lighthouse had a clockwork mechanism that caused the lens to rotate. A crookes' radiometer consists of an airtight glass bulb with a partial vacuum and a set of vanes that spin when light is shone on them. The spinning of the vanes is. Your polarizing filter lets through only the light that is vibrating in one particular direction. As the lens rotates, the beams successively pass the view of the mariner giving what appears as a flash of light followed by darkness. The rotation of a mova globe is driven by magnetism and a photoelectric mechanism powered by light. This external layer remains stationary while an internal one spins using advanced magnets. Light from most ordinary light sources wiggles up and down, left and right, and diagonally.
From emergencyresponderproducts.com
Revolving & Rotating Lights Emergency Responder Products How Does A Rotating Light Work The rotation of a mova globe is driven by magnetism and a photoelectric mechanism powered by light. A crookes' radiometer consists of an airtight glass bulb with a partial vacuum and a set of vanes that spin when light is shone on them. The spinning of the vanes is. As the lens rotates, the beams successively pass the view of. How Does A Rotating Light Work.
From www.toolsource.com
24 LED Rechargeable Rotating Work Light Ullman Devices Corp How Does A Rotating Light Work The rotation of a mova globe is driven by magnetism and a photoelectric mechanism powered by light. Your polarizing filter lets through only the light that is vibrating in one particular direction. The spinning of the vanes is. Before the introduction of electricity, the lighthouse had a clockwork mechanism that caused the lens to rotate. As the lens rotates, the. How Does A Rotating Light Work.
From www.youtube.com
PistenKing 412 volt 1/16 scale rotating led beacon. YouTube How Does A Rotating Light Work The rotation of a mova globe is driven by magnetism and a photoelectric mechanism powered by light. This external layer remains stationary while an internal one spins using advanced magnets. Your polarizing filter lets through only the light that is vibrating in one particular direction. A crookes' radiometer consists of an airtight glass bulb with a partial vacuum and a. How Does A Rotating Light Work.
From www.rkm.com.au
Video Animation Refraction in a Rotating Prism by Russell Kightley Media How Does A Rotating Light Work A crookes' radiometer consists of an airtight glass bulb with a partial vacuum and a set of vanes that spin when light is shone on them. As the lens rotates, the beams successively pass the view of the mariner giving what appears as a flash of light followed by darkness. Your polarizing filter lets through only the light that is. How Does A Rotating Light Work.
From www.youtube.com
How to make rotating lamp How to make starry night lamp YouTube How Does A Rotating Light Work This external layer remains stationary while an internal one spins using advanced magnets. The spinning of the vanes is. Your polarizing filter lets through only the light that is vibrating in one particular direction. Before the introduction of electricity, the lighthouse had a clockwork mechanism that caused the lens to rotate. The rotation of a mova globe is driven by. How Does A Rotating Light Work.
From www.pinterest.com
Lighthouse Revolving Beacons / Rotating Lights Lighthouse Man How Does A Rotating Light Work This external layer remains stationary while an internal one spins using advanced magnets. Your polarizing filter lets through only the light that is vibrating in one particular direction. The spinning of the vanes is. Light from most ordinary light sources wiggles up and down, left and right, and diagonally. Before the introduction of electricity, the lighthouse had a clockwork mechanism. How Does A Rotating Light Work.
From www.youtube.com
MOVA Globes A Rotating Solar System Powered By Light YouTube How Does A Rotating Light Work A crookes' radiometer consists of an airtight glass bulb with a partial vacuum and a set of vanes that spin when light is shone on them. Before the introduction of electricity, the lighthouse had a clockwork mechanism that caused the lens to rotate. The spinning of the vanes is. This external layer remains stationary while an internal one spins using. How Does A Rotating Light Work.
From www.exploratorium.edu
Rotating Light Chemistry & Light Science Activity Exploratorium How Does A Rotating Light Work Light from most ordinary light sources wiggles up and down, left and right, and diagonally. This external layer remains stationary while an internal one spins using advanced magnets. The spinning of the vanes is. Your polarizing filter lets through only the light that is vibrating in one particular direction. As the lens rotates, the beams successively pass the view of. How Does A Rotating Light Work.
From www.answersarena.com
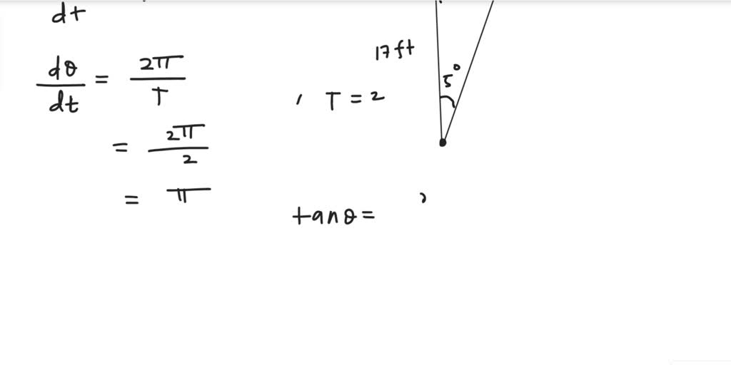
[Solved] A rotating light is located 19 feet from a wall. How Does A Rotating Light Work The spinning of the vanes is. Light from most ordinary light sources wiggles up and down, left and right, and diagonally. The rotation of a mova globe is driven by magnetism and a photoelectric mechanism powered by light. Before the introduction of electricity, the lighthouse had a clockwork mechanism that caused the lens to rotate. As the lens rotates, the. How Does A Rotating Light Work.
From www.youtube.com
How to make a rotating light????very simple YouTube How Does A Rotating Light Work Light from most ordinary light sources wiggles up and down, left and right, and diagonally. A crookes' radiometer consists of an airtight glass bulb with a partial vacuum and a set of vanes that spin when light is shone on them. The spinning of the vanes is. Your polarizing filter lets through only the light that is vibrating in one. How Does A Rotating Light Work.
From kunduz.com
[ANSWERED] A rotating light is located 10 feet from a wall The light How Does A Rotating Light Work As the lens rotates, the beams successively pass the view of the mariner giving what appears as a flash of light followed by darkness. Light from most ordinary light sources wiggles up and down, left and right, and diagonally. This external layer remains stationary while an internal one spins using advanced magnets. Your polarizing filter lets through only the light. How Does A Rotating Light Work.
From www.tme.eu
S100R24A QLIGHT Signaller lighting rotating light; amber; S100 How Does A Rotating Light Work Light from most ordinary light sources wiggles up and down, left and right, and diagonally. Your polarizing filter lets through only the light that is vibrating in one particular direction. The rotation of a mova globe is driven by magnetism and a photoelectric mechanism powered by light. Before the introduction of electricity, the lighthouse had a clockwork mechanism that caused. How Does A Rotating Light Work.
From www.youtube.com
LED Rotating Lighthouse Beacon Remote Controlled Arduino / RGB LED R How Does A Rotating Light Work Light from most ordinary light sources wiggles up and down, left and right, and diagonally. A crookes' radiometer consists of an airtight glass bulb with a partial vacuum and a set of vanes that spin when light is shone on them. This external layer remains stationary while an internal one spins using advanced magnets. Your polarizing filter lets through only. How Does A Rotating Light Work.
From www.harborfreight.com
Rotating LED Worklight How Does A Rotating Light Work The spinning of the vanes is. Light from most ordinary light sources wiggles up and down, left and right, and diagonally. This external layer remains stationary while an internal one spins using advanced magnets. Your polarizing filter lets through only the light that is vibrating in one particular direction. Before the introduction of electricity, the lighthouse had a clockwork mechanism. How Does A Rotating Light Work.
From shellysavonlea.net
Rotating Beacon Light For Lighthouses Shelly Lighting How Does A Rotating Light Work The rotation of a mova globe is driven by magnetism and a photoelectric mechanism powered by light. Your polarizing filter lets through only the light that is vibrating in one particular direction. This external layer remains stationary while an internal one spins using advanced magnets. The spinning of the vanes is. As the lens rotates, the beams successively pass the. How Does A Rotating Light Work.
From www.glow.co.uk
Solar Revolving LED Lighthouse How Does A Rotating Light Work As the lens rotates, the beams successively pass the view of the mariner giving what appears as a flash of light followed by darkness. This external layer remains stationary while an internal one spins using advanced magnets. The spinning of the vanes is. The rotation of a mova globe is driven by magnetism and a photoelectric mechanism powered by light.. How Does A Rotating Light Work.
From www.seekic.com
Rotating & Flashing 230V Lights LED_and_Light_Circuit Circuit How Does A Rotating Light Work The rotation of a mova globe is driven by magnetism and a photoelectric mechanism powered by light. This external layer remains stationary while an internal one spins using advanced magnets. A crookes' radiometer consists of an airtight glass bulb with a partial vacuum and a set of vanes that spin when light is shone on them. As the lens rotates,. How Does A Rotating Light Work.
From www.awelled.com
36WJewelry LED Rotating Light Bring more sparkles for Jewelry How Does A Rotating Light Work As the lens rotates, the beams successively pass the view of the mariner giving what appears as a flash of light followed by darkness. The rotation of a mova globe is driven by magnetism and a photoelectric mechanism powered by light. Light from most ordinary light sources wiggles up and down, left and right, and diagonally. Your polarizing filter lets. How Does A Rotating Light Work.
From www.homemade-circuits.com
Simple LED Circuits Homemade Circuit Projects How Does A Rotating Light Work A crookes' radiometer consists of an airtight glass bulb with a partial vacuum and a set of vanes that spin when light is shone on them. The rotation of a mova globe is driven by magnetism and a photoelectric mechanism powered by light. This external layer remains stationary while an internal one spins using advanced magnets. Before the introduction of. How Does A Rotating Light Work.
From www.exploratorium.edu
Rotating Light Chemistry & Light Science Activity Exploratorium How Does A Rotating Light Work This external layer remains stationary while an internal one spins using advanced magnets. A crookes' radiometer consists of an airtight glass bulb with a partial vacuum and a set of vanes that spin when light is shone on them. Light from most ordinary light sources wiggles up and down, left and right, and diagonally. Before the introduction of electricity, the. How Does A Rotating Light Work.
From www.lxyrc.eu
Engineering rotating light LXYRC How Does A Rotating Light Work Light from most ordinary light sources wiggles up and down, left and right, and diagonally. Before the introduction of electricity, the lighthouse had a clockwork mechanism that caused the lens to rotate. As the lens rotates, the beams successively pass the view of the mariner giving what appears as a flash of light followed by darkness. Your polarizing filter lets. How Does A Rotating Light Work.
From www.mall12.com
Cob Led 3 Watt Rotating Work Light 12 Pieces Unit [5202] 52.50 How Does A Rotating Light Work The rotation of a mova globe is driven by magnetism and a photoelectric mechanism powered by light. A crookes' radiometer consists of an airtight glass bulb with a partial vacuum and a set of vanes that spin when light is shone on them. Before the introduction of electricity, the lighthouse had a clockwork mechanism that caused the lens to rotate.. How Does A Rotating Light Work.
From www.awelled.com
36WJewelry LED Rotating Light Bring more sparkles for Jewelry How Does A Rotating Light Work As the lens rotates, the beams successively pass the view of the mariner giving what appears as a flash of light followed by darkness. The spinning of the vanes is. Before the introduction of electricity, the lighthouse had a clockwork mechanism that caused the lens to rotate. A crookes' radiometer consists of an airtight glass bulb with a partial vacuum. How Does A Rotating Light Work.
From www.youtube.com
How to Make Rotating Light DIY Kids 1st YouTube How Does A Rotating Light Work This external layer remains stationary while an internal one spins using advanced magnets. The rotation of a mova globe is driven by magnetism and a photoelectric mechanism powered by light. As the lens rotates, the beams successively pass the view of the mariner giving what appears as a flash of light followed by darkness. Your polarizing filter lets through only. How Does A Rotating Light Work.
From www.gameassetdeals.com
Rotating and Flashing Light How Does A Rotating Light Work The rotation of a mova globe is driven by magnetism and a photoelectric mechanism powered by light. A crookes' radiometer consists of an airtight glass bulb with a partial vacuum and a set of vanes that spin when light is shone on them. Light from most ordinary light sources wiggles up and down, left and right, and diagonally. The spinning. How Does A Rotating Light Work.
From fineartamerica.com
Rotating Light Source Photograph by Sakkmesterke/science Photo Library How Does A Rotating Light Work The spinning of the vanes is. Your polarizing filter lets through only the light that is vibrating in one particular direction. This external layer remains stationary while an internal one spins using advanced magnets. Before the introduction of electricity, the lighthouse had a clockwork mechanism that caused the lens to rotate. Light from most ordinary light sources wiggles up and. How Does A Rotating Light Work.
From jigoindia.com
A Comprehensive Guide On Revolving Lights How Does A Rotating Light Work Before the introduction of electricity, the lighthouse had a clockwork mechanism that caused the lens to rotate. Light from most ordinary light sources wiggles up and down, left and right, and diagonally. The spinning of the vanes is. As the lens rotates, the beams successively pass the view of the mariner giving what appears as a flash of light followed. How Does A Rotating Light Work.
From www.awelled.com
Jewelry LED rotating light for diamond displayRGB LEDs Roter LED How Does A Rotating Light Work As the lens rotates, the beams successively pass the view of the mariner giving what appears as a flash of light followed by darkness. The spinning of the vanes is. Before the introduction of electricity, the lighthouse had a clockwork mechanism that caused the lens to rotate. The rotation of a mova globe is driven by magnetism and a photoelectric. How Does A Rotating Light Work.
From www.youtube.com
Lighthouse Revolving Beacons / Rotating Lights Lighthouse Man YouTube How Does A Rotating Light Work As the lens rotates, the beams successively pass the view of the mariner giving what appears as a flash of light followed by darkness. Your polarizing filter lets through only the light that is vibrating in one particular direction. Before the introduction of electricity, the lighthouse had a clockwork mechanism that caused the lens to rotate. A crookes' radiometer consists. How Does A Rotating Light Work.
From www.youtube.com
How To Make Rotating Lamp YouTube How Does A Rotating Light Work Your polarizing filter lets through only the light that is vibrating in one particular direction. As the lens rotates, the beams successively pass the view of the mariner giving what appears as a flash of light followed by darkness. The spinning of the vanes is. Light from most ordinary light sources wiggles up and down, left and right, and diagonally.. How Does A Rotating Light Work.
From www.numerade.com
SOLVED A rotating light is located 16 feet from wall The light How Does A Rotating Light Work The rotation of a mova globe is driven by magnetism and a photoelectric mechanism powered by light. A crookes' radiometer consists of an airtight glass bulb with a partial vacuum and a set of vanes that spin when light is shone on them. As the lens rotates, the beams successively pass the view of the mariner giving what appears as. How Does A Rotating Light Work.
From www.youtube.com
automatic rotating light YouTube How Does A Rotating Light Work The spinning of the vanes is. Before the introduction of electricity, the lighthouse had a clockwork mechanism that caused the lens to rotate. A crookes' radiometer consists of an airtight glass bulb with a partial vacuum and a set of vanes that spin when light is shone on them. Light from most ordinary light sources wiggles up and down, left. How Does A Rotating Light Work.
From warisanlighting.com
Light Up the Ambience of Your Room with Rotating lamps Warisan Lighting How Does A Rotating Light Work The spinning of the vanes is. The rotation of a mova globe is driven by magnetism and a photoelectric mechanism powered by light. Light from most ordinary light sources wiggles up and down, left and right, and diagonally. Your polarizing filter lets through only the light that is vibrating in one particular direction. Before the introduction of electricity, the lighthouse. How Does A Rotating Light Work.
From www.youtube.com
Ex Related Rates Rotating Light Projecting on a Wall YouTube How Does A Rotating Light Work Before the introduction of electricity, the lighthouse had a clockwork mechanism that caused the lens to rotate. As the lens rotates, the beams successively pass the view of the mariner giving what appears as a flash of light followed by darkness. A crookes' radiometer consists of an airtight glass bulb with a partial vacuum and a set of vanes that. How Does A Rotating Light Work.
From www.exploratorium.edu
Rotating Light Chemistry & Light Science Activity Exploratorium How Does A Rotating Light Work The spinning of the vanes is. Light from most ordinary light sources wiggles up and down, left and right, and diagonally. Your polarizing filter lets through only the light that is vibrating in one particular direction. This external layer remains stationary while an internal one spins using advanced magnets. A crookes' radiometer consists of an airtight glass bulb with a. How Does A Rotating Light Work.