Senior Discount Property Tax . Learn how to apply for a reduction in property taxes on your homestead if you are a senior, disabled or surviving spouse in ohio. The program is funded by private donations and county. Find out how to apply for various tax reduction programs in franklin county, ohio, including homestead exemption for senior citizens,. Learn about the statewide property tax reduction program for senior citizens, disabled homeowners, and surviving spouses of fallen first. Learn how to apply for emergency funds to help older homeowners pay their property taxes in columbus and franklin county. Ptap is a program that helps seniors or disabled people pay their current homeowner taxes in franklin county, ohio. It's called the 70 under 70 plan, and it would freeze property taxes at the current levels for people older than 70 whose household income is less than $70,000 annually. Learn how to apply for the homestead exemption that reduces property taxes for senior citizens, disabled persons and disabled veterans in ohio.
from www.wbir.com
Ptap is a program that helps seniors or disabled people pay their current homeowner taxes in franklin county, ohio. The program is funded by private donations and county. Learn about the statewide property tax reduction program for senior citizens, disabled homeowners, and surviving spouses of fallen first. Learn how to apply for emergency funds to help older homeowners pay their property taxes in columbus and franklin county. It's called the 70 under 70 plan, and it would freeze property taxes at the current levels for people older than 70 whose household income is less than $70,000 annually. Find out how to apply for various tax reduction programs in franklin county, ohio, including homestead exemption for senior citizens,. Learn how to apply for a reduction in property taxes on your homestead if you are a senior, disabled or surviving spouse in ohio. Learn how to apply for the homestead exemption that reduces property taxes for senior citizens, disabled persons and disabled veterans in ohio.
Knox County offers property tax relief programs
Senior Discount Property Tax Learn how to apply for a reduction in property taxes on your homestead if you are a senior, disabled or surviving spouse in ohio. Learn how to apply for emergency funds to help older homeowners pay their property taxes in columbus and franklin county. It's called the 70 under 70 plan, and it would freeze property taxes at the current levels for people older than 70 whose household income is less than $70,000 annually. The program is funded by private donations and county. Find out how to apply for various tax reduction programs in franklin county, ohio, including homestead exemption for senior citizens,. Learn how to apply for the homestead exemption that reduces property taxes for senior citizens, disabled persons and disabled veterans in ohio. Learn about the statewide property tax reduction program for senior citizens, disabled homeowners, and surviving spouses of fallen first. Learn how to apply for a reduction in property taxes on your homestead if you are a senior, disabled or surviving spouse in ohio. Ptap is a program that helps seniors or disabled people pay their current homeowner taxes in franklin county, ohio.
From nj.gov
Department of the Treasury Senior Freeze 2022 Toolkit Senior Discount Property Tax Learn about the statewide property tax reduction program for senior citizens, disabled homeowners, and surviving spouses of fallen first. Learn how to apply for a reduction in property taxes on your homestead if you are a senior, disabled or surviving spouse in ohio. It's called the 70 under 70 plan, and it would freeze property taxes at the current levels. Senior Discount Property Tax.
From prorfety.blogspot.com
How To Apply For Senior Property Tax Exemption In California PRORFETY Senior Discount Property Tax Learn how to apply for a reduction in property taxes on your homestead if you are a senior, disabled or surviving spouse in ohio. The program is funded by private donations and county. Learn how to apply for emergency funds to help older homeowners pay their property taxes in columbus and franklin county. Find out how to apply for various. Senior Discount Property Tax.
From www.formsbank.com
Property Tax Exemptions For Senior Citizens And Disabled Persons Senior Discount Property Tax Learn about the statewide property tax reduction program for senior citizens, disabled homeowners, and surviving spouses of fallen first. Learn how to apply for emergency funds to help older homeowners pay their property taxes in columbus and franklin county. Find out how to apply for various tax reduction programs in franklin county, ohio, including homestead exemption for senior citizens,. The. Senior Discount Property Tax.
From www.palliserpcn.ca
Seniors Property Tax Deferral Program Palliser Primary Care Network Senior Discount Property Tax Find out how to apply for various tax reduction programs in franklin county, ohio, including homestead exemption for senior citizens,. Learn how to apply for a reduction in property taxes on your homestead if you are a senior, disabled or surviving spouse in ohio. The program is funded by private donations and county. Learn about the statewide property tax reduction. Senior Discount Property Tax.
From www.youtube.com
Property Tax Savings for Seniors (Prop 60) YouTube Senior Discount Property Tax Ptap is a program that helps seniors or disabled people pay their current homeowner taxes in franklin county, ohio. Learn about the statewide property tax reduction program for senior citizens, disabled homeowners, and surviving spouses of fallen first. The program is funded by private donations and county. Find out how to apply for various tax reduction programs in franklin county,. Senior Discount Property Tax.
From www.seniorstrong.org
What Are Senior Discounts for Property Taxes in Penna? Senior Strong Senior Discount Property Tax Find out how to apply for various tax reduction programs in franklin county, ohio, including homestead exemption for senior citizens,. Learn how to apply for a reduction in property taxes on your homestead if you are a senior, disabled or surviving spouse in ohio. Ptap is a program that helps seniors or disabled people pay their current homeowner taxes in. Senior Discount Property Tax.
From prorfety.blogspot.com
PRORFETY New Jersey's Senior Freeze Property Tax Relief Program Senior Discount Property Tax The program is funded by private donations and county. It's called the 70 under 70 plan, and it would freeze property taxes at the current levels for people older than 70 whose household income is less than $70,000 annually. Ptap is a program that helps seniors or disabled people pay their current homeowner taxes in franklin county, ohio. Learn how. Senior Discount Property Tax.
From www.youtube.com
Senior Citizen & Disabled Persons Property Tax Exemption Changes YouTube Senior Discount Property Tax Learn how to apply for the homestead exemption that reduces property taxes for senior citizens, disabled persons and disabled veterans in ohio. Learn how to apply for a reduction in property taxes on your homestead if you are a senior, disabled or surviving spouse in ohio. Ptap is a program that helps seniors or disabled people pay their current homeowner. Senior Discount Property Tax.
From www.the-sun.com
Five ways seniors can boost retirement cash from property tax relief Senior Discount Property Tax The program is funded by private donations and county. Find out how to apply for various tax reduction programs in franklin county, ohio, including homestead exemption for senior citizens,. Learn about the statewide property tax reduction program for senior citizens, disabled homeowners, and surviving spouses of fallen first. Learn how to apply for a reduction in property taxes on your. Senior Discount Property Tax.
From www.msn.com
Is anyone receive this form from Pittsburg unified school district for Senior Discount Property Tax Ptap is a program that helps seniors or disabled people pay their current homeowner taxes in franklin county, ohio. Learn about the statewide property tax reduction program for senior citizens, disabled homeowners, and surviving spouses of fallen first. Learn how to apply for a reduction in property taxes on your homestead if you are a senior, disabled or surviving spouse. Senior Discount Property Tax.
From www.wbir.com
Knox County offers property tax relief programs Senior Discount Property Tax Learn how to apply for emergency funds to help older homeowners pay their property taxes in columbus and franklin county. Ptap is a program that helps seniors or disabled people pay their current homeowner taxes in franklin county, ohio. The program is funded by private donations and county. Find out how to apply for various tax reduction programs in franklin. Senior Discount Property Tax.
From www.youtube.com
Does Oregon give seniors a discount on property taxes? YouTube Senior Discount Property Tax Learn how to apply for the homestead exemption that reduces property taxes for senior citizens, disabled persons and disabled veterans in ohio. Learn how to apply for a reduction in property taxes on your homestead if you are a senior, disabled or surviving spouse in ohio. Learn how to apply for emergency funds to help older homeowners pay their property. Senior Discount Property Tax.
From www.professionalscollective.com.au
Seniors Discount Sell your home for more! Professionals Collective Senior Discount Property Tax Find out how to apply for various tax reduction programs in franklin county, ohio, including homestead exemption for senior citizens,. Learn how to apply for emergency funds to help older homeowners pay their property taxes in columbus and franklin county. It's called the 70 under 70 plan, and it would freeze property taxes at the current levels for people older. Senior Discount Property Tax.
From www.rappler.com
[Ask the Tax Whiz] Can senior citizens and PWDs avail VATexemption on Senior Discount Property Tax Find out how to apply for various tax reduction programs in franklin county, ohio, including homestead exemption for senior citizens,. Learn how to apply for emergency funds to help older homeowners pay their property taxes in columbus and franklin county. Ptap is a program that helps seniors or disabled people pay their current homeowner taxes in franklin county, ohio. Learn. Senior Discount Property Tax.
From giogcsezn.blob.core.windows.net
Property Tax Breaks For Seniors In Md at Bobby Sanders blog Senior Discount Property Tax Learn how to apply for a reduction in property taxes on your homestead if you are a senior, disabled or surviving spouse in ohio. It's called the 70 under 70 plan, and it would freeze property taxes at the current levels for people older than 70 whose household income is less than $70,000 annually. Find out how to apply for. Senior Discount Property Tax.
From penobscotfa.com
Maine Seniors Property Tax increases may be thing of the past Senior Discount Property Tax It's called the 70 under 70 plan, and it would freeze property taxes at the current levels for people older than 70 whose household income is less than $70,000 annually. Ptap is a program that helps seniors or disabled people pay their current homeowner taxes in franklin county, ohio. The program is funded by private donations and county. Learn about. Senior Discount Property Tax.
From silvertalkies.com
Quick Guides Tax Benefits For Senior Citizens Silver Talkies Senior Discount Property Tax It's called the 70 under 70 plan, and it would freeze property taxes at the current levels for people older than 70 whose household income is less than $70,000 annually. Find out how to apply for various tax reduction programs in franklin county, ohio, including homestead exemption for senior citizens,. Learn how to apply for the homestead exemption that reduces. Senior Discount Property Tax.
From www.thriverealty.com
Maximizing Property Tax Benefits for Seniors in Texas Senior Discount Property Tax The program is funded by private donations and county. Find out how to apply for various tax reduction programs in franklin county, ohio, including homestead exemption for senior citizens,. It's called the 70 under 70 plan, and it would freeze property taxes at the current levels for people older than 70 whose household income is less than $70,000 annually. Learn. Senior Discount Property Tax.
From marychernandez.blob.core.windows.net
Property Tax Discount For Seniors In Maryland Senior Discount Property Tax The program is funded by private donations and county. Find out how to apply for various tax reduction programs in franklin county, ohio, including homestead exemption for senior citizens,. It's called the 70 under 70 plan, and it would freeze property taxes at the current levels for people older than 70 whose household income is less than $70,000 annually. Learn. Senior Discount Property Tax.
From www.housedigest.com
LittleKnown Property Tax Deductions Can Help Seniors Save Senior Discount Property Tax Learn how to apply for the homestead exemption that reduces property taxes for senior citizens, disabled persons and disabled veterans in ohio. Ptap is a program that helps seniors or disabled people pay their current homeowner taxes in franklin county, ohio. Learn how to apply for emergency funds to help older homeowners pay their property taxes in columbus and franklin. Senior Discount Property Tax.
From exonmonqg.blob.core.windows.net
Property Tax In Pa For Seniors at Renee Montano blog Senior Discount Property Tax Find out how to apply for various tax reduction programs in franklin county, ohio, including homestead exemption for senior citizens,. The program is funded by private donations and county. Ptap is a program that helps seniors or disabled people pay their current homeowner taxes in franklin county, ohio. Learn about the statewide property tax reduction program for senior citizens, disabled. Senior Discount Property Tax.
From marychernandez.blob.core.windows.net
Property Tax Discount For Seniors In Maryland Senior Discount Property Tax Ptap is a program that helps seniors or disabled people pay their current homeowner taxes in franklin county, ohio. The program is funded by private donations and county. Learn how to apply for emergency funds to help older homeowners pay their property taxes in columbus and franklin county. Learn about the statewide property tax reduction program for senior citizens, disabled. Senior Discount Property Tax.
From www.deeds.com
Property Tax Breaks for Older Homeowners (New Changes for NJ, PA, and Senior Discount Property Tax The program is funded by private donations and county. Learn how to apply for a reduction in property taxes on your homestead if you are a senior, disabled or surviving spouse in ohio. Find out how to apply for various tax reduction programs in franklin county, ohio, including homestead exemption for senior citizens,. Learn how to apply for emergency funds. Senior Discount Property Tax.
From www.califonboro.org
Senior Freeze Property Tax Reimbursement 2022 Califon, New Jersey Senior Discount Property Tax Find out how to apply for various tax reduction programs in franklin county, ohio, including homestead exemption for senior citizens,. It's called the 70 under 70 plan, and it would freeze property taxes at the current levels for people older than 70 whose household income is less than $70,000 annually. Learn how to apply for emergency funds to help older. Senior Discount Property Tax.
From www.state.nj.us
Department of the Treasury Senior Freeze 2022 Toolkit Senior Discount Property Tax Find out how to apply for various tax reduction programs in franklin county, ohio, including homestead exemption for senior citizens,. Learn about the statewide property tax reduction program for senior citizens, disabled homeowners, and surviving spouses of fallen first. It's called the 70 under 70 plan, and it would freeze property taxes at the current levels for people older than. Senior Discount Property Tax.
From www.shorelineareanews.com
Shoreline Area News Property tax exemption for seniors Senior Discount Property Tax Learn how to apply for the homestead exemption that reduces property taxes for senior citizens, disabled persons and disabled veterans in ohio. Learn how to apply for emergency funds to help older homeowners pay their property taxes in columbus and franklin county. The program is funded by private donations and county. Ptap is a program that helps seniors or disabled. Senior Discount Property Tax.
From giogcsezn.blob.core.windows.net
Property Tax Breaks For Seniors In Md at Bobby Sanders blog Senior Discount Property Tax Find out how to apply for various tax reduction programs in franklin county, ohio, including homestead exemption for senior citizens,. Learn how to apply for the homestead exemption that reduces property taxes for senior citizens, disabled persons and disabled veterans in ohio. It's called the 70 under 70 plan, and it would freeze property taxes at the current levels for. Senior Discount Property Tax.
From www.countyforms.com
Property Tax Exemption For Seniors In California PRFRTY Senior Discount Property Tax The program is funded by private donations and county. Learn how to apply for emergency funds to help older homeowners pay their property taxes in columbus and franklin county. Find out how to apply for various tax reduction programs in franklin county, ohio, including homestead exemption for senior citizens,. It's called the 70 under 70 plan, and it would freeze. Senior Discount Property Tax.
From appeal.tax
Property Tax Exemptions People with Disabilities, Seniors, and Senior Discount Property Tax Learn how to apply for the homestead exemption that reduces property taxes for senior citizens, disabled persons and disabled veterans in ohio. Learn how to apply for emergency funds to help older homeowners pay their property taxes in columbus and franklin county. Learn how to apply for a reduction in property taxes on your homestead if you are a senior,. Senior Discount Property Tax.
From taxrelief.org
Seniors and Veterans Get Your Property Tax Cut Iowans for Tax Relief Senior Discount Property Tax The program is funded by private donations and county. Ptap is a program that helps seniors or disabled people pay their current homeowner taxes in franklin county, ohio. Learn about the statewide property tax reduction program for senior citizens, disabled homeowners, and surviving spouses of fallen first. Learn how to apply for the homestead exemption that reduces property taxes for. Senior Discount Property Tax.
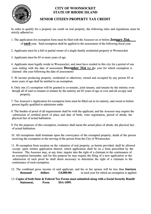
From www.formsbank.com
Senior Citizen Property Tax Credit printable pdf download Senior Discount Property Tax Learn how to apply for the homestead exemption that reduces property taxes for senior citizens, disabled persons and disabled veterans in ohio. The program is funded by private donations and county. Find out how to apply for various tax reduction programs in franklin county, ohio, including homestead exemption for senior citizens,. It's called the 70 under 70 plan, and it. Senior Discount Property Tax.
From www.change.org
Petition · Eliminate property taxes for seniors 65 and older · Senior Discount Property Tax Learn how to apply for a reduction in property taxes on your homestead if you are a senior, disabled or surviving spouse in ohio. Learn how to apply for emergency funds to help older homeowners pay their property taxes in columbus and franklin county. Ptap is a program that helps seniors or disabled people pay their current homeowner taxes in. Senior Discount Property Tax.
From marychernandez.blob.core.windows.net
Property Tax Discount For Seniors In Maryland Senior Discount Property Tax Learn how to apply for emergency funds to help older homeowners pay their property taxes in columbus and franklin county. Learn about the statewide property tax reduction program for senior citizens, disabled homeowners, and surviving spouses of fallen first. The program is funded by private donations and county. It's called the 70 under 70 plan, and it would freeze property. Senior Discount Property Tax.
From seniorsresourcecenter.com
Property Tax Reduction Seniors Resource Center Senior Discount Property Tax Learn how to apply for emergency funds to help older homeowners pay their property taxes in columbus and franklin county. The program is funded by private donations and county. It's called the 70 under 70 plan, and it would freeze property taxes at the current levels for people older than 70 whose household income is less than $70,000 annually. Learn. Senior Discount Property Tax.
From greatsenioryears.com
Does Missouri Have A Senior Discount On Property Taxes? Greatsenioryears Senior Discount Property Tax Learn how to apply for emergency funds to help older homeowners pay their property taxes in columbus and franklin county. Ptap is a program that helps seniors or disabled people pay their current homeowner taxes in franklin county, ohio. The program is funded by private donations and county. Learn how to apply for a reduction in property taxes on your. Senior Discount Property Tax.