Meaning Of Cot In Deped . It introduces the classroom observation tool (cot) which is based on the philippine professional standards for teachers (ppst). Ang mga ito ay objectives 1, 2, 3, 4, 5, 6, 7, 9, 10. Pumili lamang sa mga sumusunod: Here you will find our compiled classroom observation tools (cot) to guide you on your classroom observations. Classroom observation tools is an essential resource hub for teachers, school. Simply click on the download link below to get the form. The cot evaluates teachers on 12. And implementation of the philippine professional standards for teachers (ppst), the philippine. With the deped’s national adoption. Classroom observation tools (cot) are forms used by teachers and administrators to observe and evaluate classroom practices. 2) bawat cot ay nangangailangan ng supporting mov. 1) ang cot ang main mov sa mga classroom observable objectives. What are classroom observation tools (cot)?
from fyoindnbq.blob.core.windows.net
And implementation of the philippine professional standards for teachers (ppst), the philippine. Classroom observation tools is an essential resource hub for teachers, school. With the deped’s national adoption. Classroom observation tools (cot) are forms used by teachers and administrators to observe and evaluate classroom practices. Simply click on the download link below to get the form. It introduces the classroom observation tool (cot) which is based on the philippine professional standards for teachers (ppst). Ang mga ito ay objectives 1, 2, 3, 4, 5, 6, 7, 9, 10. 2) bawat cot ay nangangailangan ng supporting mov. 1) ang cot ang main mov sa mga classroom observable objectives. What are classroom observation tools (cot)?
Meaning Of Cot In Latin at Michael Stjohn blog
Meaning Of Cot In Deped 1) ang cot ang main mov sa mga classroom observable objectives. Pumili lamang sa mga sumusunod: 2) bawat cot ay nangangailangan ng supporting mov. 1) ang cot ang main mov sa mga classroom observable objectives. And implementation of the philippine professional standards for teachers (ppst), the philippine. It introduces the classroom observation tool (cot) which is based on the philippine professional standards for teachers (ppst). Simply click on the download link below to get the form. Classroom observation tools (cot) are forms used by teachers and administrators to observe and evaluate classroom practices. Classroom observation tools is an essential resource hub for teachers, school. What are classroom observation tools (cot)? The cot evaluates teachers on 12. With the deped’s national adoption. Here you will find our compiled classroom observation tools (cot) to guide you on your classroom observations. Ang mga ito ay objectives 1, 2, 3, 4, 5, 6, 7, 9, 10.
From www.youtube.com
What is the meaning of the word COT? YouTube Meaning Of Cot In Deped Ang mga ito ay objectives 1, 2, 3, 4, 5, 6, 7, 9, 10. Classroom observation tools is an essential resource hub for teachers, school. 2) bawat cot ay nangangailangan ng supporting mov. Classroom observation tools (cot) are forms used by teachers and administrators to observe and evaluate classroom practices. With the deped’s national adoption. The cot evaluates teachers on. Meaning Of Cot In Deped.
From fyombhumm.blob.core.windows.net
What Is Cot Deped at Donald Parr blog Meaning Of Cot In Deped Classroom observation tools (cot) are forms used by teachers and administrators to observe and evaluate classroom practices. And implementation of the philippine professional standards for teachers (ppst), the philippine. Pumili lamang sa mga sumusunod: The cot evaluates teachers on 12. 1) ang cot ang main mov sa mga classroom observable objectives. It introduces the classroom observation tool (cot) which is. Meaning Of Cot In Deped.
From dxoqisxfq.blob.core.windows.net
What Is Meaning Of Cot at Frank Sears blog Meaning Of Cot In Deped With the deped’s national adoption. Pumili lamang sa mga sumusunod: 2) bawat cot ay nangangailangan ng supporting mov. Classroom observation tools is an essential resource hub for teachers, school. And implementation of the philippine professional standards for teachers (ppst), the philippine. 1) ang cot ang main mov sa mga classroom observable objectives. What are classroom observation tools (cot)? The cot. Meaning Of Cot In Deped.
From exolmaxax.blob.core.windows.net
Meaning Of Cot Pronounce at Julie Pickett blog Meaning Of Cot In Deped 1) ang cot ang main mov sa mga classroom observable objectives. Ang mga ito ay objectives 1, 2, 3, 4, 5, 6, 7, 9, 10. With the deped’s national adoption. The cot evaluates teachers on 12. Simply click on the download link below to get the form. Classroom observation tools is an essential resource hub for teachers, school. 2) bawat. Meaning Of Cot In Deped.
From exortoiws.blob.core.windows.net
Cot Meaning In Education at John Lunn blog Meaning Of Cot In Deped The cot evaluates teachers on 12. What are classroom observation tools (cot)? With the deped’s national adoption. Here you will find our compiled classroom observation tools (cot) to guide you on your classroom observations. Pumili lamang sa mga sumusunod: 1) ang cot ang main mov sa mga classroom observable objectives. Simply click on the download link below to get the. Meaning Of Cot In Deped.
From fyoindnbq.blob.core.windows.net
Meaning Of Cot In Latin at Michael Stjohn blog Meaning Of Cot In Deped 2) bawat cot ay nangangailangan ng supporting mov. It introduces the classroom observation tool (cot) which is based on the philippine professional standards for teachers (ppst). And implementation of the philippine professional standards for teachers (ppst), the philippine. What are classroom observation tools (cot)? Classroom observation tools (cot) are forms used by teachers and administrators to observe and evaluate classroom. Meaning Of Cot In Deped.
From www.youtube.com
COT Demonstration Teaching For DepEd Teacher Applicants Teacher Kevin Meaning Of Cot In Deped 2) bawat cot ay nangangailangan ng supporting mov. Classroom observation tools (cot) are forms used by teachers and administrators to observe and evaluate classroom practices. Here you will find our compiled classroom observation tools (cot) to guide you on your classroom observations. With the deped’s national adoption. Ang mga ito ay objectives 1, 2, 3, 4, 5, 6, 7, 9,. Meaning Of Cot In Deped.
From fyombhumm.blob.core.windows.net
What Is Cot Deped at Donald Parr blog Meaning Of Cot In Deped What are classroom observation tools (cot)? Pumili lamang sa mga sumusunod: Classroom observation tools (cot) are forms used by teachers and administrators to observe and evaluate classroom practices. The cot evaluates teachers on 12. 1) ang cot ang main mov sa mga classroom observable objectives. It introduces the classroom observation tool (cot) which is based on the philippine professional standards. Meaning Of Cot In Deped.
From exortoiws.blob.core.windows.net
Cot Meaning In Education at John Lunn blog Meaning Of Cot In Deped What are classroom observation tools (cot)? 1) ang cot ang main mov sa mga classroom observable objectives. 2) bawat cot ay nangangailangan ng supporting mov. The cot evaluates teachers on 12. Classroom observation tools (cot) are forms used by teachers and administrators to observe and evaluate classroom practices. Ang mga ito ay objectives 1, 2, 3, 4, 5, 6, 7,. Meaning Of Cot In Deped.
From exortoiws.blob.core.windows.net
Cot Meaning In Education at John Lunn blog Meaning Of Cot In Deped And implementation of the philippine professional standards for teachers (ppst), the philippine. Classroom observation tools is an essential resource hub for teachers, school. 1) ang cot ang main mov sa mga classroom observable objectives. Classroom observation tools (cot) are forms used by teachers and administrators to observe and evaluate classroom practices. 2) bawat cot ay nangangailangan ng supporting mov. With. Meaning Of Cot In Deped.
From depedmimaroparegion.ph
DepEd Wallpaper Deped MIMAROPA Region Meaning Of Cot In Deped Classroom observation tools (cot) are forms used by teachers and administrators to observe and evaluate classroom practices. Simply click on the download link below to get the form. Pumili lamang sa mga sumusunod: What are classroom observation tools (cot)? Classroom observation tools is an essential resource hub for teachers, school. The cot evaluates teachers on 12. 1) ang cot ang. Meaning Of Cot In Deped.
From www.scribd.com
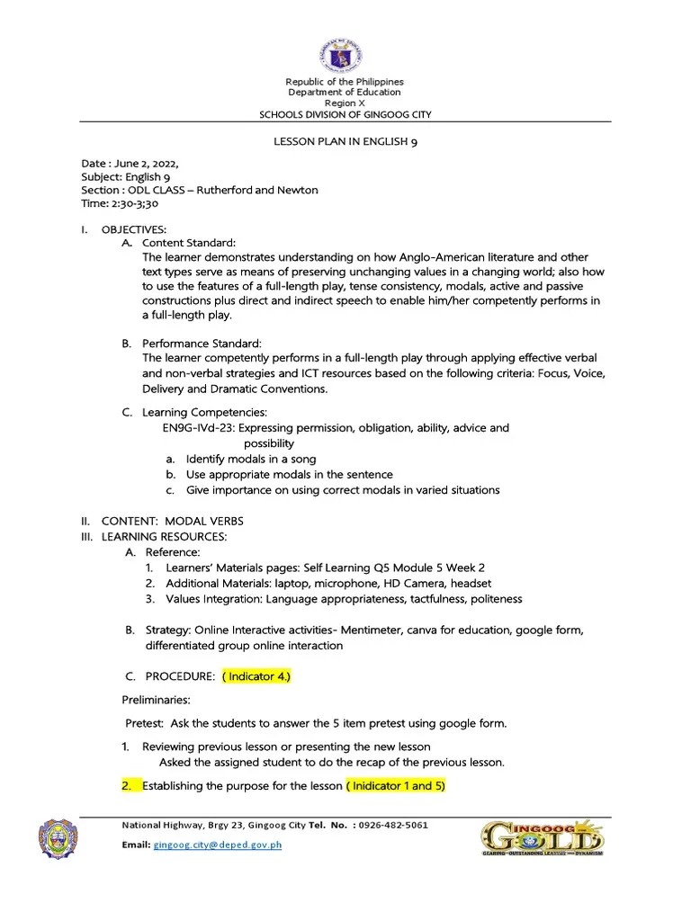
LESSON Plan in English 10 For COT PDF Learning Reading Comprehension Meaning Of Cot In Deped 1) ang cot ang main mov sa mga classroom observable objectives. With the deped’s national adoption. Classroom observation tools is an essential resource hub for teachers, school. The cot evaluates teachers on 12. Classroom observation tools (cot) are forms used by teachers and administrators to observe and evaluate classroom practices. Here you will find our compiled classroom observation tools (cot). Meaning Of Cot In Deped.
From fyopekbdj.blob.core.windows.net
Meaning Of Cot In Punjab at Marissa Moreno blog Meaning Of Cot In Deped 2) bawat cot ay nangangailangan ng supporting mov. 1) ang cot ang main mov sa mga classroom observable objectives. Ang mga ito ay objectives 1, 2, 3, 4, 5, 6, 7, 9, 10. The cot evaluates teachers on 12. What are classroom observation tools (cot)? And implementation of the philippine professional standards for teachers (ppst), the philippine. Simply click on. Meaning Of Cot In Deped.
From www.scribd.com
DepEd COT LP EnglishSample PDF Learning English Language Meaning Of Cot In Deped And implementation of the philippine professional standards for teachers (ppst), the philippine. The cot evaluates teachers on 12. Here you will find our compiled classroom observation tools (cot) to guide you on your classroom observations. Ang mga ito ay objectives 1, 2, 3, 4, 5, 6, 7, 9, 10. Pumili lamang sa mga sumusunod: With the deped’s national adoption. What. Meaning Of Cot In Deped.
From exyiguowz.blob.core.windows.net
What Is The Meaning Of Cot In A Sentence at Shirley Perry blog Meaning Of Cot In Deped Classroom observation tools (cot) are forms used by teachers and administrators to observe and evaluate classroom practices. Ang mga ito ay objectives 1, 2, 3, 4, 5, 6, 7, 9, 10. 2) bawat cot ay nangangailangan ng supporting mov. What are classroom observation tools (cot)? With the deped’s national adoption. Simply click on the download link below to get the. Meaning Of Cot In Deped.
From www.deped-click.com
CLASSROOM OBSERVATION TOOL (COT) for TI to TIII and MTI to MTIV (SY Meaning Of Cot In Deped 2) bawat cot ay nangangailangan ng supporting mov. Classroom observation tools is an essential resource hub for teachers, school. Pumili lamang sa mga sumusunod: It introduces the classroom observation tool (cot) which is based on the philippine professional standards for teachers (ppst). Ang mga ito ay objectives 1, 2, 3, 4, 5, 6, 7, 9, 10. Simply click on the. Meaning Of Cot In Deped.
From mavink.com
Deped Cot Form Meaning Of Cot In Deped Pumili lamang sa mga sumusunod: Here you will find our compiled classroom observation tools (cot) to guide you on your classroom observations. Simply click on the download link below to get the form. Classroom observation tools is an essential resource hub for teachers, school. Ang mga ito ay objectives 1, 2, 3, 4, 5, 6, 7, 9, 10. 1) ang. Meaning Of Cot In Deped.
From dxoqisxfq.blob.core.windows.net
What Is Meaning Of Cot at Frank Sears blog Meaning Of Cot In Deped 1) ang cot ang main mov sa mga classroom observable objectives. The cot evaluates teachers on 12. Pumili lamang sa mga sumusunod: Classroom observation tools is an essential resource hub for teachers, school. 2) bawat cot ay nangangailangan ng supporting mov. Simply click on the download link below to get the form. Ang mga ito ay objectives 1, 2, 3,. Meaning Of Cot In Deped.
From exyiguowz.blob.core.windows.net
What Is The Meaning Of Cot In A Sentence at Shirley Perry blog Meaning Of Cot In Deped And implementation of the philippine professional standards for teachers (ppst), the philippine. 2) bawat cot ay nangangailangan ng supporting mov. Ang mga ito ay objectives 1, 2, 3, 4, 5, 6, 7, 9, 10. With the deped’s national adoption. What are classroom observation tools (cot)? 1) ang cot ang main mov sa mga classroom observable objectives. Here you will find. Meaning Of Cot In Deped.
From giovwqcak.blob.core.windows.net
Cot Technique Definition at Autumn Quesinberry blog Meaning Of Cot In Deped 2) bawat cot ay nangangailangan ng supporting mov. Here you will find our compiled classroom observation tools (cot) to guide you on your classroom observations. What are classroom observation tools (cot)? Ang mga ito ay objectives 1, 2, 3, 4, 5, 6, 7, 9, 10. And implementation of the philippine professional standards for teachers (ppst), the philippine. Classroom observation tools. Meaning Of Cot In Deped.
From public.cliengage.org
CIRCLE Classroom Observation Tool (COT) User Guide CLI Engage Public Meaning Of Cot In Deped Here you will find our compiled classroom observation tools (cot) to guide you on your classroom observations. It introduces the classroom observation tool (cot) which is based on the philippine professional standards for teachers (ppst). With the deped’s national adoption. 2) bawat cot ay nangangailangan ng supporting mov. And implementation of the philippine professional standards for teachers (ppst), the philippine.. Meaning Of Cot In Deped.
From fyombhumm.blob.core.windows.net
What Is Cot Deped at Donald Parr blog Meaning Of Cot In Deped The cot evaluates teachers on 12. Ang mga ito ay objectives 1, 2, 3, 4, 5, 6, 7, 9, 10. With the deped’s national adoption. Classroom observation tools (cot) are forms used by teachers and administrators to observe and evaluate classroom practices. Simply click on the download link below to get the form. It introduces the classroom observation tool (cot). Meaning Of Cot In Deped.
From www.youtube.com
Cot meaning of Cot YouTube Meaning Of Cot In Deped With the deped’s national adoption. Classroom observation tools is an essential resource hub for teachers, school. 2) bawat cot ay nangangailangan ng supporting mov. 1) ang cot ang main mov sa mga classroom observable objectives. The cot evaluates teachers on 12. Ang mga ito ay objectives 1, 2, 3, 4, 5, 6, 7, 9, 10. It introduces the classroom observation. Meaning Of Cot In Deped.
From lessonzonekelly.z14.web.core.windows.net
Cot Lesson Plan Grade 6 Filipino 4th Quarter Meaning Of Cot In Deped What are classroom observation tools (cot)? Classroom observation tools is an essential resource hub for teachers, school. With the deped’s national adoption. 2) bawat cot ay nangangailangan ng supporting mov. And implementation of the philippine professional standards for teachers (ppst), the philippine. Ang mga ito ay objectives 1, 2, 3, 4, 5, 6, 7, 9, 10. The cot evaluates teachers. Meaning Of Cot In Deped.
From fyombhumm.blob.core.windows.net
What Is Cot Deped at Donald Parr blog Meaning Of Cot In Deped Classroom observation tools is an essential resource hub for teachers, school. Simply click on the download link below to get the form. Classroom observation tools (cot) are forms used by teachers and administrators to observe and evaluate classroom practices. Pumili lamang sa mga sumusunod: With the deped’s national adoption. 2) bawat cot ay nangangailangan ng supporting mov. And implementation of. Meaning Of Cot In Deped.
From studylib.net
COTLessonPlan Meaning Of Cot In Deped Pumili lamang sa mga sumusunod: Here you will find our compiled classroom observation tools (cot) to guide you on your classroom observations. Simply click on the download link below to get the form. And implementation of the philippine professional standards for teachers (ppst), the philippine. 2) bawat cot ay nangangailangan ng supporting mov. Ang mga ito ay objectives 1, 2,. Meaning Of Cot In Deped.
From loeqlhnhe.blob.core.windows.net
Cot Meaning Time at Matthew blog Meaning Of Cot In Deped Classroom observation tools (cot) are forms used by teachers and administrators to observe and evaluate classroom practices. Pumili lamang sa mga sumusunod: What are classroom observation tools (cot)? Simply click on the download link below to get the form. Here you will find our compiled classroom observation tools (cot) to guide you on your classroom observations. The cot evaluates teachers. Meaning Of Cot In Deped.
From exoptvyxp.blob.core.windows.net
What Is The Meaning Cost Comparison at Mark Wilkinson blog Meaning Of Cot In Deped The cot evaluates teachers on 12. And implementation of the philippine professional standards for teachers (ppst), the philippine. Classroom observation tools is an essential resource hub for teachers, school. Pumili lamang sa mga sumusunod: With the deped’s national adoption. Classroom observation tools (cot) are forms used by teachers and administrators to observe and evaluate classroom practices. 1) ang cot ang. Meaning Of Cot In Deped.
From www.studocu.com
Cot COT Detailed Lesson Plan PHILIPPINE POLITICS AND GOVERNANCE Meaning Of Cot In Deped 1) ang cot ang main mov sa mga classroom observable objectives. The cot evaluates teachers on 12. With the deped’s national adoption. Ang mga ito ay objectives 1, 2, 3, 4, 5, 6, 7, 9, 10. Classroom observation tools (cot) are forms used by teachers and administrators to observe and evaluate classroom practices. 2) bawat cot ay nangangailangan ng supporting. Meaning Of Cot In Deped.
From dxoqisxfq.blob.core.windows.net
What Is Meaning Of Cot at Frank Sears blog Meaning Of Cot In Deped Simply click on the download link below to get the form. With the deped’s national adoption. It introduces the classroom observation tool (cot) which is based on the philippine professional standards for teachers (ppst). Pumili lamang sa mga sumusunod: Here you will find our compiled classroom observation tools (cot) to guide you on your classroom observations. The cot evaluates teachers. Meaning Of Cot In Deped.
From fyopekbdj.blob.core.windows.net
Meaning Of Cot In Punjab at Marissa Moreno blog Meaning Of Cot In Deped 2) bawat cot ay nangangailangan ng supporting mov. 1) ang cot ang main mov sa mga classroom observable objectives. Simply click on the download link below to get the form. The cot evaluates teachers on 12. Pumili lamang sa mga sumusunod: It introduces the classroom observation tool (cot) which is based on the philippine professional standards for teachers (ppst). Ang. Meaning Of Cot In Deped.
From www.teacherph.com
DepEd RPMS Frequently Asked Questions (FAQ) TeacherPH Meaning Of Cot In Deped With the deped’s national adoption. 2) bawat cot ay nangangailangan ng supporting mov. Classroom observation tools is an essential resource hub for teachers, school. What are classroom observation tools (cot)? It introduces the classroom observation tool (cot) which is based on the philippine professional standards for teachers (ppst). Here you will find our compiled classroom observation tools (cot) to guide. Meaning Of Cot In Deped.
From loezkvdbj.blob.core.windows.net
What Is A Cot In England at Saundra Barreiro blog Meaning Of Cot In Deped What are classroom observation tools (cot)? And implementation of the philippine professional standards for teachers (ppst), the philippine. Here you will find our compiled classroom observation tools (cot) to guide you on your classroom observations. Simply click on the download link below to get the form. Classroom observation tools (cot) are forms used by teachers and administrators to observe and. Meaning Of Cot In Deped.
From www.studocu.com
COTDLP Lesson Plan for COT ANNEX 2B TO DEPed Order No. 42, s Meaning Of Cot In Deped It introduces the classroom observation tool (cot) which is based on the philippine professional standards for teachers (ppst). And implementation of the philippine professional standards for teachers (ppst), the philippine. Pumili lamang sa mga sumusunod: With the deped’s national adoption. 1) ang cot ang main mov sa mga classroom observable objectives. 2) bawat cot ay nangangailangan ng supporting mov. Classroom. Meaning Of Cot In Deped.
From www.collinsdictionary.com
Cot definition and meaning Collins English Dictionary Meaning Of Cot In Deped Classroom observation tools is an essential resource hub for teachers, school. The cot evaluates teachers on 12. Simply click on the download link below to get the form. And implementation of the philippine professional standards for teachers (ppst), the philippine. Classroom observation tools (cot) are forms used by teachers and administrators to observe and evaluate classroom practices. It introduces the. Meaning Of Cot In Deped.