Radioactive Decay Uses And Dangers . Radioactive material is also used in gauges that. Irradiation can be used to. Radioactive decay occurs for all nuclei with z > 82, and also for some unstable isotopes with z < 83. Andrea galindo, iaea office of public information and communication.  when an individual nucleus transforms into another with the emission of radiation, the nucleus is said to decay. Radioactive decay is the emission of energy in. This can be put to good use as well as being a hazard. Geological survey (usgs) last updated on april 22, 2024. Radiation is energy that moves from one place to. Radioactive sources can be very useful but need handling. People are exposed to sources of radiation in all aspects of everyday life.   besides making plants stronger, radiation can be used to control insect populations, thereby decreasing the use of dangerous pesticides.
        
        from quizizz.com 
     
        
        Radioactive sources can be very useful but need handling. Irradiation can be used to. Radioactive material is also used in gauges that. This can be put to good use as well as being a hazard. Radioactive decay occurs for all nuclei with z > 82, and also for some unstable isotopes with z < 83.   besides making plants stronger, radiation can be used to control insect populations, thereby decreasing the use of dangerous pesticides.  when an individual nucleus transforms into another with the emission of radiation, the nucleus is said to decay. Radioactive decay is the emission of energy in. Andrea galindo, iaea office of public information and communication. People are exposed to sources of radiation in all aspects of everyday life.
    
    	
            
	
		 
         
    Radioactive Decay 245 plays Quizizz 
    Radioactive Decay Uses And Dangers  Radioactive decay occurs for all nuclei with z > 82, and also for some unstable isotopes with z < 83. Radioactive material is also used in gauges that. Irradiation can be used to. Radioactive decay occurs for all nuclei with z > 82, and also for some unstable isotopes with z < 83. Andrea galindo, iaea office of public information and communication. Geological survey (usgs) last updated on april 22, 2024.   besides making plants stronger, radiation can be used to control insect populations, thereby decreasing the use of dangerous pesticides. Radioactive decay is the emission of energy in. People are exposed to sources of radiation in all aspects of everyday life. Radiation is energy that moves from one place to. This can be put to good use as well as being a hazard.  when an individual nucleus transforms into another with the emission of radiation, the nucleus is said to decay. Radioactive sources can be very useful but need handling.
            
	
		 
         
 
    
        From www.youtube.com 
                    Unit 1 Day 5 Radioactive Decay YouTube Radioactive Decay Uses And Dangers  This can be put to good use as well as being a hazard.  when an individual nucleus transforms into another with the emission of radiation, the nucleus is said to decay. Radioactive decay occurs for all nuclei with z > 82, and also for some unstable isotopes with z < 83. Geological survey (usgs) last updated on april 22,. Radioactive Decay Uses And Dangers.
     
    
        From www.scribd.com 
                    Criteria D Uses and Dangers of Radioactivity PDF Gamma Ray Radioactive Decay Uses And Dangers  Irradiation can be used to. Geological survey (usgs) last updated on april 22, 2024. Radiation is energy that moves from one place to. This can be put to good use as well as being a hazard. People are exposed to sources of radiation in all aspects of everyday life. Andrea galindo, iaea office of public information and communication. Radioactive decay. Radioactive Decay Uses And Dangers.
     
    
        From www.env.go.jp 
                    Halflives and Radioactive Decay [MOE] Radioactive Decay Uses And Dangers  Geological survey (usgs) last updated on april 22, 2024.  when an individual nucleus transforms into another with the emission of radiation, the nucleus is said to decay. Radioactive decay is the emission of energy in. Radioactive sources can be very useful but need handling. Radiation is energy that moves from one place to. Radioactive material is also used in. Radioactive Decay Uses And Dangers.
     
    
        From www.nuclear-power.com 
                    Radioactive Decay Modes Radioactive Decay Uses And Dangers  People are exposed to sources of radiation in all aspects of everyday life.   besides making plants stronger, radiation can be used to control insect populations, thereby decreasing the use of dangerous pesticides. Radioactive decay is the emission of energy in.  when an individual nucleus transforms into another with the emission of radiation, the nucleus is said to decay.. Radioactive Decay Uses And Dangers.
     
    
        From www.nagwa.com 
                    Question Video Understanding Types of Radioactive Decay Nagwa Radioactive Decay Uses And Dangers  Radioactive sources can be very useful but need handling.  when an individual nucleus transforms into another with the emission of radiation, the nucleus is said to decay. Andrea galindo, iaea office of public information and communication. Radioactive decay is the emission of energy in. Geological survey (usgs) last updated on april 22, 2024. This can be put to good. Radioactive Decay Uses And Dangers.
     
    
        From online-learning-college.com 
                    Radioactive decay What is it? Measuring half life Radioactive Decay Uses And Dangers  Radiation is energy that moves from one place to. Radioactive decay is the emission of energy in. Radioactive sources can be very useful but need handling. Irradiation can be used to. This can be put to good use as well as being a hazard.   besides making plants stronger, radiation can be used to control insect populations, thereby decreasing the. Radioactive Decay Uses And Dangers.
     
    
        From comeandlove.com 
                    How to Prevent Radiations Come And Love Radioactive Decay Uses And Dangers  People are exposed to sources of radiation in all aspects of everyday life. Radioactive sources can be very useful but need handling. Andrea galindo, iaea office of public information and communication.  when an individual nucleus transforms into another with the emission of radiation, the nucleus is said to decay. Radioactive decay is the emission of energy in. Geological survey. Radioactive Decay Uses And Dangers.
     
    
        From www.inspiritvr.com 
                    Radioactivity Definition and Types Study Guide Inspirit Radioactive Decay Uses And Dangers  Andrea galindo, iaea office of public information and communication. Radioactive decay is the emission of energy in. Radioactive material is also used in gauges that. Radiation is energy that moves from one place to.   besides making plants stronger, radiation can be used to control insect populations, thereby decreasing the use of dangerous pesticides. Radioactive decay occurs for all nuclei. Radioactive Decay Uses And Dangers.
     
    
        From livingroom2021.blogspot.com 
                    Radioactive Decay Simple Definition What is radioactivity? Quora Radioactive Decay Uses And Dangers  Radiation is energy that moves from one place to. This can be put to good use as well as being a hazard. Radioactive decay is the emission of energy in. Radioactive sources can be very useful but need handling. Radioactive material is also used in gauges that. People are exposed to sources of radiation in all aspects of everyday life.. Radioactive Decay Uses And Dangers.
     
    
        From livingroom2021.blogspot.com 
                    Radioactive Decay Simple Definition What is radioactivity? Quora Radioactive Decay Uses And Dangers  Radioactive decay is the emission of energy in. Irradiation can be used to. Radioactive decay occurs for all nuclei with z > 82, and also for some unstable isotopes with z < 83. Radioactive material is also used in gauges that.  when an individual nucleus transforms into another with the emission of radiation, the nucleus is said to decay.. Radioactive Decay Uses And Dangers.
     
    
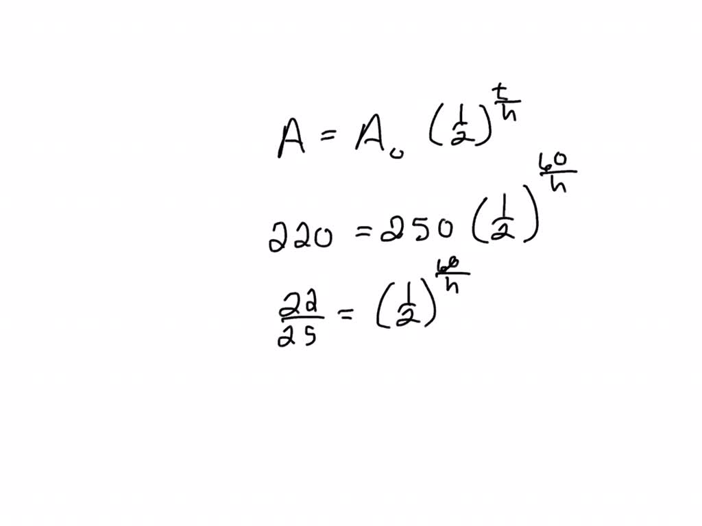
        From www.numerade.com 
                    SOLVED This exercise uses the radioactive decay model. If 250 mg of a Radioactive Decay Uses And Dangers  Radiation is energy that moves from one place to. People are exposed to sources of radiation in all aspects of everyday life. Radioactive sources can be very useful but need handling. Irradiation can be used to. This can be put to good use as well as being a hazard.  when an individual nucleus transforms into another with the emission. Radioactive Decay Uses And Dangers.
     
    
        From studiousguy.com 
                    7 Radioactive Decay Examples in Real Life StudiousGuy Radioactive Decay Uses And Dangers  Radiation is energy that moves from one place to. Radioactive sources can be very useful but need handling. Radioactive decay is the emission of energy in.  when an individual nucleus transforms into another with the emission of radiation, the nucleus is said to decay. Geological survey (usgs) last updated on april 22, 2024. Radioactive decay occurs for all nuclei. Radioactive Decay Uses And Dangers.
     
    
        From intercelestial.com 
                    Cosmogenic Nuclide Productions Intercelestial Radioactive Decay Uses And Dangers    besides making plants stronger, radiation can be used to control insect populations, thereby decreasing the use of dangerous pesticides. Irradiation can be used to. People are exposed to sources of radiation in all aspects of everyday life. Andrea galindo, iaea office of public information and communication. Radioactive sources can be very useful but need handling. Radiation is energy that. Radioactive Decay Uses And Dangers.
     
    
        From definitionkd.blogspot.com 
                    Radioactive Decay Definition Chemistry DEFINITIONKD Radioactive Decay Uses And Dangers    besides making plants stronger, radiation can be used to control insect populations, thereby decreasing the use of dangerous pesticides. Radioactive decay occurs for all nuclei with z > 82, and also for some unstable isotopes with z < 83. Radioactive sources can be very useful but need handling. People are exposed to sources of radiation in all aspects of. Radioactive Decay Uses And Dangers.
     
    
        From www.bvna.com 
                    Naturally Occurring Radioactive Materials (NORM) Radioactive Decay Uses And Dangers  Radioactive decay occurs for all nuclei with z > 82, and also for some unstable isotopes with z < 83. Irradiation can be used to. Radioactive sources can be very useful but need handling. Radiation is energy that moves from one place to. People are exposed to sources of radiation in all aspects of everyday life. Andrea galindo, iaea office. Radioactive Decay Uses And Dangers.
     
    
        From www.creativefabrica.com 
                    Radioactive Decay Font by Illustration Ink · Creative Fabrica Radioactive Decay Uses And Dangers  Geological survey (usgs) last updated on april 22, 2024. Andrea galindo, iaea office of public information and communication. Irradiation can be used to.  when an individual nucleus transforms into another with the emission of radiation, the nucleus is said to decay. People are exposed to sources of radiation in all aspects of everyday life.   besides making plants stronger,. Radioactive Decay Uses And Dangers.
     
    
        From www.sciencelearn.biz 
                    Radioactive decay — Science Learning Hub Radioactive Decay Uses And Dangers  Irradiation can be used to. Radioactive decay is the emission of energy in. Radioactive decay occurs for all nuclei with z > 82, and also for some unstable isotopes with z < 83.   besides making plants stronger, radiation can be used to control insect populations, thereby decreasing the use of dangerous pesticides. Radiation is energy that moves from one. Radioactive Decay Uses And Dangers.
     
    
        From br.pinterest.com 
                    How to survive the fallout Radiation dose, Radiation, Radiation exposure Radioactive Decay Uses And Dangers  Radioactive decay occurs for all nuclei with z > 82, and also for some unstable isotopes with z < 83. Geological survey (usgs) last updated on april 22, 2024.  when an individual nucleus transforms into another with the emission of radiation, the nucleus is said to decay. People are exposed to sources of radiation in all aspects of everyday. Radioactive Decay Uses And Dangers.
     
    
        From eduinput.com 
                    Nuclear Transmutation Decay Reactions, Alpha Decay, Beta Decay, and Radioactive Decay Uses And Dangers  Radioactive decay is the emission of energy in. Radioactive sources can be very useful but need handling. Radioactive decay occurs for all nuclei with z > 82, and also for some unstable isotopes with z < 83. Andrea galindo, iaea office of public information and communication. People are exposed to sources of radiation in all aspects of everyday life. Irradiation. Radioactive Decay Uses And Dangers.
     
    
        From socratic.org 
                    What is radioactive decay? + Example Radioactive Decay Uses And Dangers  Radiation is energy that moves from one place to. Radioactive material is also used in gauges that. Andrea galindo, iaea office of public information and communication. Geological survey (usgs) last updated on april 22, 2024. Irradiation can be used to. People are exposed to sources of radiation in all aspects of everyday life. Radioactive decay occurs for all nuclei with. Radioactive Decay Uses And Dangers.
     
    
        From studylib.net 
                    Radioactive Decay and Halflife Radioactive Decay Uses And Dangers   when an individual nucleus transforms into another with the emission of radiation, the nucleus is said to decay. Radioactive material is also used in gauges that. Radioactive decay occurs for all nuclei with z > 82, and also for some unstable isotopes with z < 83. People are exposed to sources of radiation in all aspects of everyday life.. Radioactive Decay Uses And Dangers.
     
    
        From spmscience.blog.onlinetuition.com.my 
                    6.3 Proper Handling of Radioactive Substances SPM Science Radioactive Decay Uses And Dangers    besides making plants stronger, radiation can be used to control insect populations, thereby decreasing the use of dangerous pesticides. Andrea galindo, iaea office of public information and communication. Geological survey (usgs) last updated on april 22, 2024. Radioactive decay occurs for all nuclei with z > 82, and also for some unstable isotopes with z < 83. Radiation is. Radioactive Decay Uses And Dangers.
     
    
        From sciencenotes.org 
                    Radioactivity and the Types of Radioactive Decay Radioactive Decay Uses And Dangers  Radioactive decay occurs for all nuclei with z > 82, and also for some unstable isotopes with z < 83. People are exposed to sources of radiation in all aspects of everyday life.   besides making plants stronger, radiation can be used to control insect populations, thereby decreasing the use of dangerous pesticides.  when an individual nucleus transforms into. Radioactive Decay Uses And Dangers.
     
    
        From quizizz.com 
                    Radioactive Decay 245 plays Quizizz Radioactive Decay Uses And Dangers  Irradiation can be used to. Radioactive sources can be very useful but need handling. People are exposed to sources of radiation in all aspects of everyday life. Radiation is energy that moves from one place to. Radioactive decay occurs for all nuclei with z > 82, and also for some unstable isotopes with z < 83. This can be put. Radioactive Decay Uses And Dangers.
     
    
        From studylib.net 
                    Radioactive Decay Radioactive Decay Uses And Dangers   when an individual nucleus transforms into another with the emission of radiation, the nucleus is said to decay.   besides making plants stronger, radiation can be used to control insect populations, thereby decreasing the use of dangerous pesticides. Radioactive sources can be very useful but need handling. Andrea galindo, iaea office of public information and communication. Radiation is energy. Radioactive Decay Uses And Dangers.
     
    
        From nl.lambdageeks.com 
                    15 voorbeelden van radioactief verval gedetailleerde uitleg Radioactive Decay Uses And Dangers  This can be put to good use as well as being a hazard. Irradiation can be used to. Radioactive material is also used in gauges that. Radiation is energy that moves from one place to. People are exposed to sources of radiation in all aspects of everyday life.   besides making plants stronger, radiation can be used to control insect. Radioactive Decay Uses And Dangers.
     
    
        From www.scribd.com 
                    Radioactivity Uses, Dangers and Safety PDF Radioactive Decay Atoms Radioactive Decay Uses And Dangers  Radiation is energy that moves from one place to. People are exposed to sources of radiation in all aspects of everyday life.   besides making plants stronger, radiation can be used to control insect populations, thereby decreasing the use of dangerous pesticides. Geological survey (usgs) last updated on april 22, 2024. Radioactive sources can be very useful but need handling.. Radioactive Decay Uses And Dangers.
     
    
        From mmerevise.co.uk 
                    Radioactive Decay Worksheets, Questions and Revision MME Radioactive Decay Uses And Dangers   when an individual nucleus transforms into another with the emission of radiation, the nucleus is said to decay. Radioactive decay is the emission of energy in. Radiation is energy that moves from one place to. Radioactive material is also used in gauges that. Radioactive sources can be very useful but need handling. People are exposed to sources of radiation. Radioactive Decay Uses And Dangers.
     
    
        From shakerscience.weebly.com 
                    Unit 11 Nuclear Chemistry Physical Science Radioactive Decay Uses And Dangers  Radiation is energy that moves from one place to. Andrea galindo, iaea office of public information and communication. This can be put to good use as well as being a hazard. Radioactive decay is the emission of energy in. Radioactive sources can be very useful but need handling. Radioactive material is also used in gauges that.   besides making plants. Radioactive Decay Uses And Dangers.
     
    
        From www.scienceabc.com 
                    What Is A Half Life? How Elements With Short Half Lives Even Exist? Radioactive Decay Uses And Dangers  People are exposed to sources of radiation in all aspects of everyday life. Geological survey (usgs) last updated on april 22, 2024. This can be put to good use as well as being a hazard. Radioactive material is also used in gauges that. Radioactive decay occurs for all nuclei with z > 82, and also for some unstable isotopes with. Radioactive Decay Uses And Dangers.
     
    
        From ausearthed.blogspot.com 
                    Radioactive Popcorn Radioactive Decay Uses And Dangers  Radiation is energy that moves from one place to. Radioactive sources can be very useful but need handling. Geological survey (usgs) last updated on april 22, 2024. Radioactive decay is the emission of energy in.  when an individual nucleus transforms into another with the emission of radiation, the nucleus is said to decay. People are exposed to sources of. Radioactive Decay Uses And Dangers.
     
    
        From blogs.egu.eu 
                    Geology Jenga Sharing my new discovery aquatic plants are Radioactive Decay Uses And Dangers  Geological survey (usgs) last updated on april 22, 2024. Radiation is energy that moves from one place to. People are exposed to sources of radiation in all aspects of everyday life.  when an individual nucleus transforms into another with the emission of radiation, the nucleus is said to decay. Radioactive material is also used in gauges that. Radioactive sources. Radioactive Decay Uses And Dangers.
     
    
        From www.youtube.com 
                    RADIOACTIVE DECAY AND USES OF RADIOACTIVITY YouTube Radioactive Decay Uses And Dangers  Geological survey (usgs) last updated on april 22, 2024. Radioactive material is also used in gauges that.   besides making plants stronger, radiation can be used to control insect populations, thereby decreasing the use of dangerous pesticides. Radioactive decay is the emission of energy in. People are exposed to sources of radiation in all aspects of everyday life. This can. Radioactive Decay Uses And Dangers.
     
    
        From chem.libretexts.org 
                    3.3 Day 20 Rate of Radioactive Decay Chemistry LibreTexts Radioactive Decay Uses And Dangers  Geological survey (usgs) last updated on april 22, 2024. Radioactive decay is the emission of energy in. Irradiation can be used to. Radioactive material is also used in gauges that.   besides making plants stronger, radiation can be used to control insect populations, thereby decreasing the use of dangerous pesticides. Radioactive sources can be very useful but need handling. . Radioactive Decay Uses And Dangers.
     
    
        From www.chegg.com 
                    Solved This exercise uses the radioactive decay model. Radioactive Decay Uses And Dangers  People are exposed to sources of radiation in all aspects of everyday life. Irradiation can be used to.  when an individual nucleus transforms into another with the emission of radiation, the nucleus is said to decay. Radioactive material is also used in gauges that. Radioactive decay is the emission of energy in. Radioactive decay occurs for all nuclei with. Radioactive Decay Uses And Dangers.