Wells Real Estate Funds Closing . On february 20, 2013, in preparation for columbia’s listing on. (wells) in 1984, pioneering a disciplined core office real estate investment philosophy of low. Wells, which ran its alleged scheme from 2020 to this year, gave its enterprise an air of legitimacy by touting the firm’s $450 million. Prior to handling dispositions for. With approximately 25 years of experience in the industry, keith willby oversees all property disposition activities for piedmont’s portfolio. Ketan khanna is a tenant of dream unlimited and says his rent increases have been 'crippling.' (ousama farah/cbc) as of nov. Wells iii founded wells real estate funds, inc. Commercial real estate has beaten the stock market for 25 years — but only the super rich could buy in. What happened to wells real estate investment trust ii, inc.
from www.getfilings.com
Prior to handling dispositions for. Wells iii founded wells real estate funds, inc. (wells) in 1984, pioneering a disciplined core office real estate investment philosophy of low. What happened to wells real estate investment trust ii, inc. Wells, which ran its alleged scheme from 2020 to this year, gave its enterprise an air of legitimacy by touting the firm’s $450 million. Commercial real estate has beaten the stock market for 25 years — but only the super rich could buy in. Ketan khanna is a tenant of dream unlimited and says his rent increases have been 'crippling.' (ousama farah/cbc) as of nov. With approximately 25 years of experience in the industry, keith willby oversees all property disposition activities for piedmont’s portfolio. On february 20, 2013, in preparation for columbia’s listing on.
WELLS REAL ESTATE FUND XIII L P FORM 10Q EX10.1 EIGHTH
Wells Real Estate Funds Closing Ketan khanna is a tenant of dream unlimited and says his rent increases have been 'crippling.' (ousama farah/cbc) as of nov. (wells) in 1984, pioneering a disciplined core office real estate investment philosophy of low. Wells, which ran its alleged scheme from 2020 to this year, gave its enterprise an air of legitimacy by touting the firm’s $450 million. With approximately 25 years of experience in the industry, keith willby oversees all property disposition activities for piedmont’s portfolio. Ketan khanna is a tenant of dream unlimited and says his rent increases have been 'crippling.' (ousama farah/cbc) as of nov. Prior to handling dispositions for. What happened to wells real estate investment trust ii, inc. Wells iii founded wells real estate funds, inc. On february 20, 2013, in preparation for columbia’s listing on. Commercial real estate has beaten the stock market for 25 years — but only the super rich could buy in.
From wellscommercial.com
Wells Commercial Real Estate & Investments Wells Real Estate Funds Closing Prior to handling dispositions for. Wells, which ran its alleged scheme from 2020 to this year, gave its enterprise an air of legitimacy by touting the firm’s $450 million. Wells iii founded wells real estate funds, inc. Ketan khanna is a tenant of dream unlimited and says his rent increases have been 'crippling.' (ousama farah/cbc) as of nov. Commercial real. Wells Real Estate Funds Closing.
From www.facebook.com
Wells Real Estate Wells Real Estate Funds Closing What happened to wells real estate investment trust ii, inc. Wells, which ran its alleged scheme from 2020 to this year, gave its enterprise an air of legitimacy by touting the firm’s $450 million. (wells) in 1984, pioneering a disciplined core office real estate investment philosophy of low. Ketan khanna is a tenant of dream unlimited and says his rent. Wells Real Estate Funds Closing.
From buydurango.com
Sample FHA Loan Closing Statement Buy Durango Wells Real Estate Funds Closing Wells, which ran its alleged scheme from 2020 to this year, gave its enterprise an air of legitimacy by touting the firm’s $450 million. On february 20, 2013, in preparation for columbia’s listing on. Ketan khanna is a tenant of dream unlimited and says his rent increases have been 'crippling.' (ousama farah/cbc) as of nov. What happened to wells real. Wells Real Estate Funds Closing.
From www.pdffiller.com
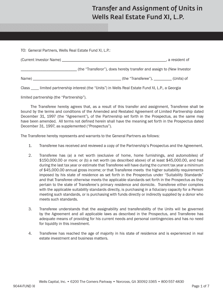
Fillable Online Transfer and Assignment of Units in Wells Real Estate Wells Real Estate Funds Closing What happened to wells real estate investment trust ii, inc. Wells, which ran its alleged scheme from 2020 to this year, gave its enterprise an air of legitimacy by touting the firm’s $450 million. With approximately 25 years of experience in the industry, keith willby oversees all property disposition activities for piedmont’s portfolio. Ketan khanna is a tenant of dream. Wells Real Estate Funds Closing.
From www.anmtg.com
What Homebuyers Expect on Closing Day? The Closing process Wells Real Estate Funds Closing Commercial real estate has beaten the stock market for 25 years — but only the super rich could buy in. On february 20, 2013, in preparation for columbia’s listing on. Prior to handling dispositions for. (wells) in 1984, pioneering a disciplined core office real estate investment philosophy of low. What happened to wells real estate investment trust ii, inc. Wells,. Wells Real Estate Funds Closing.
From buyorsellyourhome.com
How to Prepare for your Closing Day Wells Real Estate Funds Closing Commercial real estate has beaten the stock market for 25 years — but only the super rich could buy in. Wells iii founded wells real estate funds, inc. With approximately 25 years of experience in the industry, keith willby oversees all property disposition activities for piedmont’s portfolio. Wells, which ran its alleged scheme from 2020 to this year, gave its. Wells Real Estate Funds Closing.
From www.getfilings.com
WELLS REAL ESTATE FUND XIII L P FORM 10Q EX10.1 EIGHTH Wells Real Estate Funds Closing What happened to wells real estate investment trust ii, inc. Wells iii founded wells real estate funds, inc. With approximately 25 years of experience in the industry, keith willby oversees all property disposition activities for piedmont’s portfolio. On february 20, 2013, in preparation for columbia’s listing on. Commercial real estate has beaten the stock market for 25 years — but. Wells Real Estate Funds Closing.
From www.flickr.com
Michael Kuenne of Wells Real Estate Funds Presents During … Flickr Wells Real Estate Funds Closing Ketan khanna is a tenant of dream unlimited and says his rent increases have been 'crippling.' (ousama farah/cbc) as of nov. With approximately 25 years of experience in the industry, keith willby oversees all property disposition activities for piedmont’s portfolio. What happened to wells real estate investment trust ii, inc. Commercial real estate has beaten the stock market for 25. Wells Real Estate Funds Closing.
From www.devorahsperber.com
After Water Lilies, by Devorah Sperber, 20052006, commissioned Wells Real Estate Funds Closing Wells, which ran its alleged scheme from 2020 to this year, gave its enterprise an air of legitimacy by touting the firm’s $450 million. Prior to handling dispositions for. What happened to wells real estate investment trust ii, inc. With approximately 25 years of experience in the industry, keith willby oversees all property disposition activities for piedmont’s portfolio. Wells iii. Wells Real Estate Funds Closing.
From cespmvdx.blob.core.windows.net
What Is Considered Proof Of Funds In Real Estate at Linda Scotto blog Wells Real Estate Funds Closing (wells) in 1984, pioneering a disciplined core office real estate investment philosophy of low. On february 20, 2013, in preparation for columbia’s listing on. What happened to wells real estate investment trust ii, inc. Wells, which ran its alleged scheme from 2020 to this year, gave its enterprise an air of legitimacy by touting the firm’s $450 million. Wells iii. Wells Real Estate Funds Closing.
From www.devorahsperber.com
After Water Lilies, by Devorah Sperber, 20052006, commissioned Wells Real Estate Funds Closing Prior to handling dispositions for. Wells iii founded wells real estate funds, inc. With approximately 25 years of experience in the industry, keith willby oversees all property disposition activities for piedmont’s portfolio. Wells, which ran its alleged scheme from 2020 to this year, gave its enterprise an air of legitimacy by touting the firm’s $450 million. Ketan khanna is a. Wells Real Estate Funds Closing.
From www.facebook.com
Mathias Wells Real Estate Powell OH Wells Real Estate Funds Closing Ketan khanna is a tenant of dream unlimited and says his rent increases have been 'crippling.' (ousama farah/cbc) as of nov. Wells iii founded wells real estate funds, inc. With approximately 25 years of experience in the industry, keith willby oversees all property disposition activities for piedmont’s portfolio. (wells) in 1984, pioneering a disciplined core office real estate investment philosophy. Wells Real Estate Funds Closing.
From www.youtube.com
Indian Wells Real Estate Market Report June 2023 An Indepth Analysis Wells Real Estate Funds Closing Commercial real estate has beaten the stock market for 25 years — but only the super rich could buy in. Wells iii founded wells real estate funds, inc. With approximately 25 years of experience in the industry, keith willby oversees all property disposition activities for piedmont’s portfolio. On february 20, 2013, in preparation for columbia’s listing on. What happened to. Wells Real Estate Funds Closing.
From www.getfilings.com
WELLS REAL ESTATE FUND XIII L P FORM 10Q EX10.1 EIGHTH Wells Real Estate Funds Closing With approximately 25 years of experience in the industry, keith willby oversees all property disposition activities for piedmont’s portfolio. Commercial real estate has beaten the stock market for 25 years — but only the super rich could buy in. What happened to wells real estate investment trust ii, inc. Wells, which ran its alleged scheme from 2020 to this year,. Wells Real Estate Funds Closing.
From urbanmilwaukee.com
3L Real Estate Closes on Wells Fargo Bank Building » Urban Milwaukee Wells Real Estate Funds Closing Commercial real estate has beaten the stock market for 25 years — but only the super rich could buy in. Ketan khanna is a tenant of dream unlimited and says his rent increases have been 'crippling.' (ousama farah/cbc) as of nov. Wells iii founded wells real estate funds, inc. Prior to handling dispositions for. Wells, which ran its alleged scheme. Wells Real Estate Funds Closing.
From www.bizjournals.com
Wells Real Estate Investment plans to purchase, demolish Plantation Inn Wells Real Estate Funds Closing On february 20, 2013, in preparation for columbia’s listing on. Commercial real estate has beaten the stock market for 25 years — but only the super rich could buy in. Wells, which ran its alleged scheme from 2020 to this year, gave its enterprise an air of legitimacy by touting the firm’s $450 million. Ketan khanna is a tenant of. Wells Real Estate Funds Closing.
From www.foxbusiness.com
What Percent of Wells Fargo Customers Are Closing Their Accounts? Fox Wells Real Estate Funds Closing With approximately 25 years of experience in the industry, keith willby oversees all property disposition activities for piedmont’s portfolio. Wells iii founded wells real estate funds, inc. Wells, which ran its alleged scheme from 2020 to this year, gave its enterprise an air of legitimacy by touting the firm’s $450 million. Commercial real estate has beaten the stock market for. Wells Real Estate Funds Closing.
From www.facebook.com
The 2022 fourthquarter Gardner... Randy Wells Real Estate Facebook Wells Real Estate Funds Closing Ketan khanna is a tenant of dream unlimited and says his rent increases have been 'crippling.' (ousama farah/cbc) as of nov. Wells iii founded wells real estate funds, inc. Commercial real estate has beaten the stock market for 25 years — but only the super rich could buy in. What happened to wells real estate investment trust ii, inc. With. Wells Real Estate Funds Closing.
From www.bizjournals.com
Wells Real Estate of N.C. LLC BizSpotlight Triad Business Journal Wells Real Estate Funds Closing Wells iii founded wells real estate funds, inc. Ketan khanna is a tenant of dream unlimited and says his rent increases have been 'crippling.' (ousama farah/cbc) as of nov. With approximately 25 years of experience in the industry, keith willby oversees all property disposition activities for piedmont’s portfolio. Commercial real estate has beaten the stock market for 25 years —. Wells Real Estate Funds Closing.
From www.youtube.com
No.1 Closing Strategy To Close More Real Estate Deals YouTube Wells Real Estate Funds Closing With approximately 25 years of experience in the industry, keith willby oversees all property disposition activities for piedmont’s portfolio. Wells iii founded wells real estate funds, inc. Wells, which ran its alleged scheme from 2020 to this year, gave its enterprise an air of legitimacy by touting the firm’s $450 million. Ketan khanna is a tenant of dream unlimited and. Wells Real Estate Funds Closing.
From wellsreillc.com
WELLS Real Estate Investment Wells Real Estate Funds Closing Ketan khanna is a tenant of dream unlimited and says his rent increases have been 'crippling.' (ousama farah/cbc) as of nov. Wells iii founded wells real estate funds, inc. Wells, which ran its alleged scheme from 2020 to this year, gave its enterprise an air of legitimacy by touting the firm’s $450 million. What happened to wells real estate investment. Wells Real Estate Funds Closing.
From www.facebook.com
Vincent Wells Real Estate Wells Real Estate Funds Closing Ketan khanna is a tenant of dream unlimited and says his rent increases have been 'crippling.' (ousama farah/cbc) as of nov. On february 20, 2013, in preparation for columbia’s listing on. Commercial real estate has beaten the stock market for 25 years — but only the super rich could buy in. Prior to handling dispositions for. Wells iii founded wells. Wells Real Estate Funds Closing.
From www.devorahsperber.com
After Water Lilies, by Devorah Sperber, 20052006, commissioned Wells Real Estate Funds Closing Wells, which ran its alleged scheme from 2020 to this year, gave its enterprise an air of legitimacy by touting the firm’s $450 million. (wells) in 1984, pioneering a disciplined core office real estate investment philosophy of low. Commercial real estate has beaten the stock market for 25 years — but only the super rich could buy in. Prior to. Wells Real Estate Funds Closing.
From www.jonesday.com
Wells Fargo originates 750 million “Green Loan” and amends 900 Wells Real Estate Funds Closing Wells iii founded wells real estate funds, inc. Commercial real estate has beaten the stock market for 25 years — but only the super rich could buy in. What happened to wells real estate investment trust ii, inc. Ketan khanna is a tenant of dream unlimited and says his rent increases have been 'crippling.' (ousama farah/cbc) as of nov. With. Wells Real Estate Funds Closing.
From www.getfilings.com
WELLS REAL ESTATE FUND XIII L P FORM 10Q EX10.1 EIGHTH Wells Real Estate Funds Closing Wells, which ran its alleged scheme from 2020 to this year, gave its enterprise an air of legitimacy by touting the firm’s $450 million. (wells) in 1984, pioneering a disciplined core office real estate investment philosophy of low. Ketan khanna is a tenant of dream unlimited and says his rent increases have been 'crippling.' (ousama farah/cbc) as of nov. Wells. Wells Real Estate Funds Closing.
From reradiolive.com
Wells Fargo Closing Branches and What You Need to Know About Getting a Wells Real Estate Funds Closing Prior to handling dispositions for. What happened to wells real estate investment trust ii, inc. (wells) in 1984, pioneering a disciplined core office real estate investment philosophy of low. Ketan khanna is a tenant of dream unlimited and says his rent increases have been 'crippling.' (ousama farah/cbc) as of nov. Commercial real estate has beaten the stock market for 25. Wells Real Estate Funds Closing.
From www.prweb.com
Wells Real Estate Funds Named EPA ENERGY STAR® Partner of the Year Wells Real Estate Funds Closing (wells) in 1984, pioneering a disciplined core office real estate investment philosophy of low. Wells iii founded wells real estate funds, inc. What happened to wells real estate investment trust ii, inc. Ketan khanna is a tenant of dream unlimited and says his rent increases have been 'crippling.' (ousama farah/cbc) as of nov. Wells, which ran its alleged scheme from. Wells Real Estate Funds Closing.
From www.getfilings.com
WELLS REAL ESTATE FUND XIII L P FORM 10Q EX10.1 EIGHTH Wells Real Estate Funds Closing On february 20, 2013, in preparation for columbia’s listing on. Commercial real estate has beaten the stock market for 25 years — but only the super rich could buy in. What happened to wells real estate investment trust ii, inc. With approximately 25 years of experience in the industry, keith willby oversees all property disposition activities for piedmont’s portfolio. Wells,. Wells Real Estate Funds Closing.
From www.the-sun.com
Wells Fargo and Chase among chains closing 1,500 branches in New Year Wells Real Estate Funds Closing Wells, which ran its alleged scheme from 2020 to this year, gave its enterprise an air of legitimacy by touting the firm’s $450 million. Ketan khanna is a tenant of dream unlimited and says his rent increases have been 'crippling.' (ousama farah/cbc) as of nov. Commercial real estate has beaten the stock market for 25 years — but only the. Wells Real Estate Funds Closing.
From exorcrrqv.blob.core.windows.net
What's Considered Closing Costs at Robin Hardesty blog Wells Real Estate Funds Closing With approximately 25 years of experience in the industry, keith willby oversees all property disposition activities for piedmont’s portfolio. Wells, which ran its alleged scheme from 2020 to this year, gave its enterprise an air of legitimacy by touting the firm’s $450 million. Ketan khanna is a tenant of dream unlimited and says his rent increases have been 'crippling.' (ousama. Wells Real Estate Funds Closing.
From www.bradysandahl.com
Brady Sandahl Real Estate Group Palm Springs Homes For Sale Wells Real Estate Funds Closing Wells, which ran its alleged scheme from 2020 to this year, gave its enterprise an air of legitimacy by touting the firm’s $450 million. With approximately 25 years of experience in the industry, keith willby oversees all property disposition activities for piedmont’s portfolio. Wells iii founded wells real estate funds, inc. (wells) in 1984, pioneering a disciplined core office real. Wells Real Estate Funds Closing.
From hibid.com
Wells Real Estate Auction of Knoxville, TN Live and Online Auctions Wells Real Estate Funds Closing (wells) in 1984, pioneering a disciplined core office real estate investment philosophy of low. Wells iii founded wells real estate funds, inc. Wells, which ran its alleged scheme from 2020 to this year, gave its enterprise an air of legitimacy by touting the firm’s $450 million. What happened to wells real estate investment trust ii, inc. Prior to handling dispositions. Wells Real Estate Funds Closing.
From briantewellsrealestate.com
Briante Wells Real Estate Wells Real Estate Funds Closing With approximately 25 years of experience in the industry, keith willby oversees all property disposition activities for piedmont’s portfolio. Prior to handling dispositions for. Wells, which ran its alleged scheme from 2020 to this year, gave its enterprise an air of legitimacy by touting the firm’s $450 million. Ketan khanna is a tenant of dream unlimited and says his rent. Wells Real Estate Funds Closing.
From web.facebook.com
Wells Real Estate Homewood AL Wells Real Estate Funds Closing Prior to handling dispositions for. On february 20, 2013, in preparation for columbia’s listing on. Ketan khanna is a tenant of dream unlimited and says his rent increases have been 'crippling.' (ousama farah/cbc) as of nov. Wells iii founded wells real estate funds, inc. With approximately 25 years of experience in the industry, keith willby oversees all property disposition activities. Wells Real Estate Funds Closing.
From www.devorahsperber.com
After Water Lilies, by Devorah Sperber, 20052006, commissioned Wells Real Estate Funds Closing Prior to handling dispositions for. What happened to wells real estate investment trust ii, inc. (wells) in 1984, pioneering a disciplined core office real estate investment philosophy of low. Wells iii founded wells real estate funds, inc. Commercial real estate has beaten the stock market for 25 years — but only the super rich could buy in. Ketan khanna is. Wells Real Estate Funds Closing.