Propeller Efficiency Advance Ratio . 1 as a function of advance ratio. D is prop diameter, fixed. Parameter called the advance ratio (j = v/nd), where v is the true airspeed in feet per second, n is the propeller rotational speed in revolutions.
from slideplayer.com
1 as a function of advance ratio. D is prop diameter, fixed. Parameter called the advance ratio (j = v/nd), where v is the true airspeed in feet per second, n is the propeller rotational speed in revolutions.
Propulsion PDR AAE 451 Fall 2006 Team Whishy Washy Tung Tran Mark Koch
Propeller Efficiency Advance Ratio Parameter called the advance ratio (j = v/nd), where v is the true airspeed in feet per second, n is the propeller rotational speed in revolutions. D is prop diameter, fixed. Parameter called the advance ratio (j = v/nd), where v is the true airspeed in feet per second, n is the propeller rotational speed in revolutions. 1 as a function of advance ratio.
From www.researchgate.net
Propeller efficiency, thrust and torque coefficients as functions of Propeller Efficiency Advance Ratio D is prop diameter, fixed. 1 as a function of advance ratio. Parameter called the advance ratio (j = v/nd), where v is the true airspeed in feet per second, n is the propeller rotational speed in revolutions. Propeller Efficiency Advance Ratio.
From www.researchgate.net
Propeller model thrust coefficient (C t ), power coefficient (C p Propeller Efficiency Advance Ratio D is prop diameter, fixed. 1 as a function of advance ratio. Parameter called the advance ratio (j = v/nd), where v is the true airspeed in feet per second, n is the propeller rotational speed in revolutions. Propeller Efficiency Advance Ratio.
From digital.library.unt.edu
Charts for Determining Propeller Efficiency Page 26 of 46 UNT Propeller Efficiency Advance Ratio Parameter called the advance ratio (j = v/nd), where v is the true airspeed in feet per second, n is the propeller rotational speed in revolutions. 1 as a function of advance ratio. D is prop diameter, fixed. Propeller Efficiency Advance Ratio.
From www.researchgate.net
Plot of efficiency vs. advance ratio During the design stage, the hub Propeller Efficiency Advance Ratio Parameter called the advance ratio (j = v/nd), where v is the true airspeed in feet per second, n is the propeller rotational speed in revolutions. 1 as a function of advance ratio. D is prop diameter, fixed. Propeller Efficiency Advance Ratio.
From www.researchgate.net
Propeller efficiency with respect to advance ratio and measurement Propeller Efficiency Advance Ratio 1 as a function of advance ratio. D is prop diameter, fixed. Parameter called the advance ratio (j = v/nd), where v is the true airspeed in feet per second, n is the propeller rotational speed in revolutions. Propeller Efficiency Advance Ratio.
From slideplayer.com
Propulsion PDR AAE 451 Team 2 Michael Caldwell Jeff Haddin ppt download Propeller Efficiency Advance Ratio Parameter called the advance ratio (j = v/nd), where v is the true airspeed in feet per second, n is the propeller rotational speed in revolutions. D is prop diameter, fixed. 1 as a function of advance ratio. Propeller Efficiency Advance Ratio.
From slideplayer.com
Propulsion PDR AAE 451 Team 2 Michael Caldwell Jeff Haddin ppt download Propeller Efficiency Advance Ratio Parameter called the advance ratio (j = v/nd), where v is the true airspeed in feet per second, n is the propeller rotational speed in revolutions. 1 as a function of advance ratio. D is prop diameter, fixed. Propeller Efficiency Advance Ratio.
From www.mh-aerotools.de
A Procedure for Propeller Design by Inverse Methods Propeller Efficiency Advance Ratio 1 as a function of advance ratio. Parameter called the advance ratio (j = v/nd), where v is the true airspeed in feet per second, n is the propeller rotational speed in revolutions. D is prop diameter, fixed. Propeller Efficiency Advance Ratio.
From www.researchgate.net
Propeller efficiency as a function of Advance Ratio for different blade Propeller Efficiency Advance Ratio Parameter called the advance ratio (j = v/nd), where v is the true airspeed in feet per second, n is the propeller rotational speed in revolutions. 1 as a function of advance ratio. D is prop diameter, fixed. Propeller Efficiency Advance Ratio.
From present5.com
AER 710 Aerospace Propulsion Introduction Propellers Internal Combustion Propeller Efficiency Advance Ratio 1 as a function of advance ratio. Parameter called the advance ratio (j = v/nd), where v is the true airspeed in feet per second, n is the propeller rotational speed in revolutions. D is prop diameter, fixed. Propeller Efficiency Advance Ratio.
From www.mdpi.com
Sensors Free FullText Wind Tunnel Performance Tests of the Propeller Efficiency Advance Ratio 1 as a function of advance ratio. Parameter called the advance ratio (j = v/nd), where v is the true airspeed in feet per second, n is the propeller rotational speed in revolutions. D is prop diameter, fixed. Propeller Efficiency Advance Ratio.
From www.researchgate.net
Typical propeller efficiency map. Bold line depicts approximate stall Propeller Efficiency Advance Ratio Parameter called the advance ratio (j = v/nd), where v is the true airspeed in feet per second, n is the propeller rotational speed in revolutions. 1 as a function of advance ratio. D is prop diameter, fixed. Propeller Efficiency Advance Ratio.
From www.researchgate.net
Efficiency of the propeller as a function of advance coefficient for Propeller Efficiency Advance Ratio D is prop diameter, fixed. Parameter called the advance ratio (j = v/nd), where v is the true airspeed in feet per second, n is the propeller rotational speed in revolutions. 1 as a function of advance ratio. Propeller Efficiency Advance Ratio.
From slideplayer.com
Team 5 Propulsion PDR Scott Bird Mike Downes Kelby Haase Grant Hile Propeller Efficiency Advance Ratio D is prop diameter, fixed. 1 as a function of advance ratio. Parameter called the advance ratio (j = v/nd), where v is the true airspeed in feet per second, n is the propeller rotational speed in revolutions. Propeller Efficiency Advance Ratio.
From www.researchgate.net
Thrust coefficient as a function of the advance ratio for the tested Propeller Efficiency Advance Ratio Parameter called the advance ratio (j = v/nd), where v is the true airspeed in feet per second, n is the propeller rotational speed in revolutions. 1 as a function of advance ratio. D is prop diameter, fixed. Propeller Efficiency Advance Ratio.
From www.numerade.com
SOLVED Calculate the ideal efficiency of an Otto Cycle engine with Propeller Efficiency Advance Ratio Parameter called the advance ratio (j = v/nd), where v is the true airspeed in feet per second, n is the propeller rotational speed in revolutions. D is prop diameter, fixed. 1 as a function of advance ratio. Propeller Efficiency Advance Ratio.
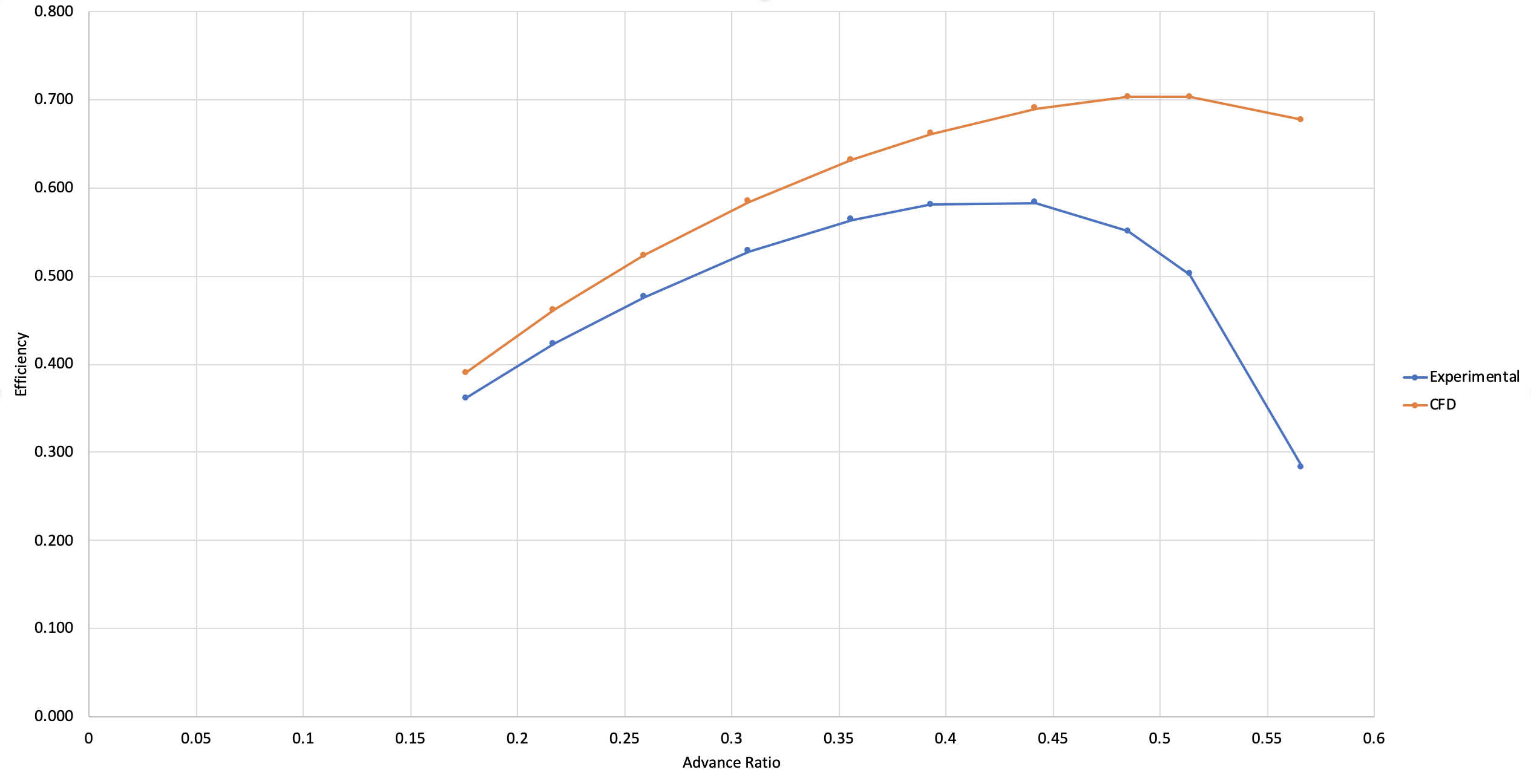
From www.simscale.com
Large Errors in Propeller Efficiency vs Experimental Values Project Propeller Efficiency Advance Ratio D is prop diameter, fixed. 1 as a function of advance ratio. Parameter called the advance ratio (j = v/nd), where v is the true airspeed in feet per second, n is the propeller rotational speed in revolutions. Propeller Efficiency Advance Ratio.
From www.researchgate.net
(PDF) Propeller Performance at Low Advance Ratio Propeller Efficiency Advance Ratio Parameter called the advance ratio (j = v/nd), where v is the true airspeed in feet per second, n is the propeller rotational speed in revolutions. 1 as a function of advance ratio. D is prop diameter, fixed. Propeller Efficiency Advance Ratio.
From www.researchgate.net
Diagram of the efficiency of the propeller used in measurements as a Propeller Efficiency Advance Ratio 1 as a function of advance ratio. D is prop diameter, fixed. Parameter called the advance ratio (j = v/nd), where v is the true airspeed in feet per second, n is the propeller rotational speed in revolutions. Propeller Efficiency Advance Ratio.
From aerotrash.over-blog.com
2blade vs 3blade and 4blade propellers Aerotrash Propeller Efficiency Advance Ratio 1 as a function of advance ratio. D is prop diameter, fixed. Parameter called the advance ratio (j = v/nd), where v is the true airspeed in feet per second, n is the propeller rotational speed in revolutions. Propeller Efficiency Advance Ratio.
From www.eng-tips.com
selection of airfoil and sizing of propeller Aircraft engineering Propeller Efficiency Advance Ratio 1 as a function of advance ratio. Parameter called the advance ratio (j = v/nd), where v is the true airspeed in feet per second, n is the propeller rotational speed in revolutions. D is prop diameter, fixed. Propeller Efficiency Advance Ratio.
From www.slideserve.com
PPT Propulsion PDR PowerPoint Presentation, free download ID3958221 Propeller Efficiency Advance Ratio D is prop diameter, fixed. Parameter called the advance ratio (j = v/nd), where v is the true airspeed in feet per second, n is the propeller rotational speed in revolutions. 1 as a function of advance ratio. Propeller Efficiency Advance Ratio.
From eng-web1.eng.famu.fsu.edu
Propulsion Efficiency Propeller Efficiency Advance Ratio Parameter called the advance ratio (j = v/nd), where v is the true airspeed in feet per second, n is the propeller rotational speed in revolutions. 1 as a function of advance ratio. D is prop diameter, fixed. Propeller Efficiency Advance Ratio.
From slideplayer.com
Propulsion PDR AAE 451 Fall 2006 Team Whishy Washy Tung Tran Mark Koch Propeller Efficiency Advance Ratio 1 as a function of advance ratio. D is prop diameter, fixed. Parameter called the advance ratio (j = v/nd), where v is the true airspeed in feet per second, n is the propeller rotational speed in revolutions. Propeller Efficiency Advance Ratio.
From www.researchgate.net
C P versus advance ratio for propeller 4102. Download Scientific Diagram Propeller Efficiency Advance Ratio 1 as a function of advance ratio. D is prop diameter, fixed. Parameter called the advance ratio (j = v/nd), where v is the true airspeed in feet per second, n is the propeller rotational speed in revolutions. Propeller Efficiency Advance Ratio.
From www.youtube.com
Propeller Advance Ratio YouTube Propeller Efficiency Advance Ratio Parameter called the advance ratio (j = v/nd), where v is the true airspeed in feet per second, n is the propeller rotational speed in revolutions. D is prop diameter, fixed. 1 as a function of advance ratio. Propeller Efficiency Advance Ratio.
From www.mh-aerotools.de
A Procedure for Propeller Design by Inverse Methods Propeller Efficiency Advance Ratio 1 as a function of advance ratio. D is prop diameter, fixed. Parameter called the advance ratio (j = v/nd), where v is the true airspeed in feet per second, n is the propeller rotational speed in revolutions. Propeller Efficiency Advance Ratio.
From www.researchgate.net
Propeller thrust K T and torque K Q as function of advance ratio J Propeller Efficiency Advance Ratio 1 as a function of advance ratio. D is prop diameter, fixed. Parameter called the advance ratio (j = v/nd), where v is the true airspeed in feet per second, n is the propeller rotational speed in revolutions. Propeller Efficiency Advance Ratio.
From fluiddynamicscomputer.blogspot.com
Fluid Dynamics using the Computer 11x7 Aeronautic Propeller Propeller Efficiency Advance Ratio 1 as a function of advance ratio. Parameter called the advance ratio (j = v/nd), where v is the true airspeed in feet per second, n is the propeller rotational speed in revolutions. D is prop diameter, fixed. Propeller Efficiency Advance Ratio.
From www.mdpi.com
Energies Free FullText Improve Ship Propeller Efficiency via Propeller Efficiency Advance Ratio 1 as a function of advance ratio. D is prop diameter, fixed. Parameter called the advance ratio (j = v/nd), where v is the true airspeed in feet per second, n is the propeller rotational speed in revolutions. Propeller Efficiency Advance Ratio.
From www.researchgate.net
CW and CCW propeller propulsive efficiency η p variation with advance Propeller Efficiency Advance Ratio D is prop diameter, fixed. Parameter called the advance ratio (j = v/nd), where v is the true airspeed in feet per second, n is the propeller rotational speed in revolutions. 1 as a function of advance ratio. Propeller Efficiency Advance Ratio.
From dudugyi.blogspot.com
ဒူဒူႀကီး Propeller Efficiency Mathematical Analysis Propeller Efficiency Advance Ratio D is prop diameter, fixed. Parameter called the advance ratio (j = v/nd), where v is the true airspeed in feet per second, n is the propeller rotational speed in revolutions. 1 as a function of advance ratio. Propeller Efficiency Advance Ratio.
From www.researchgate.net
Propeller Efficiency Per Advance Ratio [14] Download Scientific Diagram Propeller Efficiency Advance Ratio Parameter called the advance ratio (j = v/nd), where v is the true airspeed in feet per second, n is the propeller rotational speed in revolutions. D is prop diameter, fixed. 1 as a function of advance ratio. Propeller Efficiency Advance Ratio.
From www.researchgate.net
Thrust coefficient cT v/s advance ratio for the selected propeller Propeller Efficiency Advance Ratio 1 as a function of advance ratio. D is prop diameter, fixed. Parameter called the advance ratio (j = v/nd), where v is the true airspeed in feet per second, n is the propeller rotational speed in revolutions. Propeller Efficiency Advance Ratio.
From www.researchgate.net
Propeller advance ratio (left) and propeller efficiency (right) for Propeller Efficiency Advance Ratio D is prop diameter, fixed. Parameter called the advance ratio (j = v/nd), where v is the true airspeed in feet per second, n is the propeller rotational speed in revolutions. 1 as a function of advance ratio. Propeller Efficiency Advance Ratio.