Are Circle Graphs Polynomial Functions . Understand the relationship between degree and. Equation of a circle when it is expressed as a polynomial. Learn how to write and graph the equation of a circle in standard form and. In this section we discuss graphing circles. We introduce the standard form of the circle and show how to use completing the square to put an equation of a circle into standard. Find zeros, multiplicities, end behavior, and turning points of. A circle is not a function because it does not pass the vertical line test. Learn how to recognize, graph, and analyze polynomial functions. Sometimes, the equation of a circle is expressed as a polynomial in the expanded form. Learn how to identify zeros, multiplicity, and end behavior of polynomial functions from their graphs. See examples of polynomial functions of different degrees and how to write their equations from. Learn how to identify zeros and their multiplicities from graphs or equations of polynomial functions.
from www.pinterest.ph
Learn how to identify zeros, multiplicity, and end behavior of polynomial functions from their graphs. Equation of a circle when it is expressed as a polynomial. We introduce the standard form of the circle and show how to use completing the square to put an equation of a circle into standard. A circle is not a function because it does not pass the vertical line test. Learn how to write and graph the equation of a circle in standard form and. Find zeros, multiplicities, end behavior, and turning points of. See examples of polynomial functions of different degrees and how to write their equations from. Learn how to recognize, graph, and analyze polynomial functions. In this section we discuss graphing circles. Sometimes, the equation of a circle is expressed as a polynomial in the expanded form.
Different Types of Polynomial Function and their Graph Polynomial
Are Circle Graphs Polynomial Functions Equation of a circle when it is expressed as a polynomial. Sometimes, the equation of a circle is expressed as a polynomial in the expanded form. Find zeros, multiplicities, end behavior, and turning points of. See examples of polynomial functions of different degrees and how to write their equations from. In this section we discuss graphing circles. Learn how to identify zeros, multiplicity, and end behavior of polynomial functions from their graphs. Learn how to recognize, graph, and analyze polynomial functions. A circle is not a function because it does not pass the vertical line test. Understand the relationship between degree and. Equation of a circle when it is expressed as a polynomial. Learn how to identify zeros and their multiplicities from graphs or equations of polynomial functions. Learn how to write and graph the equation of a circle in standard form and. We introduce the standard form of the circle and show how to use completing the square to put an equation of a circle into standard.
From study.com
How to Graph a Circle from its Standard Equation Geometry Are Circle Graphs Polynomial Functions Learn how to identify zeros, multiplicity, and end behavior of polynomial functions from their graphs. A circle is not a function because it does not pass the vertical line test. Learn how to recognize, graph, and analyze polynomial functions. Find zeros, multiplicities, end behavior, and turning points of. Sometimes, the equation of a circle is expressed as a polynomial in. Are Circle Graphs Polynomial Functions.
From www.tentotwelvemath.com
Polynomials Introduction Are Circle Graphs Polynomial Functions Learn how to write and graph the equation of a circle in standard form and. We introduce the standard form of the circle and show how to use completing the square to put an equation of a circle into standard. In this section we discuss graphing circles. Learn how to identify zeros, multiplicity, and end behavior of polynomial functions from. Are Circle Graphs Polynomial Functions.
From www.youtube.com
Circles Equations and Graphs YouTube Are Circle Graphs Polynomial Functions Learn how to identify zeros and their multiplicities from graphs or equations of polynomial functions. Learn how to write and graph the equation of a circle in standard form and. We introduce the standard form of the circle and show how to use completing the square to put an equation of a circle into standard. Sometimes, the equation of a. Are Circle Graphs Polynomial Functions.
From www.youtube.com
Polynomial Functions Turning Points YouTube Are Circle Graphs Polynomial Functions In this section we discuss graphing circles. Learn how to recognize, graph, and analyze polynomial functions. Learn how to write and graph the equation of a circle in standard form and. Learn how to identify zeros and their multiplicities from graphs or equations of polynomial functions. Equation of a circle when it is expressed as a polynomial. See examples of. Are Circle Graphs Polynomial Functions.
From www.geogebra.org
polynomial with complex coefficients GeoGebra Are Circle Graphs Polynomial Functions Sometimes, the equation of a circle is expressed as a polynomial in the expanded form. Learn how to recognize, graph, and analyze polynomial functions. See examples of polynomial functions of different degrees and how to write their equations from. Find zeros, multiplicities, end behavior, and turning points of. A circle is not a function because it does not pass the. Are Circle Graphs Polynomial Functions.
From www.javatpoint.com
Defining a Circle using Polynomial Method javatpoint Are Circle Graphs Polynomial Functions See examples of polynomial functions of different degrees and how to write their equations from. Equation of a circle when it is expressed as a polynomial. In this section we discuss graphing circles. Understand the relationship between degree and. We introduce the standard form of the circle and show how to use completing the square to put an equation of. Are Circle Graphs Polynomial Functions.
From www.youtube.com
Graphs of Polynomial Functions • [3.1] PRECALCULUS 12 YouTube Are Circle Graphs Polynomial Functions See examples of polynomial functions of different degrees and how to write their equations from. Find zeros, multiplicities, end behavior, and turning points of. Learn how to identify zeros and their multiplicities from graphs or equations of polynomial functions. In this section we discuss graphing circles. Equation of a circle when it is expressed as a polynomial. Sometimes, the equation. Are Circle Graphs Polynomial Functions.
From www.mathbootcamps.com
Finding the zeros of a polynomial from a graph MathBootCamps Are Circle Graphs Polynomial Functions Find zeros, multiplicities, end behavior, and turning points of. Sometimes, the equation of a circle is expressed as a polynomial in the expanded form. Understand the relationship between degree and. A circle is not a function because it does not pass the vertical line test. Learn how to identify zeros and their multiplicities from graphs or equations of polynomial functions.. Are Circle Graphs Polynomial Functions.
From owlcation.com
How to Graph a Circle Given a General or Standard Equation Owlcation Are Circle Graphs Polynomial Functions See examples of polynomial functions of different degrees and how to write their equations from. Learn how to identify zeros and their multiplicities from graphs or equations of polynomial functions. Learn how to identify zeros, multiplicity, and end behavior of polynomial functions from their graphs. A circle is not a function because it does not pass the vertical line test.. Are Circle Graphs Polynomial Functions.
From owlcation.com
How to Graph a Circle Given a General or Standard Equation Owlcation Are Circle Graphs Polynomial Functions Learn how to write and graph the equation of a circle in standard form and. Learn how to identify zeros and their multiplicities from graphs or equations of polynomial functions. In this section we discuss graphing circles. Understand the relationship between degree and. Find zeros, multiplicities, end behavior, and turning points of. Equation of a circle when it is expressed. Are Circle Graphs Polynomial Functions.
From www.pinterest.at
48 Different Types of Functions and their Graphs list Are Circle Graphs Polynomial Functions Learn how to write and graph the equation of a circle in standard form and. We introduce the standard form of the circle and show how to use completing the square to put an equation of a circle into standard. In this section we discuss graphing circles. Learn how to identify zeros, multiplicity, and end behavior of polynomial functions from. Are Circle Graphs Polynomial Functions.
From www.youtube.com
28 Chromatic Polynomial in Graph Theory with Example Are Circle Graphs Polynomial Functions Learn how to write and graph the equation of a circle in standard form and. Find zeros, multiplicities, end behavior, and turning points of. A circle is not a function because it does not pass the vertical line test. Understand the relationship between degree and. See examples of polynomial functions of different degrees and how to write their equations from.. Are Circle Graphs Polynomial Functions.
From mmerevise.co.uk
Circle Graphs and Tangents Worksheets Questions and Revision MME Are Circle Graphs Polynomial Functions Sometimes, the equation of a circle is expressed as a polynomial in the expanded form. Learn how to identify zeros, multiplicity, and end behavior of polynomial functions from their graphs. We introduce the standard form of the circle and show how to use completing the square to put an equation of a circle into standard. Learn how to recognize, graph,. Are Circle Graphs Polynomial Functions.
From www.researchgate.net
Roots of characteristic polynomial within the unit circle Download Are Circle Graphs Polynomial Functions A circle is not a function because it does not pass the vertical line test. Sometimes, the equation of a circle is expressed as a polynomial in the expanded form. See examples of polynomial functions of different degrees and how to write their equations from. Equation of a circle when it is expressed as a polynomial. Learn how to identify. Are Circle Graphs Polynomial Functions.
From thirdspacelearning.com
Circle Graph GCSE Maths Steps, Examples & Worksheet Are Circle Graphs Polynomial Functions See examples of polynomial functions of different degrees and how to write their equations from. Learn how to recognize, graph, and analyze polynomial functions. Learn how to identify zeros, multiplicity, and end behavior of polynomial functions from their graphs. In this section we discuss graphing circles. Find zeros, multiplicities, end behavior, and turning points of. We introduce the standard form. Are Circle Graphs Polynomial Functions.
From thirdspacelearning.com
Circle Graph GCSE Maths Steps, Examples & Worksheet Are Circle Graphs Polynomial Functions Find zeros, multiplicities, end behavior, and turning points of. Learn how to identify zeros and their multiplicities from graphs or equations of polynomial functions. Understand the relationship between degree and. Learn how to write and graph the equation of a circle in standard form and. We introduce the standard form of the circle and show how to use completing the. Are Circle Graphs Polynomial Functions.
From math.icalculator.com
Equation of a Circle when it is expressed as a Polynomial iCalculato Are Circle Graphs Polynomial Functions We introduce the standard form of the circle and show how to use completing the square to put an equation of a circle into standard. Learn how to identify zeros and their multiplicities from graphs or equations of polynomial functions. Understand the relationship between degree and. Equation of a circle when it is expressed as a polynomial. Find zeros, multiplicities,. Are Circle Graphs Polynomial Functions.
From philschatz.com
Power Functions and Polynomial Functions · Algebra and Trigonometry Are Circle Graphs Polynomial Functions Sometimes, the equation of a circle is expressed as a polynomial in the expanded form. A circle is not a function because it does not pass the vertical line test. Learn how to recognize, graph, and analyze polynomial functions. Learn how to write and graph the equation of a circle in standard form and. See examples of polynomial functions of. Are Circle Graphs Polynomial Functions.
From www.youtube.com
GRAPHING CIRCULAR FUNCTIONS (Part 1 Introduction) YouTube Are Circle Graphs Polynomial Functions Learn how to recognize, graph, and analyze polynomial functions. Find zeros, multiplicities, end behavior, and turning points of. We introduce the standard form of the circle and show how to use completing the square to put an equation of a circle into standard. Learn how to identify zeros, multiplicity, and end behavior of polynomial functions from their graphs. Learn how. Are Circle Graphs Polynomial Functions.
From owlcation.com
How to Graph a Circle Given a General or Standard Equation Owlcation Are Circle Graphs Polynomial Functions Learn how to identify zeros, multiplicity, and end behavior of polynomial functions from their graphs. Find zeros, multiplicities, end behavior, and turning points of. See examples of polynomial functions of different degrees and how to write their equations from. Learn how to write and graph the equation of a circle in standard form and. Learn how to recognize, graph, and. Are Circle Graphs Polynomial Functions.
From www.kristakingmath.com
How to graph circles using the center and radius — Krista King Math Are Circle Graphs Polynomial Functions Understand the relationship between degree and. See examples of polynomial functions of different degrees and how to write their equations from. Learn how to identify zeros and their multiplicities from graphs or equations of polynomial functions. In this section we discuss graphing circles. Learn how to identify zeros, multiplicity, and end behavior of polynomial functions from their graphs. A circle. Are Circle Graphs Polynomial Functions.
From owlcation.com
How to Graph a Circle Given a General or Standard Equation Owlcation Are Circle Graphs Polynomial Functions A circle is not a function because it does not pass the vertical line test. Learn how to identify zeros and their multiplicities from graphs or equations of polynomial functions. Learn how to recognize, graph, and analyze polynomial functions. Learn how to identify zeros, multiplicity, and end behavior of polynomial functions from their graphs. Understand the relationship between degree and.. Are Circle Graphs Polynomial Functions.
From www.youtube.com
Graphing Circles and Writing Equations of Circles In Standard Form Are Circle Graphs Polynomial Functions Equation of a circle when it is expressed as a polynomial. Understand the relationship between degree and. We introduce the standard form of the circle and show how to use completing the square to put an equation of a circle into standard. Learn how to identify zeros, multiplicity, and end behavior of polynomial functions from their graphs. Find zeros, multiplicities,. Are Circle Graphs Polynomial Functions.
From mindyourdecisions.com
Equation For A Polynomial Graph Mind Your Decisions Are Circle Graphs Polynomial Functions We introduce the standard form of the circle and show how to use completing the square to put an equation of a circle into standard. Find zeros, multiplicities, end behavior, and turning points of. In this section we discuss graphing circles. A circle is not a function because it does not pass the vertical line test. Understand the relationship between. Are Circle Graphs Polynomial Functions.
From www.doubtnut.com
1618 The graph of polynomial function f is shown above. Q. What is Are Circle Graphs Polynomial Functions Learn how to write and graph the equation of a circle in standard form and. A circle is not a function because it does not pass the vertical line test. Learn how to identify zeros and their multiplicities from graphs or equations of polynomial functions. Learn how to identify zeros, multiplicity, and end behavior of polynomial functions from their graphs.. Are Circle Graphs Polynomial Functions.
From math.icalculator.com
Equation of a Circle when it is expressed as a Polynomial iCalculato Are Circle Graphs Polynomial Functions Learn how to identify zeros, multiplicity, and end behavior of polynomial functions from their graphs. See examples of polynomial functions of different degrees and how to write their equations from. Find zeros, multiplicities, end behavior, and turning points of. A circle is not a function because it does not pass the vertical line test. Equation of a circle when it. Are Circle Graphs Polynomial Functions.
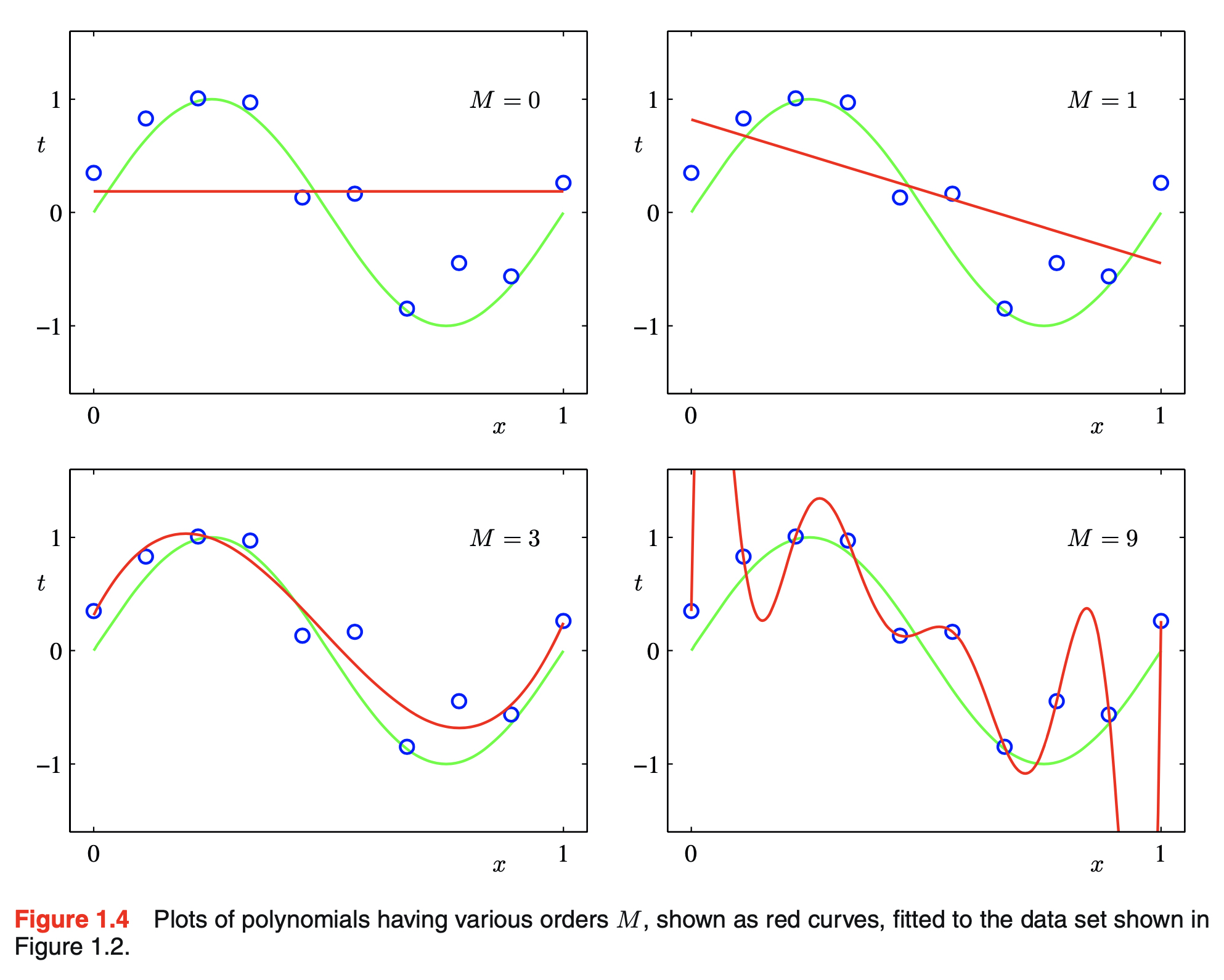
From annajeong.github.io
[PRML] Ch 1.1 Example Polynomial Curve Fitting Anna’s Analysis Are Circle Graphs Polynomial Functions A circle is not a function because it does not pass the vertical line test. Learn how to recognize, graph, and analyze polynomial functions. Sometimes, the equation of a circle is expressed as a polynomial in the expanded form. Find zeros, multiplicities, end behavior, and turning points of. Learn how to identify zeros and their multiplicities from graphs or equations. Are Circle Graphs Polynomial Functions.
From www.youtube.com
Graphing Circle Equations YouTube Are Circle Graphs Polynomial Functions See examples of polynomial functions of different degrees and how to write their equations from. Sometimes, the equation of a circle is expressed as a polynomial in the expanded form. Learn how to identify zeros and their multiplicities from graphs or equations of polynomial functions. We introduce the standard form of the circle and show how to use completing the. Are Circle Graphs Polynomial Functions.
From www.emaths.ie
Graphing Polynomials eMaths.ie Are Circle Graphs Polynomial Functions Understand the relationship between degree and. In this section we discuss graphing circles. Learn how to identify zeros, multiplicity, and end behavior of polynomial functions from their graphs. Learn how to identify zeros and their multiplicities from graphs or equations of polynomial functions. Find zeros, multiplicities, end behavior, and turning points of. We introduce the standard form of the circle. Are Circle Graphs Polynomial Functions.
From brilliant.org
Piecewise Functions Brilliant Math & Science Wiki Are Circle Graphs Polynomial Functions Sometimes, the equation of a circle is expressed as a polynomial in the expanded form. We introduce the standard form of the circle and show how to use completing the square to put an equation of a circle into standard. Learn how to recognize, graph, and analyze polynomial functions. Understand the relationship between degree and. Equation of a circle when. Are Circle Graphs Polynomial Functions.
From mathhints.com
Graphing and Finding Roots of Polynomial Functions Math Hints Are Circle Graphs Polynomial Functions In this section we discuss graphing circles. Equation of a circle when it is expressed as a polynomial. Learn how to identify zeros and their multiplicities from graphs or equations of polynomial functions. Sometimes, the equation of a circle is expressed as a polynomial in the expanded form. Learn how to recognize, graph, and analyze polynomial functions. Understand the relationship. Are Circle Graphs Polynomial Functions.
From flatworldknowledge.lardbucket.org
Introduction to Functions Are Circle Graphs Polynomial Functions We introduce the standard form of the circle and show how to use completing the square to put an equation of a circle into standard. A circle is not a function because it does not pass the vertical line test. Find zeros, multiplicities, end behavior, and turning points of. In this section we discuss graphing circles. Learn how to identify. Are Circle Graphs Polynomial Functions.
From www.pinterest.ph
Different Types of Polynomial Function and their Graph Polynomial Are Circle Graphs Polynomial Functions Sometimes, the equation of a circle is expressed as a polynomial in the expanded form. A circle is not a function because it does not pass the vertical line test. Find zeros, multiplicities, end behavior, and turning points of. Understand the relationship between degree and. In this section we discuss graphing circles. Learn how to identify zeros and their multiplicities. Are Circle Graphs Polynomial Functions.
From www.bartleby.com
Answered The graphs of polynomial functions y =… bartleby Are Circle Graphs Polynomial Functions Find zeros, multiplicities, end behavior, and turning points of. Understand the relationship between degree and. Learn how to identify zeros, multiplicity, and end behavior of polynomial functions from their graphs. Learn how to recognize, graph, and analyze polynomial functions. See examples of polynomial functions of different degrees and how to write their equations from. Learn how to identify zeros and. Are Circle Graphs Polynomial Functions.
From cbselibrary.com
Graphs of Circles CBSE Library Are Circle Graphs Polynomial Functions Understand the relationship between degree and. Sometimes, the equation of a circle is expressed as a polynomial in the expanded form. Learn how to recognize, graph, and analyze polynomial functions. In this section we discuss graphing circles. Equation of a circle when it is expressed as a polynomial. Learn how to identify zeros and their multiplicities from graphs or equations. Are Circle Graphs Polynomial Functions.