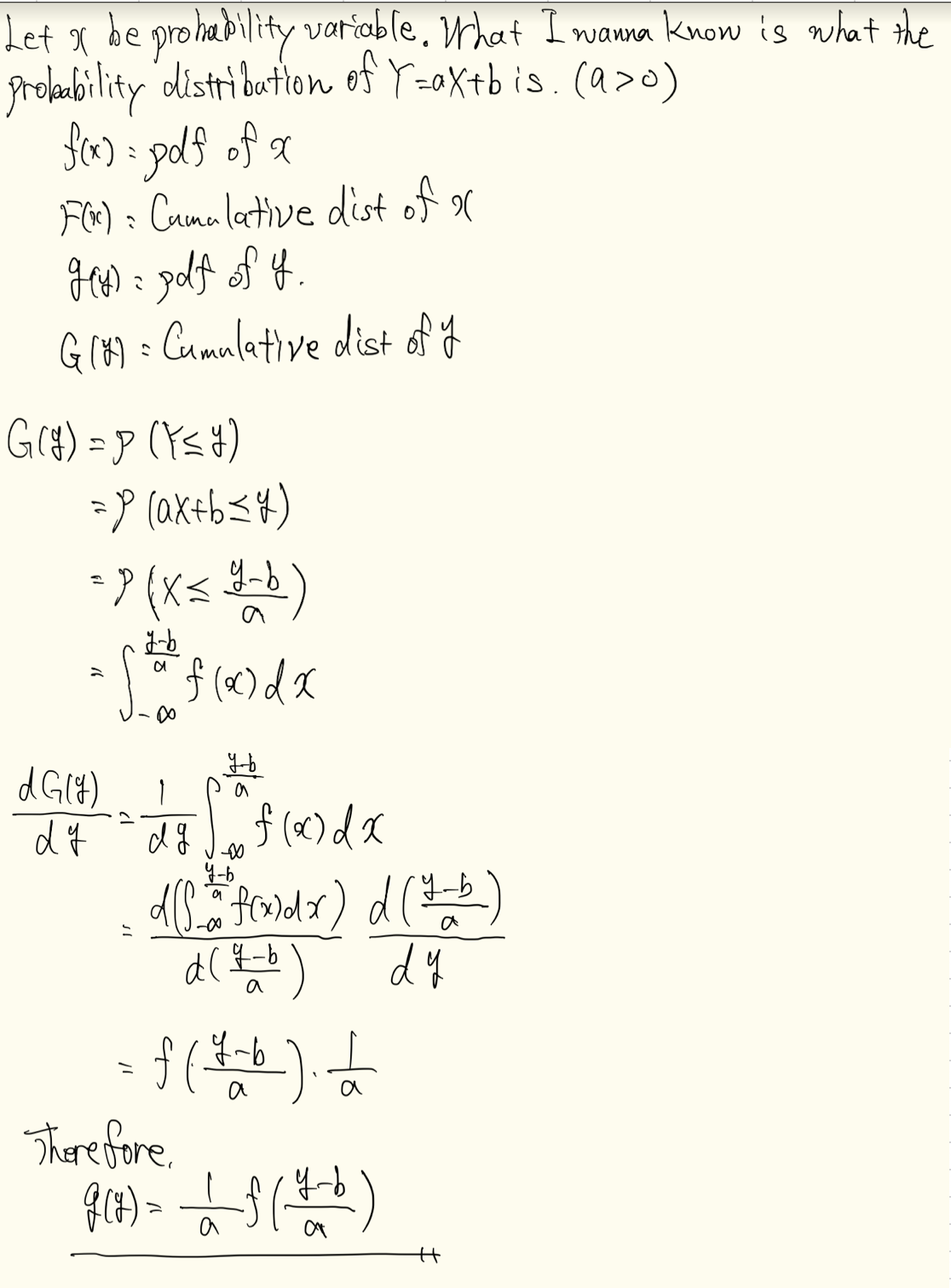
Probability Linear Combinations . Probability & statistics 2 syllabus, written by the maths experts at save my. given a probability space (ω,f,p) and two events a,b ∈f, then 1 a ·1 b = 1 a∩b • here’s the general idea: Both 1 a and 1 b are always. linear combination of random variables defined. We are still working towards finding the theoretical mean and variance of. revision notes on 2.2.1 linear combinations of random variables for the cie a level maths: Mean and variance of linear transformation. For example, let’s suppose we are given the following probability density function, and we wish to find the expectancy of the continuous random variable. sums and linear combinations of jointly normal random variables, proofs, exercises.
from www.ck12.org
We are still working towards finding the theoretical mean and variance of. sums and linear combinations of jointly normal random variables, proofs, exercises. Mean and variance of linear transformation. Probability & statistics 2 syllabus, written by the maths experts at save my. For example, let’s suppose we are given the following probability density function, and we wish to find the expectancy of the continuous random variable. linear combination of random variables defined. revision notes on 2.2.1 linear combinations of random variables for the cie a level maths: Both 1 a and 1 b are always. given a probability space (ω,f,p) and two events a,b ∈f, then 1 a ·1 b = 1 a∩b • here’s the general idea:
Combinations Example 2 ( Video ) Probability CK12 Foundation
Probability Linear Combinations linear combination of random variables defined. Probability & statistics 2 syllabus, written by the maths experts at save my. Both 1 a and 1 b are always. sums and linear combinations of jointly normal random variables, proofs, exercises. We are still working towards finding the theoretical mean and variance of. Mean and variance of linear transformation. revision notes on 2.2.1 linear combinations of random variables for the cie a level maths: For example, let’s suppose we are given the following probability density function, and we wish to find the expectancy of the continuous random variable. linear combination of random variables defined. given a probability space (ω,f,p) and two events a,b ∈f, then 1 a ·1 b = 1 a∩b • here’s the general idea:
From www.youtube.com
Linear Combination of Multiple Random Variables Example YouTube Probability Linear Combinations Probability & statistics 2 syllabus, written by the maths experts at save my. We are still working towards finding the theoretical mean and variance of. revision notes on 2.2.1 linear combinations of random variables for the cie a level maths: For example, let’s suppose we are given the following probability density function, and we wish to find the expectancy. Probability Linear Combinations.
From calcworkshop.com
Linear Combination of Random Variables (w/ 9 Examples!) Probability Linear Combinations For example, let’s suppose we are given the following probability density function, and we wish to find the expectancy of the continuous random variable. Mean and variance of linear transformation. revision notes on 2.2.1 linear combinations of random variables for the cie a level maths: sums and linear combinations of jointly normal random variables, proofs, exercises. We are. Probability Linear Combinations.
From calcworkshop.com
Linear Combination of Random Variables (w/ 9 Examples!) Probability Linear Combinations linear combination of random variables defined. Mean and variance of linear transformation. revision notes on 2.2.1 linear combinations of random variables for the cie a level maths: Probability & statistics 2 syllabus, written by the maths experts at save my. given a probability space (ω,f,p) and two events a,b ∈f, then 1 a ·1 b = 1. Probability Linear Combinations.
From pantelis.github.io
Matrices Data Mining Probability Linear Combinations Probability & statistics 2 syllabus, written by the maths experts at save my. For example, let’s suppose we are given the following probability density function, and we wish to find the expectancy of the continuous random variable. We are still working towards finding the theoretical mean and variance of. Mean and variance of linear transformation. Both 1 a and 1. Probability Linear Combinations.
From www.studypool.com
SOLUTION Lecture 18 linear combinations linear algebra Studypool Probability Linear Combinations Probability & statistics 2 syllabus, written by the maths experts at save my. For example, let’s suppose we are given the following probability density function, and we wish to find the expectancy of the continuous random variable. Both 1 a and 1 b are always. linear combination of random variables defined. revision notes on 2.2.1 linear combinations of. Probability Linear Combinations.
From whitebostollus.blogspot.com
draw a probability tree diagram White Bostollus Probability Linear Combinations For example, let’s suppose we are given the following probability density function, and we wish to find the expectancy of the continuous random variable. revision notes on 2.2.1 linear combinations of random variables for the cie a level maths: sums and linear combinations of jointly normal random variables, proofs, exercises. Mean and variance of linear transformation. We are. Probability Linear Combinations.
From www.youtube.com
Linear Probability Model YouTube Probability Linear Combinations sums and linear combinations of jointly normal random variables, proofs, exercises. Both 1 a and 1 b are always. linear combination of random variables defined. Probability & statistics 2 syllabus, written by the maths experts at save my. Mean and variance of linear transformation. For example, let’s suppose we are given the following probability density function, and we. Probability Linear Combinations.
From www.youtube.com
Finding Probabilities Using Combinations YouTube Probability Linear Combinations Probability & statistics 2 syllabus, written by the maths experts at save my. For example, let’s suppose we are given the following probability density function, and we wish to find the expectancy of the continuous random variable. We are still working towards finding the theoretical mean and variance of. revision notes on 2.2.1 linear combinations of random variables for. Probability Linear Combinations.
From www.researchgate.net
Linear Probability Models for Racial Combinations Download Scientific Probability Linear Combinations sums and linear combinations of jointly normal random variables, proofs, exercises. For example, let’s suppose we are given the following probability density function, and we wish to find the expectancy of the continuous random variable. linear combination of random variables defined. Probability & statistics 2 syllabus, written by the maths experts at save my. We are still working. Probability Linear Combinations.
From www.hanlin.com
CIE A Level Maths Probability & Statistics 2复习笔记2.2.1 Linear Probability Linear Combinations Both 1 a and 1 b are always. Probability & statistics 2 syllabus, written by the maths experts at save my. revision notes on 2.2.1 linear combinations of random variables for the cie a level maths: We are still working towards finding the theoretical mean and variance of. linear combination of random variables defined. given a probability. Probability Linear Combinations.
From www.youtube.com
Probability and Combinations YouTube Probability Linear Combinations Mean and variance of linear transformation. Both 1 a and 1 b are always. Probability & statistics 2 syllabus, written by the maths experts at save my. For example, let’s suppose we are given the following probability density function, and we wish to find the expectancy of the continuous random variable. given a probability space (ω,f,p) and two events. Probability Linear Combinations.
From www.slideserve.com
PPT Functions of Random Variables PowerPoint Presentation, free Probability Linear Combinations We are still working towards finding the theoretical mean and variance of. given a probability space (ω,f,p) and two events a,b ∈f, then 1 a ·1 b = 1 a∩b • here’s the general idea: Probability & statistics 2 syllabus, written by the maths experts at save my. Both 1 a and 1 b are always. linear combination. Probability Linear Combinations.
From www.statlect.com
Linear combinations of normal random variables Probability Linear Combinations linear combination of random variables defined. revision notes on 2.2.1 linear combinations of random variables for the cie a level maths: Mean and variance of linear transformation. sums and linear combinations of jointly normal random variables, proofs, exercises. For example, let’s suppose we are given the following probability density function, and we wish to find the expectancy. Probability Linear Combinations.
From hedgethebook.com
Linear probability model Hedge the book Probability Linear Combinations linear combination of random variables defined. sums and linear combinations of jointly normal random variables, proofs, exercises. Probability & statistics 2 syllabus, written by the maths experts at save my. For example, let’s suppose we are given the following probability density function, and we wish to find the expectancy of the continuous random variable. revision notes on. Probability Linear Combinations.
From calcworkshop.com
Linear Combination of Random Variables (w/ 9 Examples!) Probability Linear Combinations Mean and variance of linear transformation. sums and linear combinations of jointly normal random variables, proofs, exercises. For example, let’s suppose we are given the following probability density function, and we wish to find the expectancy of the continuous random variable. Both 1 a and 1 b are always. linear combination of random variables defined. given a. Probability Linear Combinations.
From math.stackexchange.com
calculus Generalized linear combination of probability density Probability Linear Combinations Both 1 a and 1 b are always. Mean and variance of linear transformation. Probability & statistics 2 syllabus, written by the maths experts at save my. sums and linear combinations of jointly normal random variables, proofs, exercises. linear combination of random variables defined. given a probability space (ω,f,p) and two events a,b ∈f, then 1 a. Probability Linear Combinations.
From www.ck12.org
Combinations Example 2 ( Video ) Probability CK12 Foundation Probability Linear Combinations given a probability space (ω,f,p) and two events a,b ∈f, then 1 a ·1 b = 1 a∩b • here’s the general idea: linear combination of random variables defined. sums and linear combinations of jointly normal random variables, proofs, exercises. We are still working towards finding the theoretical mean and variance of. For example, let’s suppose we. Probability Linear Combinations.
From math.stackexchange.com
analysis Rewriting linear combinations of complex numbers into real Probability Linear Combinations Both 1 a and 1 b are always. given a probability space (ω,f,p) and two events a,b ∈f, then 1 a ·1 b = 1 a∩b • here’s the general idea: linear combination of random variables defined. For example, let’s suppose we are given the following probability density function, and we wish to find the expectancy of the. Probability Linear Combinations.
From www.slideserve.com
PPT Regression with a Binary Dependent Variable (SW Chapter 11 Probability Linear Combinations sums and linear combinations of jointly normal random variables, proofs, exercises. For example, let’s suppose we are given the following probability density function, and we wish to find the expectancy of the continuous random variable. Mean and variance of linear transformation. linear combination of random variables defined. given a probability space (ω,f,p) and two events a,b ∈f,. Probability Linear Combinations.
From calcworkshop.com
Linear Combination of Random Variables (w/ 9 Examples!) Probability Linear Combinations linear combination of random variables defined. sums and linear combinations of jointly normal random variables, proofs, exercises. given a probability space (ω,f,p) and two events a,b ∈f, then 1 a ·1 b = 1 a∩b • here’s the general idea: Probability & statistics 2 syllabus, written by the maths experts at save my. Both 1 a and. Probability Linear Combinations.
From calcworkshop.com
Linear Combination of Random Variables (w/ 9 Examples!) Probability Linear Combinations We are still working towards finding the theoretical mean and variance of. Both 1 a and 1 b are always. Mean and variance of linear transformation. given a probability space (ω,f,p) and two events a,b ∈f, then 1 a ·1 b = 1 a∩b • here’s the general idea: For example, let’s suppose we are given the following probability. Probability Linear Combinations.
From www.youtube.com
Probability Using Combinations YouTube Probability Linear Combinations For example, let’s suppose we are given the following probability density function, and we wish to find the expectancy of the continuous random variable. Both 1 a and 1 b are always. sums and linear combinations of jointly normal random variables, proofs, exercises. revision notes on 2.2.1 linear combinations of random variables for the cie a level maths:. Probability Linear Combinations.
From calcworkshop.com
Linear Combination of Random Variables (w/ 9 Examples!) Probability Linear Combinations sums and linear combinations of jointly normal random variables, proofs, exercises. Probability & statistics 2 syllabus, written by the maths experts at save my. given a probability space (ω,f,p) and two events a,b ∈f, then 1 a ·1 b = 1 a∩b • here’s the general idea: revision notes on 2.2.1 linear combinations of random variables for. Probability Linear Combinations.
From www.slideserve.com
PPT Functions of Random Variables PowerPoint Presentation, free Probability Linear Combinations linear combination of random variables defined. given a probability space (ω,f,p) and two events a,b ∈f, then 1 a ·1 b = 1 a∩b • here’s the general idea: Both 1 a and 1 b are always. We are still working towards finding the theoretical mean and variance of. For example, let’s suppose we are given the following. Probability Linear Combinations.
From calcworkshop.com
Linear Combination of Random Variables (w/ 9 Examples!) Probability Linear Combinations revision notes on 2.2.1 linear combinations of random variables for the cie a level maths: Probability & statistics 2 syllabus, written by the maths experts at save my. Both 1 a and 1 b are always. given a probability space (ω,f,p) and two events a,b ∈f, then 1 a ·1 b = 1 a∩b • here’s the general. Probability Linear Combinations.
From hiroshiu.blogspot.com
Tech Notes Linear combination and sum of probability variable Probability Linear Combinations Probability & statistics 2 syllabus, written by the maths experts at save my. Both 1 a and 1 b are always. sums and linear combinations of jointly normal random variables, proofs, exercises. Mean and variance of linear transformation. linear combination of random variables defined. We are still working towards finding the theoretical mean and variance of. given. Probability Linear Combinations.
From www.slideserve.com
PPT Qualitative and Limited Dependent Variable Models PowerPoint Probability Linear Combinations Both 1 a and 1 b are always. For example, let’s suppose we are given the following probability density function, and we wish to find the expectancy of the continuous random variable. revision notes on 2.2.1 linear combinations of random variables for the cie a level maths: We are still working towards finding the theoretical mean and variance of.. Probability Linear Combinations.
From www.slideserve.com
PPT Discrete Mathematics Discrete Probability PowerPoint Probability Linear Combinations sums and linear combinations of jointly normal random variables, proofs, exercises. linear combination of random variables defined. Probability & statistics 2 syllabus, written by the maths experts at save my. For example, let’s suppose we are given the following probability density function, and we wish to find the expectancy of the continuous random variable. Mean and variance of. Probability Linear Combinations.
From www.youtube.com
Random variables probabilities of linear combinations YouTube Probability Linear Combinations sums and linear combinations of jointly normal random variables, proofs, exercises. given a probability space (ω,f,p) and two events a,b ∈f, then 1 a ·1 b = 1 a∩b • here’s the general idea: Probability & statistics 2 syllabus, written by the maths experts at save my. We are still working towards finding the theoretical mean and variance. Probability Linear Combinations.
From calcworkshop.com
Linear Combination of Random Variables (w/ 9 Examples!) Probability Linear Combinations given a probability space (ω,f,p) and two events a,b ∈f, then 1 a ·1 b = 1 a∩b • here’s the general idea: Both 1 a and 1 b are always. revision notes on 2.2.1 linear combinations of random variables for the cie a level maths: sums and linear combinations of jointly normal random variables, proofs, exercises.. Probability Linear Combinations.
From math.stackexchange.com
analysis Rewriting linear combinations of complex numbers into real Probability Linear Combinations Mean and variance of linear transformation. sums and linear combinations of jointly normal random variables, proofs, exercises. given a probability space (ω,f,p) and two events a,b ∈f, then 1 a ·1 b = 1 a∩b • here’s the general idea: Probability & statistics 2 syllabus, written by the maths experts at save my. linear combination of random. Probability Linear Combinations.
From study.com
Finding Probabilities Using Combinations in One Step Algebra Probability Linear Combinations revision notes on 2.2.1 linear combinations of random variables for the cie a level maths: Both 1 a and 1 b are always. We are still working towards finding the theoretical mean and variance of. Probability & statistics 2 syllabus, written by the maths experts at save my. For example, let’s suppose we are given the following probability density. Probability Linear Combinations.
From hiroshiu.blogspot.com
Tech Notes Linear combination and sum of probability variable Probability Linear Combinations Probability & statistics 2 syllabus, written by the maths experts at save my. sums and linear combinations of jointly normal random variables, proofs, exercises. revision notes on 2.2.1 linear combinations of random variables for the cie a level maths: We are still working towards finding the theoretical mean and variance of. For example, let’s suppose we are given. Probability Linear Combinations.
From www.slideserve.com
PPT Joint Probability Distributions PowerPoint Presentation, free Probability Linear Combinations sums and linear combinations of jointly normal random variables, proofs, exercises. Mean and variance of linear transformation. revision notes on 2.2.1 linear combinations of random variables for the cie a level maths: Probability & statistics 2 syllabus, written by the maths experts at save my. linear combination of random variables defined. given a probability space (ω,f,p). Probability Linear Combinations.
From calcworkshop.com
Linear Combination of Random Variables (w/ 9 Examples!) Probability Linear Combinations Mean and variance of linear transformation. Probability & statistics 2 syllabus, written by the maths experts at save my. sums and linear combinations of jointly normal random variables, proofs, exercises. Both 1 a and 1 b are always. linear combination of random variables defined. For example, let’s suppose we are given the following probability density function, and we. Probability Linear Combinations.