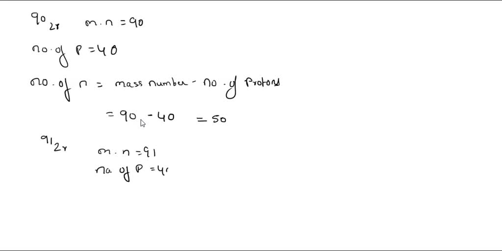
How Many Neutrons Are In Zirconium . Zirconium does not absorb neutrons, making it an ideal material for use in nuclear power stations. Zirconium has five stable isotopes, of which a few are used for the production of radioisotopes. Zirconium has 40 protons and electrons in its structure. Number of neutrons in zirconium. Find out the number of protons, neutrons and electrons of each element in the periodic table. Learn about zirconium, a transition metal. We know that the atomic number of zirconium is 40 and the atomic average mass number is about 91. Sodium has 11 protons, 12. In january 2019, this isotope was discovered to have a neutron capture cross. More than 90% of zirconium is used in this.
from slideplayer.com
Zirconium has 40 protons and electrons in its structure. Number of neutrons in zirconium. Learn about zirconium, a transition metal. Find out the number of protons, neutrons and electrons of each element in the periodic table. Sodium has 11 protons, 12. In january 2019, this isotope was discovered to have a neutron capture cross. We know that the atomic number of zirconium is 40 and the atomic average mass number is about 91. More than 90% of zirconium is used in this. Zirconium has five stable isotopes, of which a few are used for the production of radioisotopes. Zirconium does not absorb neutrons, making it an ideal material for use in nuclear power stations.
ELEMENT One of the 114 known “pure” substances. ppt download
How Many Neutrons Are In Zirconium Learn about zirconium, a transition metal. Zirconium does not absorb neutrons, making it an ideal material for use in nuclear power stations. Zirconium has five stable isotopes, of which a few are used for the production of radioisotopes. Number of neutrons in zirconium. In january 2019, this isotope was discovered to have a neutron capture cross. Find out the number of protons, neutrons and electrons of each element in the periodic table. More than 90% of zirconium is used in this. Sodium has 11 protons, 12. We know that the atomic number of zirconium is 40 and the atomic average mass number is about 91. Learn about zirconium, a transition metal. Zirconium has 40 protons and electrons in its structure.
From www.powmet.com
Zirconium Products Powmet, Inc. How Many Neutrons Are In Zirconium Zirconium has 40 protons and electrons in its structure. Learn about zirconium, a transition metal. Find out the number of protons, neutrons and electrons of each element in the periodic table. In january 2019, this isotope was discovered to have a neutron capture cross. Zirconium does not absorb neutrons, making it an ideal material for use in nuclear power stations.. How Many Neutrons Are In Zirconium.
From slideplayer.com
Atomic Structure. ppt download How Many Neutrons Are In Zirconium In january 2019, this isotope was discovered to have a neutron capture cross. More than 90% of zirconium is used in this. Zirconium has five stable isotopes, of which a few are used for the production of radioisotopes. Zirconium has 40 protons and electrons in its structure. We know that the atomic number of zirconium is 40 and the atomic. How Many Neutrons Are In Zirconium.
From www.nuclear-power.com
Zirconium Atomic Number Atomic Mass Density of Zirconium How Many Neutrons Are In Zirconium We know that the atomic number of zirconium is 40 and the atomic average mass number is about 91. Learn about zirconium, a transition metal. In january 2019, this isotope was discovered to have a neutron capture cross. Zirconium has five stable isotopes, of which a few are used for the production of radioisotopes. Find out the number of protons,. How Many Neutrons Are In Zirconium.
From slideplayer.com
ELEMENT One of the 114 known “pure” substances. ppt download How Many Neutrons Are In Zirconium Zirconium has five stable isotopes, of which a few are used for the production of radioisotopes. More than 90% of zirconium is used in this. Find out the number of protons, neutrons and electrons of each element in the periodic table. We know that the atomic number of zirconium is 40 and the atomic average mass number is about 91.. How Many Neutrons Are In Zirconium.
From www.dreamstime.com
Zirconium stock illustration. Illustration of formula 139650991 How Many Neutrons Are In Zirconium Zirconium has 40 protons and electrons in its structure. More than 90% of zirconium is used in this. Find out the number of protons, neutrons and electrons of each element in the periodic table. In january 2019, this isotope was discovered to have a neutron capture cross. Learn about zirconium, a transition metal. Zirconium has five stable isotopes, of which. How Many Neutrons Are In Zirconium.
From www.numerade.com
SOLVED Examine the information carried in the table below about the element Zirconium; Zr How Many Neutrons Are In Zirconium Learn about zirconium, a transition metal. Zirconium has five stable isotopes, of which a few are used for the production of radioisotopes. In january 2019, this isotope was discovered to have a neutron capture cross. Zirconium has 40 protons and electrons in its structure. Zirconium does not absorb neutrons, making it an ideal material for use in nuclear power stations.. How Many Neutrons Are In Zirconium.
From www.thoughtco.com
Atom Diagrams Electron Configurations of the Elements How Many Neutrons Are In Zirconium Find out the number of protons, neutrons and electrons of each element in the periodic table. Zirconium has five stable isotopes, of which a few are used for the production of radioisotopes. Zirconium does not absorb neutrons, making it an ideal material for use in nuclear power stations. Learn about zirconium, a transition metal. We know that the atomic number. How Many Neutrons Are In Zirconium.
From www.numerade.com
SOLVED Examine the information carried in the table below about the element Zirconium; Zr How Many Neutrons Are In Zirconium Zirconium has 40 protons and electrons in its structure. Learn about zirconium, a transition metal. Find out the number of protons, neutrons and electrons of each element in the periodic table. Number of neutrons in zirconium. Sodium has 11 protons, 12. More than 90% of zirconium is used in this. In january 2019, this isotope was discovered to have a. How Many Neutrons Are In Zirconium.
From socratic.org
Zirconium has an atomic number of 40. How many neutrons are there in an isotope of zirconium92 How Many Neutrons Are In Zirconium Sodium has 11 protons, 12. We know that the atomic number of zirconium is 40 and the atomic average mass number is about 91. More than 90% of zirconium is used in this. Learn about zirconium, a transition metal. Number of neutrons in zirconium. Find out the number of protons, neutrons and electrons of each element in the periodic table.. How Many Neutrons Are In Zirconium.
From www.numerade.com
SOLVED Consider an atom of zirconium which has a mass number of 96 How many electrons are in an How Many Neutrons Are In Zirconium Zirconium has 40 protons and electrons in its structure. More than 90% of zirconium is used in this. Number of neutrons in zirconium. Learn about zirconium, a transition metal. In january 2019, this isotope was discovered to have a neutron capture cross. Find out the number of protons, neutrons and electrons of each element in the periodic table. Zirconium does. How Many Neutrons Are In Zirconium.
From www.youtube.com
zirconium.who descovered the zirconium.how many electron proton and neutrons in zirconium. YouTube How Many Neutrons Are In Zirconium More than 90% of zirconium is used in this. Zirconium does not absorb neutrons, making it an ideal material for use in nuclear power stations. Learn about zirconium, a transition metal. Sodium has 11 protons, 12. Number of neutrons in zirconium. Find out the number of protons, neutrons and electrons of each element in the periodic table. We know that. How Many Neutrons Are In Zirconium.
From www.sciencephoto.com
Zirconium, atomic structure Stock Image C013/1590 Science Photo Library How Many Neutrons Are In Zirconium More than 90% of zirconium is used in this. Sodium has 11 protons, 12. Zirconium has five stable isotopes, of which a few are used for the production of radioisotopes. In january 2019, this isotope was discovered to have a neutron capture cross. Learn about zirconium, a transition metal. Zirconium has 40 protons and electrons in its structure. Find out. How Many Neutrons Are In Zirconium.
From www.alamy.com
Zr Zirconium, Periodic Table of the Elements, Shell Structure of Zirconium Electrons per How Many Neutrons Are In Zirconium We know that the atomic number of zirconium is 40 and the atomic average mass number is about 91. More than 90% of zirconium is used in this. Learn about zirconium, a transition metal. Find out the number of protons, neutrons and electrons of each element in the periodic table. Number of neutrons in zirconium. In january 2019, this isotope. How Many Neutrons Are In Zirconium.
From www.animalia-life.club
Electron Configuration Of Zirconium How Many Neutrons Are In Zirconium Zirconium has five stable isotopes, of which a few are used for the production of radioisotopes. More than 90% of zirconium is used in this. Zirconium does not absorb neutrons, making it an ideal material for use in nuclear power stations. Sodium has 11 protons, 12. Zirconium has 40 protons and electrons in its structure. Learn about zirconium, a transition. How Many Neutrons Are In Zirconium.
From valenceelectrons.com
How Many Protons, Neutrons and Electrons Does Zirconium Have? How Many Neutrons Are In Zirconium Find out the number of protons, neutrons and electrons of each element in the periodic table. Zirconium has 40 protons and electrons in its structure. In january 2019, this isotope was discovered to have a neutron capture cross. We know that the atomic number of zirconium is 40 and the atomic average mass number is about 91. Learn about zirconium,. How Many Neutrons Are In Zirconium.
From valenceelectrons.com
Complete Electron Configuration for Zirconium (Zr, Zr4+) How Many Neutrons Are In Zirconium We know that the atomic number of zirconium is 40 and the atomic average mass number is about 91. More than 90% of zirconium is used in this. Number of neutrons in zirconium. In january 2019, this isotope was discovered to have a neutron capture cross. Zirconium does not absorb neutrons, making it an ideal material for use in nuclear. How Many Neutrons Are In Zirconium.
From www.slideserve.com
PPT The Element Zirconium PowerPoint Presentation, free download ID2386621 How Many Neutrons Are In Zirconium More than 90% of zirconium is used in this. Sodium has 11 protons, 12. Zirconium has five stable isotopes, of which a few are used for the production of radioisotopes. Zirconium does not absorb neutrons, making it an ideal material for use in nuclear power stations. We know that the atomic number of zirconium is 40 and the atomic average. How Many Neutrons Are In Zirconium.
From www.schoolmykids.com
Zirconium (Zr) Element Information, Facts, Properties, Uses Periodic Table of the Elements How Many Neutrons Are In Zirconium Zirconium has 40 protons and electrons in its structure. Number of neutrons in zirconium. We know that the atomic number of zirconium is 40 and the atomic average mass number is about 91. More than 90% of zirconium is used in this. Sodium has 11 protons, 12. Zirconium has five stable isotopes, of which a few are used for the. How Many Neutrons Are In Zirconium.
From www.sliderbase.com
How many protons, electrons, and neutrons are in an atom Presentation Chemistry How Many Neutrons Are In Zirconium Number of neutrons in zirconium. More than 90% of zirconium is used in this. In january 2019, this isotope was discovered to have a neutron capture cross. Learn about zirconium, a transition metal. We know that the atomic number of zirconium is 40 and the atomic average mass number is about 91. Sodium has 11 protons, 12. Zirconium has five. How Many Neutrons Are In Zirconium.
From www.schoolmykids.com
Compare Zirconium vs Yttrium Periodic Table Element Comparison Compare Properties, Structure How Many Neutrons Are In Zirconium Zirconium does not absorb neutrons, making it an ideal material for use in nuclear power stations. Zirconium has 40 protons and electrons in its structure. Find out the number of protons, neutrons and electrons of each element in the periodic table. More than 90% of zirconium is used in this. Sodium has 11 protons, 12. Learn about zirconium, a transition. How Many Neutrons Are In Zirconium.
From valenceelectrons.com
How to Find the Valence Electrons for zirconium (Zr)? How Many Neutrons Are In Zirconium Sodium has 11 protons, 12. Zirconium does not absorb neutrons, making it an ideal material for use in nuclear power stations. In january 2019, this isotope was discovered to have a neutron capture cross. Number of neutrons in zirconium. Zirconium has five stable isotopes, of which a few are used for the production of radioisotopes. Learn about zirconium, a transition. How Many Neutrons Are In Zirconium.
From valenceelectrons.com
Complete Electron Configuration for Zirconium (Zr, Zr4+) How Many Neutrons Are In Zirconium More than 90% of zirconium is used in this. In january 2019, this isotope was discovered to have a neutron capture cross. Zirconium has five stable isotopes, of which a few are used for the production of radioisotopes. We know that the atomic number of zirconium is 40 and the atomic average mass number is about 91. Find out the. How Many Neutrons Are In Zirconium.
From www.alamy.com
Zirconium atom, with mass and energy levels. Vector illustration Stock Vector Image & Art Alamy How Many Neutrons Are In Zirconium Zirconium has 40 protons and electrons in its structure. Learn about zirconium, a transition metal. We know that the atomic number of zirconium is 40 and the atomic average mass number is about 91. Zirconium does not absorb neutrons, making it an ideal material for use in nuclear power stations. Number of neutrons in zirconium. In january 2019, this isotope. How Many Neutrons Are In Zirconium.
From knordslearning.com
Zirconium (Zr) Periodic Table [Element Information & More] How Many Neutrons Are In Zirconium Zirconium has five stable isotopes, of which a few are used for the production of radioisotopes. Learn about zirconium, a transition metal. More than 90% of zirconium is used in this. Number of neutrons in zirconium. In january 2019, this isotope was discovered to have a neutron capture cross. Zirconium does not absorb neutrons, making it an ideal material for. How Many Neutrons Are In Zirconium.
From valenceelectrons.com
How Many Valence Electrons Does Zirconium (Zr) Have? How Many Neutrons Are In Zirconium Sodium has 11 protons, 12. Number of neutrons in zirconium. In january 2019, this isotope was discovered to have a neutron capture cross. Zirconium has five stable isotopes, of which a few are used for the production of radioisotopes. Find out the number of protons, neutrons and electrons of each element in the periodic table. Zirconium has 40 protons and. How Many Neutrons Are In Zirconium.
From phys.org
Zirconium isotope a master at neutron capture How Many Neutrons Are In Zirconium Number of neutrons in zirconium. Zirconium does not absorb neutrons, making it an ideal material for use in nuclear power stations. Find out the number of protons, neutrons and electrons of each element in the periodic table. In january 2019, this isotope was discovered to have a neutron capture cross. Zirconium has five stable isotopes, of which a few are. How Many Neutrons Are In Zirconium.
From www.nagwa.com
Question Video Determining the NeutrontoProton Ratio for the Zirconium94 Isotope Nagwa How Many Neutrons Are In Zirconium Sodium has 11 protons, 12. Zirconium has 40 protons and electrons in its structure. In january 2019, this isotope was discovered to have a neutron capture cross. Learn about zirconium, a transition metal. Find out the number of protons, neutrons and electrons of each element in the periodic table. Zirconium has five stable isotopes, of which a few are used. How Many Neutrons Are In Zirconium.
From newtondesk.com
Zirconium Zr (Element 40) of Periodic Table Elements FlashCards How Many Neutrons Are In Zirconium Zirconium has five stable isotopes, of which a few are used for the production of radioisotopes. Zirconium does not absorb neutrons, making it an ideal material for use in nuclear power stations. More than 90% of zirconium is used in this. Learn about zirconium, a transition metal. We know that the atomic number of zirconium is 40 and the atomic. How Many Neutrons Are In Zirconium.
From scienceinfo.com
Zirconium (Zr) Element Important Properties, Uses How Many Neutrons Are In Zirconium We know that the atomic number of zirconium is 40 and the atomic average mass number is about 91. In january 2019, this isotope was discovered to have a neutron capture cross. Sodium has 11 protons, 12. Number of neutrons in zirconium. Zirconium does not absorb neutrons, making it an ideal material for use in nuclear power stations. More than. How Many Neutrons Are In Zirconium.
From material-properties.org
Zirconium Periodic Table and Atomic Properties How Many Neutrons Are In Zirconium Zirconium has 40 protons and electrons in its structure. More than 90% of zirconium is used in this. Find out the number of protons, neutrons and electrons of each element in the periodic table. In january 2019, this isotope was discovered to have a neutron capture cross. Number of neutrons in zirconium. We know that the atomic number of zirconium. How Many Neutrons Are In Zirconium.
From slideplayer.com
Atomic Structure. ppt download How Many Neutrons Are In Zirconium In january 2019, this isotope was discovered to have a neutron capture cross. More than 90% of zirconium is used in this. Zirconium has 40 protons and electrons in its structure. Zirconium has five stable isotopes, of which a few are used for the production of radioisotopes. Zirconium does not absorb neutrons, making it an ideal material for use in. How Many Neutrons Are In Zirconium.
From www.youtube.com
What is ZIRCONIUM? PERIODIC TABLE YouTube How Many Neutrons Are In Zirconium We know that the atomic number of zirconium is 40 and the atomic average mass number is about 91. Zirconium does not absorb neutrons, making it an ideal material for use in nuclear power stations. Zirconium has five stable isotopes, of which a few are used for the production of radioisotopes. Zirconium has 40 protons and electrons in its structure.. How Many Neutrons Are In Zirconium.
From www.dreamstime.com
Zirconium Atom Diagram Concept Stock Vector Illustration of biology, chemical 145176583 How Many Neutrons Are In Zirconium Find out the number of protons, neutrons and electrons of each element in the periodic table. Zirconium has 40 protons and electrons in its structure. In january 2019, this isotope was discovered to have a neutron capture cross. We know that the atomic number of zirconium is 40 and the atomic average mass number is about 91. Sodium has 11. How Many Neutrons Are In Zirconium.
From www.dreamstime.com
Periodic Symbol and Diagram of Zirconium Stock Vector Illustration of proton, physics 59250624 How Many Neutrons Are In Zirconium Sodium has 11 protons, 12. Zirconium does not absorb neutrons, making it an ideal material for use in nuclear power stations. More than 90% of zirconium is used in this. Zirconium has five stable isotopes, of which a few are used for the production of radioisotopes. Number of neutrons in zirconium. Find out the number of protons, neutrons and electrons. How Many Neutrons Are In Zirconium.
From blogoftheisotopes.blogspot.com
Blog of the Isotopes The zirconium88 neutron caputre crosssection mystery How Many Neutrons Are In Zirconium Learn about zirconium, a transition metal. Zirconium has 40 protons and electrons in its structure. In january 2019, this isotope was discovered to have a neutron capture cross. Zirconium does not absorb neutrons, making it an ideal material for use in nuclear power stations. We know that the atomic number of zirconium is 40 and the atomic average mass number. How Many Neutrons Are In Zirconium.