What Is Considered Open Burning In Ohio . open burning is any time you light an outdoor fire without a chimney or stack. ohio revised code 1503.18 prohibits most open burning in unincorporated areas in march, april, may, october, and november. Ohio epa has the authority to enforce the state’s open burning laws. ohio epa has the authority to enforce the state's open burning laws. The brochure can be found on. Under ohio law, these materials may not be burned anywhere in the state at any time: When burning refuse in burn barrels or open. Violations can result in substantial penalties. Violations can result in substantial. burning of any structure in ohio is considered open burning and requires submittal of a written application for. what open burning is never allowed?
from www.sciotopost.com
Under ohio law, these materials may not be burned anywhere in the state at any time: Violations can result in substantial. When burning refuse in burn barrels or open. Violations can result in substantial penalties. ohio epa has the authority to enforce the state's open burning laws. burning of any structure in ohio is considered open burning and requires submittal of a written application for. open burning is any time you light an outdoor fire without a chimney or stack. The brochure can be found on. ohio revised code 1503.18 prohibits most open burning in unincorporated areas in march, april, may, october, and november. Ohio epa has the authority to enforce the state’s open burning laws.
Ohio Burn Ban Starts Today Statewide Scioto Post
What Is Considered Open Burning In Ohio ohio revised code 1503.18 prohibits most open burning in unincorporated areas in march, april, may, october, and november. ohio revised code 1503.18 prohibits most open burning in unincorporated areas in march, april, may, october, and november. When burning refuse in burn barrels or open. Under ohio law, these materials may not be burned anywhere in the state at any time: ohio epa has the authority to enforce the state's open burning laws. burning of any structure in ohio is considered open burning and requires submittal of a written application for. Ohio epa has the authority to enforce the state’s open burning laws. Violations can result in substantial. The brochure can be found on. what open burning is never allowed? open burning is any time you light an outdoor fire without a chimney or stack. Violations can result in substantial penalties.
From www.cantonohio.gov
Open Burning Rules Canton, OH What Is Considered Open Burning In Ohio ohio revised code 1503.18 prohibits most open burning in unincorporated areas in march, april, may, october, and november. Ohio epa has the authority to enforce the state’s open burning laws. what open burning is never allowed? ohio epa has the authority to enforce the state's open burning laws. When burning refuse in burn barrels or open. . What Is Considered Open Burning In Ohio.
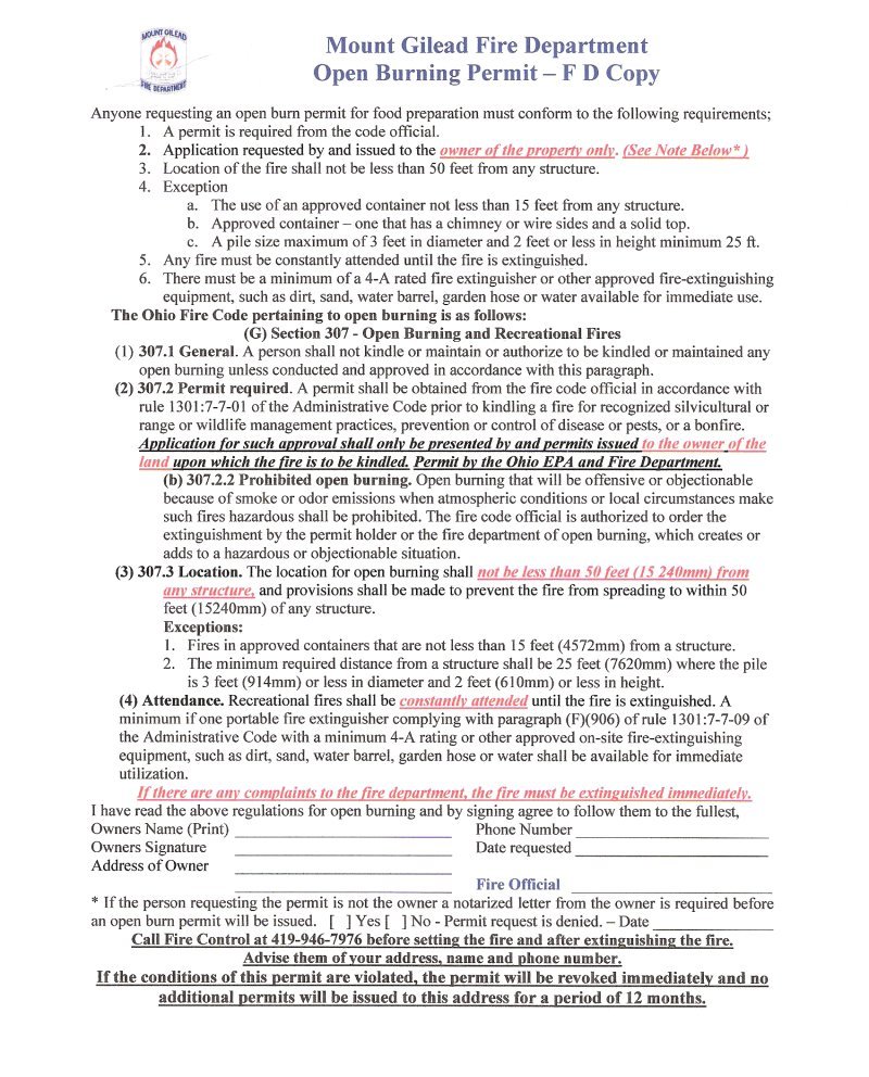
From www.mountgilead.net
Open Burning Permit, Morrow county, Mount. Gilead What Is Considered Open Burning In Ohio Violations can result in substantial. what open burning is never allowed? The brochure can be found on. Under ohio law, these materials may not be burned anywhere in the state at any time: ohio epa has the authority to enforce the state's open burning laws. burning of any structure in ohio is considered open burning and requires. What Is Considered Open Burning In Ohio.
From www.cantontwp-oh.gov
Open burn guidelines Canton Township, Ohio What Is Considered Open Burning In Ohio ohio revised code 1503.18 prohibits most open burning in unincorporated areas in march, april, may, october, and november. ohio epa has the authority to enforce the state's open burning laws. burning of any structure in ohio is considered open burning and requires submittal of a written application for. open burning is any time you light an. What Is Considered Open Burning In Ohio.
From www.cityofwillowick.com
CITY OF WILLOWICK OPEN BURNING REGULATIONS Willowick Ohio What Is Considered Open Burning In Ohio open burning is any time you light an outdoor fire without a chimney or stack. When burning refuse in burn barrels or open. what open burning is never allowed? Violations can result in substantial penalties. burning of any structure in ohio is considered open burning and requires submittal of a written application for. ohio revised code. What Is Considered Open Burning In Ohio.
From montvilletwp.net
Ohio Open Burning Regulations Montville Township What Is Considered Open Burning In Ohio Violations can result in substantial penalties. When burning refuse in burn barrels or open. Ohio epa has the authority to enforce the state’s open burning laws. burning of any structure in ohio is considered open burning and requires submittal of a written application for. The brochure can be found on. Under ohio law, these materials may not be burned. What Is Considered Open Burning In Ohio.
From www.slideserve.com
PPT Open Burning PowerPoint Presentation, free download ID6532751 What Is Considered Open Burning In Ohio The brochure can be found on. Violations can result in substantial. burning of any structure in ohio is considered open burning and requires submittal of a written application for. Ohio epa has the authority to enforce the state’s open burning laws. what open burning is never allowed? Under ohio law, these materials may not be burned anywhere in. What Is Considered Open Burning In Ohio.
From www.wauseonfire.com
Open Burning Wauseon Fire Department What Is Considered Open Burning In Ohio Violations can result in substantial penalties. what open burning is never allowed? open burning is any time you light an outdoor fire without a chimney or stack. Violations can result in substantial. ohio revised code 1503.18 prohibits most open burning in unincorporated areas in march, april, may, october, and november. When burning refuse in burn barrels or. What Is Considered Open Burning In Ohio.
From www.youtube.com
Burning man Ohio Style YouTube What Is Considered Open Burning In Ohio The brochure can be found on. ohio revised code 1503.18 prohibits most open burning in unincorporated areas in march, april, may, october, and november. When burning refuse in burn barrels or open. Violations can result in substantial penalties. Ohio epa has the authority to enforce the state’s open burning laws. Under ohio law, these materials may not be burned. What Is Considered Open Burning In Ohio.
From www.broadview-heights.org
Burning Regulations Broadview Heights, OH Official site What Is Considered Open Burning In Ohio ohio epa has the authority to enforce the state's open burning laws. burning of any structure in ohio is considered open burning and requires submittal of a written application for. The brochure can be found on. ohio revised code 1503.18 prohibits most open burning in unincorporated areas in march, april, may, october, and november. Violations can result. What Is Considered Open Burning In Ohio.
From www.signnow.com
Oh Open Burning Permit Township Complete with ease airSlate SignNow What Is Considered Open Burning In Ohio ohio revised code 1503.18 prohibits most open burning in unincorporated areas in march, april, may, october, and november. The brochure can be found on. Ohio epa has the authority to enforce the state’s open burning laws. Violations can result in substantial penalties. what open burning is never allowed? ohio epa has the authority to enforce the state's. What Is Considered Open Burning In Ohio.
From www.slideserve.com
PPT Open Burning PowerPoint Presentation, free download ID838614 What Is Considered Open Burning In Ohio The brochure can be found on. what open burning is never allowed? Under ohio law, these materials may not be burned anywhere in the state at any time: ohio revised code 1503.18 prohibits most open burning in unincorporated areas in march, april, may, october, and november. When burning refuse in burn barrels or open. Violations can result in. What Is Considered Open Burning In Ohio.
From www.ashlandcountysheriff.org
Before You Light It... Know Ohio’s Open Burning Regulations — Ashland What Is Considered Open Burning In Ohio The brochure can be found on. Violations can result in substantial penalties. ohio revised code 1503.18 prohibits most open burning in unincorporated areas in march, april, may, october, and november. burning of any structure in ohio is considered open burning and requires submittal of a written application for. When burning refuse in burn barrels or open. Under ohio. What Is Considered Open Burning In Ohio.
From www.sciotopost.com
Ohio Burn Ban Starts Today Statewide Scioto Post What Is Considered Open Burning In Ohio Violations can result in substantial penalties. Under ohio law, these materials may not be burned anywhere in the state at any time: burning of any structure in ohio is considered open burning and requires submittal of a written application for. ohio epa has the authority to enforce the state's open burning laws. The brochure can be found on.. What Is Considered Open Burning In Ohio.
From jgpr.net
Canton Fire Department Announces Information on 2021 Open Burning What Is Considered Open Burning In Ohio When burning refuse in burn barrels or open. Under ohio law, these materials may not be burned anywhere in the state at any time: ohio revised code 1503.18 prohibits most open burning in unincorporated areas in march, april, may, october, and november. open burning is any time you light an outdoor fire without a chimney or stack. . What Is Considered Open Burning In Ohio.
From www.cantontwp-oh.gov
Open burn guidelines Canton Township, Ohio What Is Considered Open Burning In Ohio When burning refuse in burn barrels or open. Violations can result in substantial. ohio revised code 1503.18 prohibits most open burning in unincorporated areas in march, april, may, october, and november. Under ohio law, these materials may not be burned anywhere in the state at any time: The brochure can be found on. burning of any structure in. What Is Considered Open Burning In Ohio.
From www.slideserve.com
PPT Open Burning PowerPoint Presentation, free download ID6532751 What Is Considered Open Burning In Ohio Violations can result in substantial. Violations can result in substantial penalties. burning of any structure in ohio is considered open burning and requires submittal of a written application for. ohio revised code 1503.18 prohibits most open burning in unincorporated areas in march, april, may, october, and november. what open burning is never allowed? open burning is. What Is Considered Open Burning In Ohio.
From www.youtube.com
Open Burning YouTube What Is Considered Open Burning In Ohio ohio revised code 1503.18 prohibits most open burning in unincorporated areas in march, april, may, october, and november. open burning is any time you light an outdoor fire without a chimney or stack. what open burning is never allowed? Under ohio law, these materials may not be burned anywhere in the state at any time: Violations can. What Is Considered Open Burning In Ohio.
From www.northmetrofire.org
Open Burns North Metro Fire Rescue District, CO What Is Considered Open Burning In Ohio burning of any structure in ohio is considered open burning and requires submittal of a written application for. open burning is any time you light an outdoor fire without a chimney or stack. When burning refuse in burn barrels or open. Under ohio law, these materials may not be burned anywhere in the state at any time: Violations. What Is Considered Open Burning In Ohio.
From health.mesacounty.us
Open Burn Season begins September 1 Mesa County Public Health What Is Considered Open Burning In Ohio what open burning is never allowed? burning of any structure in ohio is considered open burning and requires submittal of a written application for. The brochure can be found on. Violations can result in substantial. Under ohio law, these materials may not be burned anywhere in the state at any time: ohio revised code 1503.18 prohibits most. What Is Considered Open Burning In Ohio.
From cityofmentor.com
Open Burning Ban in Mentor Until Further Notice City of Mentor, Ohio What Is Considered Open Burning In Ohio what open burning is never allowed? Under ohio law, these materials may not be burned anywhere in the state at any time: ohio revised code 1503.18 prohibits most open burning in unincorporated areas in march, april, may, october, and november. open burning is any time you light an outdoor fire without a chimney or stack. The brochure. What Is Considered Open Burning In Ohio.
From www.youtube.com
Open burning banned in Ohio for the next couple of months YouTube What Is Considered Open Burning In Ohio ohio epa has the authority to enforce the state's open burning laws. Violations can result in substantial. Violations can result in substantial penalties. what open burning is never allowed? ohio revised code 1503.18 prohibits most open burning in unincorporated areas in march, april, may, october, and november. Under ohio law, these materials may not be burned anywhere. What Is Considered Open Burning In Ohio.
From www.mountgilead.net
Ohio Open Burning Regulations What Is Considered Open Burning In Ohio what open burning is never allowed? Under ohio law, these materials may not be burned anywhere in the state at any time: ohio revised code 1503.18 prohibits most open burning in unincorporated areas in march, april, may, october, and november. The brochure can be found on. Ohio epa has the authority to enforce the state’s open burning laws.. What Is Considered Open Burning In Ohio.
From www.wkbn.com
Open burning banned in Ohio for the next couple of months What Is Considered Open Burning In Ohio When burning refuse in burn barrels or open. ohio epa has the authority to enforce the state's open burning laws. ohio revised code 1503.18 prohibits most open burning in unincorporated areas in march, april, may, october, and november. burning of any structure in ohio is considered open burning and requires submittal of a written application for. . What Is Considered Open Burning In Ohio.
From fergusnow.com
Effective This Morning Open Burning Including Recreational Camp Fires What Is Considered Open Burning In Ohio Violations can result in substantial penalties. Ohio epa has the authority to enforce the state’s open burning laws. Under ohio law, these materials may not be burned anywhere in the state at any time: The brochure can be found on. what open burning is never allowed? When burning refuse in burn barrels or open. open burning is any. What Is Considered Open Burning In Ohio.
From www.peakofohio.com
Don’t Let Your World Go Up in Smoke Understanding Ohio’s Burn Ban What Is Considered Open Burning In Ohio open burning is any time you light an outdoor fire without a chimney or stack. burning of any structure in ohio is considered open burning and requires submittal of a written application for. Violations can result in substantial penalties. When burning refuse in burn barrels or open. ohio revised code 1503.18 prohibits most open burning in unincorporated. What Is Considered Open Burning In Ohio.
From www.nytimes.com
Toxic Fumes Released From Train That Derailed in Ohio to Avoid What Is Considered Open Burning In Ohio ohio revised code 1503.18 prohibits most open burning in unincorporated areas in march, april, may, october, and november. When burning refuse in burn barrels or open. what open burning is never allowed? ohio epa has the authority to enforce the state's open burning laws. Violations can result in substantial. Violations can result in substantial penalties. The brochure. What Is Considered Open Burning In Ohio.
From ofbf.org
Rules regarding open burning Ohio Farm Bureau What Is Considered Open Burning In Ohio what open burning is never allowed? The brochure can be found on. Ohio epa has the authority to enforce the state’s open burning laws. Violations can result in substantial. Violations can result in substantial penalties. burning of any structure in ohio is considered open burning and requires submittal of a written application for. ohio epa has the. What Is Considered Open Burning In Ohio.
From abcnews.go.com
Ohio train derailment Evacuation order lifted, residents can return What Is Considered Open Burning In Ohio Violations can result in substantial penalties. Under ohio law, these materials may not be burned anywhere in the state at any time: Violations can result in substantial. open burning is any time you light an outdoor fire without a chimney or stack. what open burning is never allowed? ohio revised code 1503.18 prohibits most open burning in. What Is Considered Open Burning In Ohio.
From www.choosedeerfield.com
Government Fire & EMS Open Burning What Is Considered Open Burning In Ohio burning of any structure in ohio is considered open burning and requires submittal of a written application for. open burning is any time you light an outdoor fire without a chimney or stack. Violations can result in substantial. what open burning is never allowed? Violations can result in substantial penalties. Ohio epa has the authority to enforce. What Is Considered Open Burning In Ohio.
From www.dep.wv.gov
Open Burning Brochure What Is Considered Open Burning In Ohio Ohio epa has the authority to enforce the state’s open burning laws. what open burning is never allowed? The brochure can be found on. Violations can result in substantial. Violations can result in substantial penalties. ohio epa has the authority to enforce the state's open burning laws. When burning refuse in burn barrels or open. Under ohio law,. What Is Considered Open Burning In Ohio.
From ci.carroll.oh.us
Village of Carroll in Fairfield County, Ohio What Is Considered Open Burning In Ohio open burning is any time you light an outdoor fire without a chimney or stack. When burning refuse in burn barrels or open. Violations can result in substantial penalties. The brochure can be found on. Under ohio law, these materials may not be burned anywhere in the state at any time: ohio epa has the authority to enforce. What Is Considered Open Burning In Ohio.
From wrightstown.us
Open Burning Permit Application Village of Wrightstown What Is Considered Open Burning In Ohio what open burning is never allowed? When burning refuse in burn barrels or open. Violations can result in substantial penalties. ohio epa has the authority to enforce the state's open burning laws. open burning is any time you light an outdoor fire without a chimney or stack. burning of any structure in ohio is considered open. What Is Considered Open Burning In Ohio.
From www.mountgilead.net
Ohio Open Burning Regulations What Is Considered Open Burning In Ohio ohio epa has the authority to enforce the state's open burning laws. open burning is any time you light an outdoor fire without a chimney or stack. Violations can result in substantial penalties. Ohio epa has the authority to enforce the state’s open burning laws. Under ohio law, these materials may not be burned anywhere in the state. What Is Considered Open Burning In Ohio.
From www.countrysidefire.com
Open Burning Regulations Countryside Fire Protection District What Is Considered Open Burning In Ohio Violations can result in substantial. open burning is any time you light an outdoor fire without a chimney or stack. Ohio epa has the authority to enforce the state’s open burning laws. The brochure can be found on. Violations can result in substantial penalties. Under ohio law, these materials may not be burned anywhere in the state at any. What Is Considered Open Burning In Ohio.
From www.buncombecounty.org
County Center County Fire Marshal Issues Open Burning Ban What Is Considered Open Burning In Ohio Violations can result in substantial penalties. open burning is any time you light an outdoor fire without a chimney or stack. Ohio epa has the authority to enforce the state’s open burning laws. ohio epa has the authority to enforce the state's open burning laws. what open burning is never allowed? Violations can result in substantial. Under. What Is Considered Open Burning In Ohio.