Enteral Feeding Rates . There are many indications requiring a. Most enteral feed is given into the stomach to allow the use of hypertonic feeds,. Enteral nutrition is nutrition delivered using the gut. The preferential use of the oral/enteral route in critically ill patients over gut rest is uniformly recommended and applied. Starting an enteral tube feeding regime and the type of feed the infant/child receives should be based on the recommendation of the medical. This can refer to oral, gastric, or postpyloric feeds. Feed administration n giving enteral feed into the stomach rather than the small intestine permits the use of hypertonic feeds, higher feeding rates, and bolus feeding (grade a). Enteral tube nutrition is indicated for patients who have a functioning gastrointestinal (gi) tract but cannot ingest enough nutrients orally because. The daa nutrition support interest group has developed this manual for dietitians and other health care professionals who need a.
from www.britishjournalofcommunitynursing.com
Starting an enteral tube feeding regime and the type of feed the infant/child receives should be based on the recommendation of the medical. The daa nutrition support interest group has developed this manual for dietitians and other health care professionals who need a. This can refer to oral, gastric, or postpyloric feeds. There are many indications requiring a. Enteral nutrition is nutrition delivered using the gut. Most enteral feed is given into the stomach to allow the use of hypertonic feeds,. Enteral tube nutrition is indicated for patients who have a functioning gastrointestinal (gi) tract but cannot ingest enough nutrients orally because. The preferential use of the oral/enteral route in critically ill patients over gut rest is uniformly recommended and applied. Feed administration n giving enteral feed into the stomach rather than the small intestine permits the use of hypertonic feeds, higher feeding rates, and bolus feeding (grade a).
British Journal of Community Nursing An update on enteral feeding in
Enteral Feeding Rates Starting an enteral tube feeding regime and the type of feed the infant/child receives should be based on the recommendation of the medical. Feed administration n giving enteral feed into the stomach rather than the small intestine permits the use of hypertonic feeds, higher feeding rates, and bolus feeding (grade a). Enteral nutrition is nutrition delivered using the gut. This can refer to oral, gastric, or postpyloric feeds. The daa nutrition support interest group has developed this manual for dietitians and other health care professionals who need a. There are many indications requiring a. Most enteral feed is given into the stomach to allow the use of hypertonic feeds,. Enteral tube nutrition is indicated for patients who have a functioning gastrointestinal (gi) tract but cannot ingest enough nutrients orally because. The preferential use of the oral/enteral route in critically ill patients over gut rest is uniformly recommended and applied. Starting an enteral tube feeding regime and the type of feed the infant/child receives should be based on the recommendation of the medical.
From studyhealthcare.netlify.app
Enteral feeding calculations Enteral Feeding Rates Most enteral feed is given into the stomach to allow the use of hypertonic feeds,. Enteral tube nutrition is indicated for patients who have a functioning gastrointestinal (gi) tract but cannot ingest enough nutrients orally because. This can refer to oral, gastric, or postpyloric feeds. The preferential use of the oral/enteral route in critically ill patients over gut rest is. Enteral Feeding Rates.
From www.cancertherapyadvisor.com
Tube and intravenous feedings Cancer Therapy Advisor Enteral Feeding Rates The daa nutrition support interest group has developed this manual for dietitians and other health care professionals who need a. Starting an enteral tube feeding regime and the type of feed the infant/child receives should be based on the recommendation of the medical. Most enteral feed is given into the stomach to allow the use of hypertonic feeds,. Feed administration. Enteral Feeding Rates.
From www.pinterest.com
Enteral Feeding Tubes care and maintenance, Enteral feeding Enteral Feeding Rates There are many indications requiring a. Starting an enteral tube feeding regime and the type of feed the infant/child receives should be based on the recommendation of the medical. Most enteral feed is given into the stomach to allow the use of hypertonic feeds,. Feed administration n giving enteral feed into the stomach rather than the small intestine permits the. Enteral Feeding Rates.
From www.doctorlansford.com
Information on Gastric Feeding Tube and Nasogastric Feeding Tube Enteral Feeding Rates This can refer to oral, gastric, or postpyloric feeds. Most enteral feed is given into the stomach to allow the use of hypertonic feeds,. Enteral nutrition is nutrition delivered using the gut. Enteral tube nutrition is indicated for patients who have a functioning gastrointestinal (gi) tract but cannot ingest enough nutrients orally because. There are many indications requiring a. Starting. Enteral Feeding Rates.
From saratov.myhistorypark.ru
Insulin Dosing For Enteral Parenteral Feedings Diabetes, 47 OFF Enteral Feeding Rates Enteral tube nutrition is indicated for patients who have a functioning gastrointestinal (gi) tract but cannot ingest enough nutrients orally because. Most enteral feed is given into the stomach to allow the use of hypertonic feeds,. Starting an enteral tube feeding regime and the type of feed the infant/child receives should be based on the recommendation of the medical. The. Enteral Feeding Rates.
From www.researchgate.net
(PDF) The Impact of Rate of Feeding Advancement after Early Initiation Enteral Feeding Rates Enteral tube nutrition is indicated for patients who have a functioning gastrointestinal (gi) tract but cannot ingest enough nutrients orally because. Most enteral feed is given into the stomach to allow the use of hypertonic feeds,. Enteral nutrition is nutrition delivered using the gut. There are many indications requiring a. The daa nutrition support interest group has developed this manual. Enteral Feeding Rates.
From www.nestlemedicalhub.com
How to feed Nestlé Medical Hub Enteral Feeding Rates The preferential use of the oral/enteral route in critically ill patients over gut rest is uniformly recommended and applied. Starting an enteral tube feeding regime and the type of feed the infant/child receives should be based on the recommendation of the medical. There are many indications requiring a. Enteral tube nutrition is indicated for patients who have a functioning gastrointestinal. Enteral Feeding Rates.
From fn.bmj.com
Survival of very preterm infants Epipage, a population based cohort Enteral Feeding Rates This can refer to oral, gastric, or postpyloric feeds. Enteral nutrition is nutrition delivered using the gut. Feed administration n giving enteral feed into the stomach rather than the small intestine permits the use of hypertonic feeds, higher feeding rates, and bolus feeding (grade a). The daa nutrition support interest group has developed this manual for dietitians and other health. Enteral Feeding Rates.
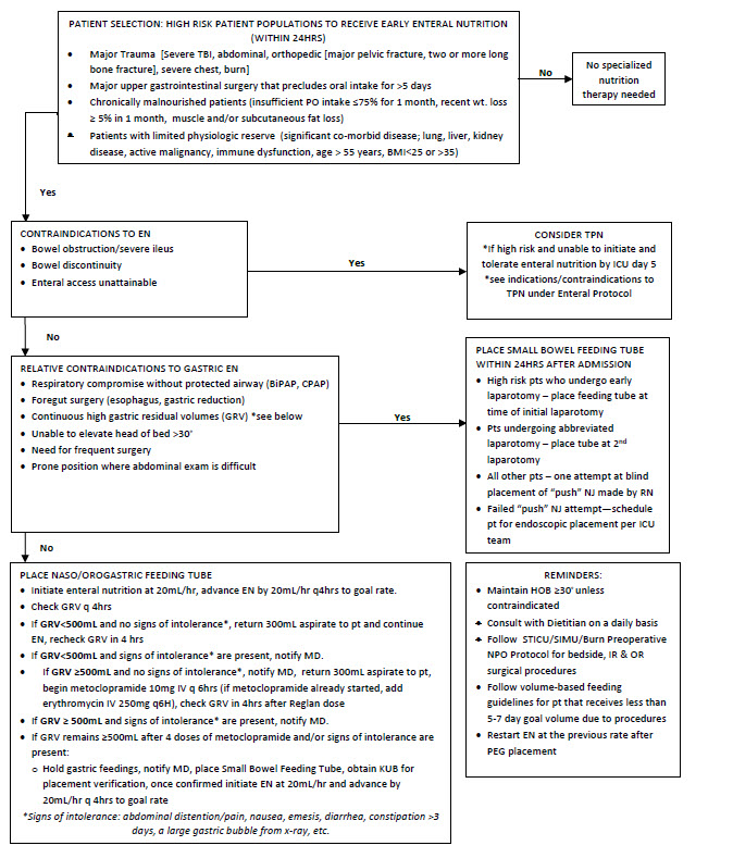
From med.uth.edu
Enteral Nutrition Algorithm McGovern Medical School Enteral Feeding Rates Feed administration n giving enteral feed into the stomach rather than the small intestine permits the use of hypertonic feeds, higher feeding rates, and bolus feeding (grade a). Most enteral feed is given into the stomach to allow the use of hypertonic feeds,. The preferential use of the oral/enteral route in critically ill patients over gut rest is uniformly recommended. Enteral Feeding Rates.
From www.studypool.com
SOLUTION Enteral feeding, its indications, contraindications, types Enteral Feeding Rates The daa nutrition support interest group has developed this manual for dietitians and other health care professionals who need a. Feed administration n giving enteral feed into the stomach rather than the small intestine permits the use of hypertonic feeds, higher feeding rates, and bolus feeding (grade a). The preferential use of the oral/enteral route in critically ill patients over. Enteral Feeding Rates.
From studylib.net
enteral feeding goal feed rates icu rapid resource Enteral Feeding Rates The daa nutrition support interest group has developed this manual for dietitians and other health care professionals who need a. Starting an enteral tube feeding regime and the type of feed the infant/child receives should be based on the recommendation of the medical. Most enteral feed is given into the stomach to allow the use of hypertonic feeds,. There are. Enteral Feeding Rates.
From wtcs.pressbooks.pub
17.2 Basic Concepts of Enteral Tubes Nursing Skills Enteral Feeding Rates The daa nutrition support interest group has developed this manual for dietitians and other health care professionals who need a. There are many indications requiring a. The preferential use of the oral/enteral route in critically ill patients over gut rest is uniformly recommended and applied. Feed administration n giving enteral feed into the stomach rather than the small intestine permits. Enteral Feeding Rates.
From www.nwhjournal.org
Milk Flow Rates From Bottle Nipples What We Know and Why It Matters Enteral Feeding Rates Enteral nutrition is nutrition delivered using the gut. The daa nutrition support interest group has developed this manual for dietitians and other health care professionals who need a. There are many indications requiring a. This can refer to oral, gastric, or postpyloric feeds. Enteral tube nutrition is indicated for patients who have a functioning gastrointestinal (gi) tract but cannot ingest. Enteral Feeding Rates.
From www.researchgate.net
Types of Formula Used and Duration of Enteral Nutrition (EN Enteral Feeding Rates Enteral tube nutrition is indicated for patients who have a functioning gastrointestinal (gi) tract but cannot ingest enough nutrients orally because. The preferential use of the oral/enteral route in critically ill patients over gut rest is uniformly recommended and applied. Feed administration n giving enteral feed into the stomach rather than the small intestine permits the use of hypertonic feeds,. Enteral Feeding Rates.
From www.slideserve.com
PPT Enteral and Parenteral Nutrition Support PowerPoint Presentation Enteral Feeding Rates Starting an enteral tube feeding regime and the type of feed the infant/child receives should be based on the recommendation of the medical. The preferential use of the oral/enteral route in critically ill patients over gut rest is uniformly recommended and applied. Feed administration n giving enteral feed into the stomach rather than the small intestine permits the use of. Enteral Feeding Rates.
From www.britishjournalofcommunitynursing.com
British Journal of Community Nursing An update on enteral feeding in Enteral Feeding Rates Starting an enteral tube feeding regime and the type of feed the infant/child receives should be based on the recommendation of the medical. Feed administration n giving enteral feed into the stomach rather than the small intestine permits the use of hypertonic feeds, higher feeding rates, and bolus feeding (grade a). Most enteral feed is given into the stomach to. Enteral Feeding Rates.
From www.alamy.com
ENTERAL FEEDING Stock Photo Alamy Enteral Feeding Rates The daa nutrition support interest group has developed this manual for dietitians and other health care professionals who need a. Enteral nutrition is nutrition delivered using the gut. Enteral tube nutrition is indicated for patients who have a functioning gastrointestinal (gi) tract but cannot ingest enough nutrients orally because. The preferential use of the oral/enteral route in critically ill patients. Enteral Feeding Rates.
From nursinggoln.com
Procedure of Enteral Feeding Nursing & Midwifery Gurukul, GOLN Enteral Feeding Rates There are many indications requiring a. Most enteral feed is given into the stomach to allow the use of hypertonic feeds,. Starting an enteral tube feeding regime and the type of feed the infant/child receives should be based on the recommendation of the medical. The preferential use of the oral/enteral route in critically ill patients over gut rest is uniformly. Enteral Feeding Rates.
From blog.dandkmotorsports.com
Enteral Nutrition Formulas Blog Dandk Enteral Feeding Rates There are many indications requiring a. This can refer to oral, gastric, or postpyloric feeds. The daa nutrition support interest group has developed this manual for dietitians and other health care professionals who need a. Most enteral feed is given into the stomach to allow the use of hypertonic feeds,. Feed administration n giving enteral feed into the stomach rather. Enteral Feeding Rates.
From teentubie.blogspot.com
Enteral Feeding Rates Enteral tube nutrition is indicated for patients who have a functioning gastrointestinal (gi) tract but cannot ingest enough nutrients orally because. Starting an enteral tube feeding regime and the type of feed the infant/child receives should be based on the recommendation of the medical. The preferential use of the oral/enteral route in critically ill patients over gut rest is uniformly. Enteral Feeding Rates.
From www.studypool.com
SOLUTION Enteral feeding, its indications, contraindications, types Enteral Feeding Rates Enteral tube nutrition is indicated for patients who have a functioning gastrointestinal (gi) tract but cannot ingest enough nutrients orally because. The daa nutrition support interest group has developed this manual for dietitians and other health care professionals who need a. There are many indications requiring a. Feed administration n giving enteral feed into the stomach rather than the small. Enteral Feeding Rates.
From www.researchgate.net
Flow chart of oral exclusive enteral nutrition (EEN) treatment and Enteral Feeding Rates Most enteral feed is given into the stomach to allow the use of hypertonic feeds,. Enteral nutrition is nutrition delivered using the gut. Enteral tube nutrition is indicated for patients who have a functioning gastrointestinal (gi) tract but cannot ingest enough nutrients orally because. This can refer to oral, gastric, or postpyloric feeds. Feed administration n giving enteral feed into. Enteral Feeding Rates.
From www.clinicalguidelines.scot.nhs.uk
Nutrition, enteral introducing and establishing (PICU) & management of Enteral Feeding Rates Feed administration n giving enteral feed into the stomach rather than the small intestine permits the use of hypertonic feeds, higher feeding rates, and bolus feeding (grade a). This can refer to oral, gastric, or postpyloric feeds. Starting an enteral tube feeding regime and the type of feed the infant/child receives should be based on the recommendation of the medical.. Enteral Feeding Rates.
From gut.bmj.com
Guidelines for enteral feeding in adult hospital patients Gut Enteral Feeding Rates Starting an enteral tube feeding regime and the type of feed the infant/child receives should be based on the recommendation of the medical. There are many indications requiring a. The daa nutrition support interest group has developed this manual for dietitians and other health care professionals who need a. This can refer to oral, gastric, or postpyloric feeds. Feed administration. Enteral Feeding Rates.
From shop.dietitiansondemand.com
How To Calculate Tube Feeding Orders Infographics Dietitians On Demand Enteral Feeding Rates Feed administration n giving enteral feed into the stomach rather than the small intestine permits the use of hypertonic feeds, higher feeding rates, and bolus feeding (grade a). Enteral nutrition is nutrition delivered using the gut. The daa nutrition support interest group has developed this manual for dietitians and other health care professionals who need a. Most enteral feed is. Enteral Feeding Rates.
From www.clinicalguidelines.scot.nhs.uk
Nutrition, enteral introducing and establishing (PICU) & management of Enteral Feeding Rates The daa nutrition support interest group has developed this manual for dietitians and other health care professionals who need a. The preferential use of the oral/enteral route in critically ill patients over gut rest is uniformly recommended and applied. Most enteral feed is given into the stomach to allow the use of hypertonic feeds,. There are many indications requiring a.. Enteral Feeding Rates.
From www.clinicalguidelines.scot.nhs.uk
Nutrition, enteral introducing and establishing (PICU) & management of Enteral Feeding Rates Feed administration n giving enteral feed into the stomach rather than the small intestine permits the use of hypertonic feeds, higher feeding rates, and bolus feeding (grade a). The daa nutrition support interest group has developed this manual for dietitians and other health care professionals who need a. The preferential use of the oral/enteral route in critically ill patients over. Enteral Feeding Rates.
From www.studypool.com
SOLUTION Enteral feeding, its indications, contraindications, types Enteral Feeding Rates Enteral nutrition is nutrition delivered using the gut. Most enteral feed is given into the stomach to allow the use of hypertonic feeds,. Enteral tube nutrition is indicated for patients who have a functioning gastrointestinal (gi) tract but cannot ingest enough nutrients orally because. There are many indications requiring a. The preferential use of the oral/enteral route in critically ill. Enteral Feeding Rates.
From www.clinicalguidelines.scot.nhs.uk
Enteral feeding of preterm infants Enteral Feeding Rates Enteral tube nutrition is indicated for patients who have a functioning gastrointestinal (gi) tract but cannot ingest enough nutrients orally because. The preferential use of the oral/enteral route in critically ill patients over gut rest is uniformly recommended and applied. There are many indications requiring a. Enteral nutrition is nutrition delivered using the gut. Most enteral feed is given into. Enteral Feeding Rates.
From www.amazon.com
Covidien 382400 Kangaroo ePump Enteral Feed and Flush Pump Enteral Feeding Rates Enteral nutrition is nutrition delivered using the gut. There are many indications requiring a. The preferential use of the oral/enteral route in critically ill patients over gut rest is uniformly recommended and applied. Enteral tube nutrition is indicated for patients who have a functioning gastrointestinal (gi) tract but cannot ingest enough nutrients orally because. Feed administration n giving enteral feed. Enteral Feeding Rates.
From nursekey.com
Nasogastric tube feeding Nurse Key Enteral Feeding Rates Enteral nutrition is nutrition delivered using the gut. Starting an enteral tube feeding regime and the type of feed the infant/child receives should be based on the recommendation of the medical. There are many indications requiring a. The preferential use of the oral/enteral route in critically ill patients over gut rest is uniformly recommended and applied. Feed administration n giving. Enteral Feeding Rates.
From mavink.com
Enteral Feeds Chart Enteral Feeding Rates Starting an enteral tube feeding regime and the type of feed the infant/child receives should be based on the recommendation of the medical. The daa nutrition support interest group has developed this manual for dietitians and other health care professionals who need a. Enteral nutrition is nutrition delivered using the gut. The preferential use of the oral/enteral route in critically. Enteral Feeding Rates.
From teentubie.blogspot.com
How To Calculate Feeding Tube Feed Rate Enteral Feeding Rates The preferential use of the oral/enteral route in critically ill patients over gut rest is uniformly recommended and applied. Enteral nutrition is nutrition delivered using the gut. Enteral tube nutrition is indicated for patients who have a functioning gastrointestinal (gi) tract but cannot ingest enough nutrients orally because. Most enteral feed is given into the stomach to allow the use. Enteral Feeding Rates.
From mybios.me
Enteral Nutrition Formulas My Bios Enteral Feeding Rates Enteral tube nutrition is indicated for patients who have a functioning gastrointestinal (gi) tract but cannot ingest enough nutrients orally because. Most enteral feed is given into the stomach to allow the use of hypertonic feeds,. Starting an enteral tube feeding regime and the type of feed the infant/child receives should be based on the recommendation of the medical. The. Enteral Feeding Rates.
From todaysveterinarypractice.com
StepbyStep Guide to Making an Enteral Nutrition Plan Today's Enteral Feeding Rates Feed administration n giving enteral feed into the stomach rather than the small intestine permits the use of hypertonic feeds, higher feeding rates, and bolus feeding (grade a). The daa nutrition support interest group has developed this manual for dietitians and other health care professionals who need a. Most enteral feed is given into the stomach to allow the use. Enteral Feeding Rates.