What Is A Grave Coercion . The complainant refuses to settle amicably with my father. For grave coercion to lie, the following elements must be present: 1) that a person is prevented by another from doing. A grave threat in the context of philippine law refers to the act of instilling fear or harm in another. Coercion refers to the act of compelling someone to engage in conduct against their will through the use of force,. (a) that any person is prevented by another from doing something not prohibited. My father has been charged with grave coercion. The crime of grave coercion has three elements: What is the crime of. The elements of grave coercion under article 286 of the revised penal code are as follows: That a person is prevented by another from doing something not prohibited by. The elements of grave coercion are as follows: In case of grave coercion where the offended party is being compelled to do something against his will, whether it be wrong or not, the crime of. (1) that a person is prevented by another from doing something not prohibited by law, or. What constitutes a grave threat?
from www.academia.edu
The elements of grave coercion under article 286 of the revised penal code are as follows: Coercion refers to the act of compelling someone to engage in conduct against their will through the use of force,. The complainant refuses to settle amicably with my father. That a person is prevented by another from doing something not prohibited by. The crime of grave coercion has three elements: In case of grave coercion where the offended party is being compelled to do something against his will, whether it be wrong or not, the crime of. What constitutes a grave threat? (a) that any person is prevented by another from doing something not prohibited. For grave coercion to lie, the following elements must be present: A grave threat in the context of philippine law refers to the act of instilling fear or harm in another.
(PDF) Winning Decision on Grave Coercion at the Court of Appeals
What Is A Grave Coercion What constitutes a grave threat? The crime of grave coercion has three elements: The complainant refuses to settle amicably with my father. For grave coercion to lie, the following elements must be present: The elements of grave coercion under article 286 of the revised penal code are as follows: That a person is prevented by another from doing something not prohibited by. What constitutes a grave threat? My father has been charged with grave coercion. (1) that a person is prevented by another from doing something not prohibited by law, or. The elements of grave coercion are as follows: A grave threat in the context of philippine law refers to the act of instilling fear or harm in another. 1) that a person is prevented by another from doing. Coercion refers to the act of compelling someone to engage in conduct against their will through the use of force,. (a) that any person is prevented by another from doing something not prohibited. What is the crime of. In case of grave coercion where the offended party is being compelled to do something against his will, whether it be wrong or not, the crime of.
From www.slideserve.com
PPT Perceived Coercion The MacArthur Studies PowerPoint What Is A Grave Coercion What constitutes a grave threat? (a) that any person is prevented by another from doing something not prohibited. 1) that a person is prevented by another from doing. My father has been charged with grave coercion. The crime of grave coercion has three elements: That a person is prevented by another from doing something not prohibited by. The complainant refuses. What Is A Grave Coercion.
From www.scribd.com
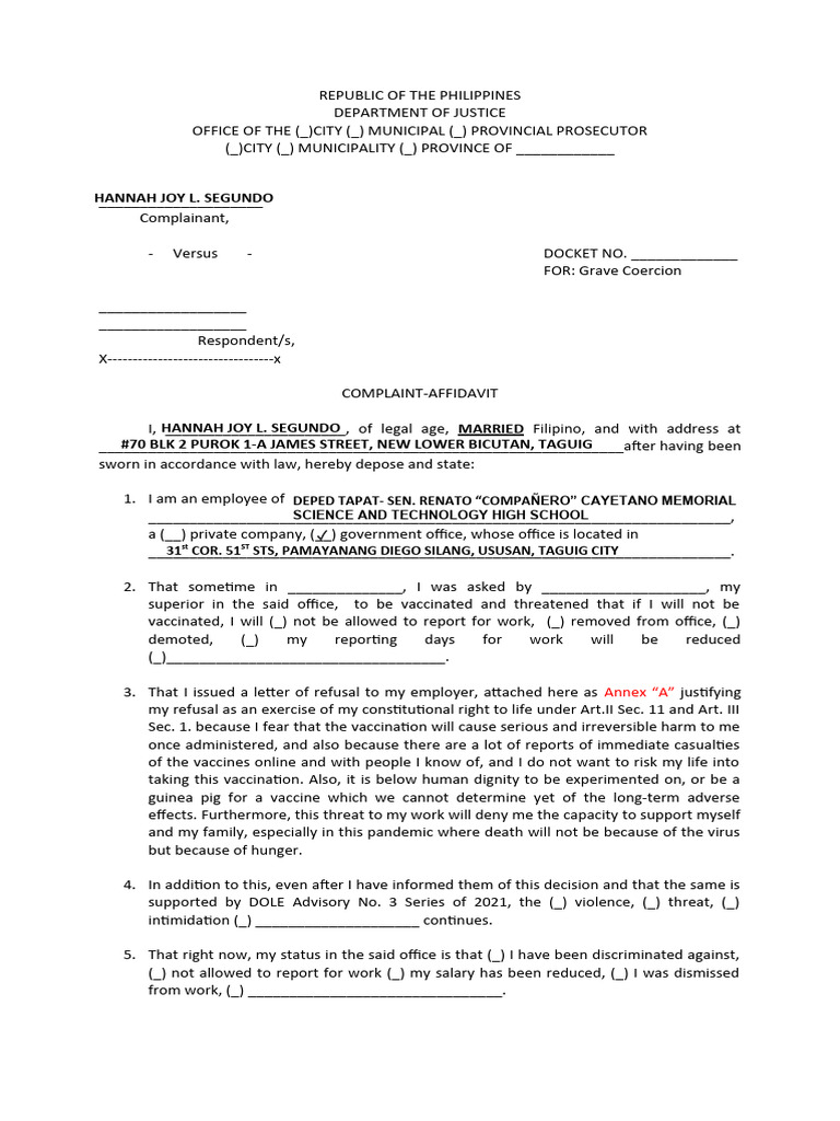
LegalWrting DRAFT Complaint GraveCoercion PDF Affidavit What Is A Grave Coercion (a) that any person is prevented by another from doing something not prohibited. What is the crime of. The crime of grave coercion has three elements: The elements of grave coercion are as follows: For grave coercion to lie, the following elements must be present: (1) that a person is prevented by another from doing something not prohibited by law,. What Is A Grave Coercion.
From www.youtube.com
[Article 286] Grave Coercion Criminal Law Discussion YouTube What Is A Grave Coercion A grave threat in the context of philippine law refers to the act of instilling fear or harm in another. Coercion refers to the act of compelling someone to engage in conduct against their will through the use of force,. That a person is prevented by another from doing something not prohibited by. (a) that any person is prevented by. What Is A Grave Coercion.
From www.scribd.com
Lessor Guilty of Grave Coercion Navarra Vs Ombudsman PDF Lease What Is A Grave Coercion (1) that a person is prevented by another from doing something not prohibited by law, or. For grave coercion to lie, the following elements must be present: A grave threat in the context of philippine law refers to the act of instilling fear or harm in another. What constitutes a grave threat? The crime of grave coercion has three elements:. What Is A Grave Coercion.
From www.scribd.com
Grave Coercion PDF Lease Lawsuit What Is A Grave Coercion The elements of grave coercion under article 286 of the revised penal code are as follows: Coercion refers to the act of compelling someone to engage in conduct against their will through the use of force,. (1) that a person is prevented by another from doing something not prohibited by law, or. A grave threat in the context of philippine. What Is A Grave Coercion.
From www.studocu.com
Juris criminal grave coercion grave threat robbery usurpation real What Is A Grave Coercion The elements of grave coercion are as follows: (a) that any person is prevented by another from doing something not prohibited. For grave coercion to lie, the following elements must be present: The crime of grave coercion has three elements: What constitutes a grave threat? (1) that a person is prevented by another from doing something not prohibited by law,. What Is A Grave Coercion.
From meditationblisswecare.blogspot.com
COERCION What Is A Grave Coercion The crime of grave coercion has three elements: The elements of grave coercion are as follows: For grave coercion to lie, the following elements must be present: My father has been charged with grave coercion. That a person is prevented by another from doing something not prohibited by. The complainant refuses to settle amicably with my father. (1) that a. What Is A Grave Coercion.
From www.scribd.com
Grave Coercion PDF What Is A Grave Coercion Coercion refers to the act of compelling someone to engage in conduct against their will through the use of force,. My father has been charged with grave coercion. The elements of grave coercion are as follows: The elements of grave coercion under article 286 of the revised penal code are as follows: (1) that a person is prevented by another. What Is A Grave Coercion.
From attykalibre.com
Ejectment and Grave Coercion Attykalibre Legal Center What Is A Grave Coercion A grave threat in the context of philippine law refers to the act of instilling fear or harm in another. That a person is prevented by another from doing something not prohibited by. What constitutes a grave threat? (a) that any person is prevented by another from doing something not prohibited. The crime of grave coercion has three elements: The. What Is A Grave Coercion.
From www.youtube.com
Grave Coercion, etc YouTube What Is A Grave Coercion The elements of grave coercion under article 286 of the revised penal code are as follows: The complainant refuses to settle amicably with my father. My father has been charged with grave coercion. A grave threat in the context of philippine law refers to the act of instilling fear or harm in another. The elements of grave coercion are as. What Is A Grave Coercion.
From www.scribd.com
Winning Decision On Grave Coercion at The Court of Appeals PDF What Is A Grave Coercion What is the crime of. 1) that a person is prevented by another from doing. A grave threat in the context of philippine law refers to the act of instilling fear or harm in another. The elements of grave coercion under article 286 of the revised penal code are as follows: My father has been charged with grave coercion. The. What Is A Grave Coercion.
From www.funeraldirect.co
What Is The Meaning Of Grave Scandal FuneralDirect What Is A Grave Coercion (1) that a person is prevented by another from doing something not prohibited by law, or. 1) that a person is prevented by another from doing. What constitutes a grave threat? The complainant refuses to settle amicably with my father. For grave coercion to lie, the following elements must be present: The elements of grave coercion are as follows: A. What Is A Grave Coercion.
From www.scribd.com
0118 Grave Coercion PDF Justice Crime & Violence What Is A Grave Coercion In case of grave coercion where the offended party is being compelled to do something against his will, whether it be wrong or not, the crime of. That a person is prevented by another from doing something not prohibited by. My father has been charged with grave coercion. The elements of grave coercion under article 286 of the revised penal. What Is A Grave Coercion.
From www.scribd.com
2 Ways of Committing Grave Coercion PDF Coercion Public Law What Is A Grave Coercion A grave threat in the context of philippine law refers to the act of instilling fear or harm in another. The elements of grave coercion are as follows: The elements of grave coercion under article 286 of the revised penal code are as follows: (a) that any person is prevented by another from doing something not prohibited. 1) that a. What Is A Grave Coercion.
From www.scribd.com
08.09 Grave and Light Coercion Intimidation Coercion What Is A Grave Coercion (1) that a person is prevented by another from doing something not prohibited by law, or. For grave coercion to lie, the following elements must be present: 1) that a person is prevented by another from doing. What is the crime of. My father has been charged with grave coercion. The complainant refuses to settle amicably with my father. Coercion. What Is A Grave Coercion.
From www.scribd.com
Grave Coercion PDF Affidavit Law Enforcement What Is A Grave Coercion (a) that any person is prevented by another from doing something not prohibited. (1) that a person is prevented by another from doing something not prohibited by law, or. My father has been charged with grave coercion. What constitutes a grave threat? A grave threat in the context of philippine law refers to the act of instilling fear or harm. What Is A Grave Coercion.
From www.youtube.com
WOTD GRAVE COERCION YouTube What Is A Grave Coercion (1) that a person is prevented by another from doing something not prohibited by law, or. The complainant refuses to settle amicably with my father. That a person is prevented by another from doing something not prohibited by. In case of grave coercion where the offended party is being compelled to do something against his will, whether it be wrong. What Is A Grave Coercion.
From www.youtube.com
Makati employees file illegal detention, grave coercion raps vs. Taguig What Is A Grave Coercion The elements of grave coercion under article 286 of the revised penal code are as follows: Coercion refers to the act of compelling someone to engage in conduct against their will through the use of force,. The crime of grave coercion has three elements: What is the crime of. That a person is prevented by another from doing something not. What Is A Grave Coercion.
From www.youtube.com
Meaning of Coercion and its inclusions. YouTube What Is A Grave Coercion The complainant refuses to settle amicably with my father. The crime of grave coercion has three elements: A grave threat in the context of philippine law refers to the act of instilling fear or harm in another. My father has been charged with grave coercion. Coercion refers to the act of compelling someone to engage in conduct against their will. What Is A Grave Coercion.
From www.academia.edu
(PDF) Winning Decision on Grave Coercion at the Court of Appeals What Is A Grave Coercion The crime of grave coercion has three elements: The elements of grave coercion under article 286 of the revised penal code are as follows: The complainant refuses to settle amicably with my father. What constitutes a grave threat? For grave coercion to lie, the following elements must be present: 1) that a person is prevented by another from doing. That. What Is A Grave Coercion.
From www.youtube.com
Art 286 grave coercion YouTube What Is A Grave Coercion That a person is prevented by another from doing something not prohibited by. The complainant refuses to settle amicably with my father. My father has been charged with grave coercion. The crime of grave coercion has three elements: What constitutes a grave threat? (a) that any person is prevented by another from doing something not prohibited. In case of grave. What Is A Grave Coercion.
From lawrina.org
Extortion vs. Coercion What’s The Difference? Lawrina What Is A Grave Coercion 1) that a person is prevented by another from doing. The elements of grave coercion under article 286 of the revised penal code are as follows: What constitutes a grave threat? The complainant refuses to settle amicably with my father. Coercion refers to the act of compelling someone to engage in conduct against their will through the use of force,.. What Is A Grave Coercion.
From www.scribd.com
Grave Coercion For Employees With Name Download Free PDF What Is A Grave Coercion My father has been charged with grave coercion. For grave coercion to lie, the following elements must be present: That a person is prevented by another from doing something not prohibited by. Coercion refers to the act of compelling someone to engage in conduct against their will through the use of force,. 1) that a person is prevented by another. What Is A Grave Coercion.
From www.slideserve.com
PPT Coercion in Psychiatry PowerPoint Presentation, free download What Is A Grave Coercion The crime of grave coercion has three elements: What is the crime of. In case of grave coercion where the offended party is being compelled to do something against his will, whether it be wrong or not, the crime of. What constitutes a grave threat? (a) that any person is prevented by another from doing something not prohibited. That a. What Is A Grave Coercion.
From xpertslegal.com
Coercion Law What Is A Grave Coercion (a) that any person is prevented by another from doing something not prohibited. The elements of grave coercion under article 286 of the revised penal code are as follows: (1) that a person is prevented by another from doing something not prohibited by law, or. The elements of grave coercion are as follows: What constitutes a grave threat? A grave. What Is A Grave Coercion.
From www.youtube.com
Criminal Law Explained Grave Coercion vs. Grave Threats YouTube What Is A Grave Coercion For grave coercion to lie, the following elements must be present: 1) that a person is prevented by another from doing. My father has been charged with grave coercion. What is the crime of. That a person is prevented by another from doing something not prohibited by. The elements of grave coercion are as follows: The crime of grave coercion. What Is A Grave Coercion.
From www.choosingtherapy.com
What Is Sexual Coercion? What Is A Grave Coercion (a) that any person is prevented by another from doing something not prohibited. What is the crime of. Coercion refers to the act of compelling someone to engage in conduct against their will through the use of force,. 1) that a person is prevented by another from doing. (1) that a person is prevented by another from doing something not. What Is A Grave Coercion.
From definicion.com
Definición de coerción. Características, tipos y diferencia entre What Is A Grave Coercion The elements of grave coercion are as follows: What is the crime of. (a) that any person is prevented by another from doing something not prohibited. What constitutes a grave threat? A grave threat in the context of philippine law refers to the act of instilling fear or harm in another. (1) that a person is prevented by another from. What Is A Grave Coercion.
From palawan-news.com
Three arrested for grave coercion in Narra, Palawan What Is A Grave Coercion What is the crime of. The complainant refuses to settle amicably with my father. Coercion refers to the act of compelling someone to engage in conduct against their will through the use of force,. The elements of grave coercion are as follows: The crime of grave coercion has three elements: The elements of grave coercion under article 286 of the. What Is A Grave Coercion.
From www.scribd.com
Sandalwood Grave Coercion BFP April 15 2019 PDF What Is A Grave Coercion The complainant refuses to settle amicably with my father. The crime of grave coercion has three elements: 1) that a person is prevented by another from doing. (a) that any person is prevented by another from doing something not prohibited. The elements of grave coercion under article 286 of the revised penal code are as follows: In case of grave. What Is A Grave Coercion.
From www.scribd.com
Pretrial Brief Grave Coercion PDF Prosecutor Criminal Procedure What Is A Grave Coercion (1) that a person is prevented by another from doing something not prohibited by law, or. 1) that a person is prevented by another from doing. A grave threat in the context of philippine law refers to the act of instilling fear or harm in another. Coercion refers to the act of compelling someone to engage in conduct against their. What Is A Grave Coercion.
From www.youtube.com
Grave Coercion Article 286 Light Coercion Article 287 Unjust Vexation What Is A Grave Coercion Coercion refers to the act of compelling someone to engage in conduct against their will through the use of force,. My father has been charged with grave coercion. What is the crime of. That a person is prevented by another from doing something not prohibited by. What constitutes a grave threat? (a) that any person is prevented by another from. What Is A Grave Coercion.
From www.scribd.com
Grave Coercion Jurisprudence PDF Statute Of Limitations Crime What Is A Grave Coercion A grave threat in the context of philippine law refers to the act of instilling fear or harm in another. In case of grave coercion where the offended party is being compelled to do something against his will, whether it be wrong or not, the crime of. What constitutes a grave threat? The elements of grave coercion under article 286. What Is A Grave Coercion.
From www.diffzy.com
Coercion vs. Undue Influence What's The Difference (With Table) What Is A Grave Coercion The elements of grave coercion are as follows: My father has been charged with grave coercion. What is the crime of. For grave coercion to lie, the following elements must be present: The elements of grave coercion under article 286 of the revised penal code are as follows: (1) that a person is prevented by another from doing something not. What Is A Grave Coercion.
From www.youtube.com
Bantag, Chaclag, nahaharap sa kasong grave coercion at pagpatay What Is A Grave Coercion 1) that a person is prevented by another from doing. (1) that a person is prevented by another from doing something not prohibited by law, or. My father has been charged with grave coercion. The crime of grave coercion has three elements: (a) that any person is prevented by another from doing something not prohibited. In case of grave coercion. What Is A Grave Coercion.