A Resistance Of 30 Ohms Is Placed In A Circuit With A 90 Volt Battery . A motor with a resistance of 32ω is connected to. Use ohm's law to calculate the current (i) in the circuit: Measure the voltage drop across the resistor using a voltmeter. This parallel resistor calculator is a tool for determining the equivalent resistance of a circuit with up to ten resistors in parallel. This free ohm's law calculator solves for any of the variables in the ohm's law equation using various units of measurement and gives out the solving steps. To calculate resistance using ohm's law, follow the given instructions: Just enter 2 known values and the calculator will solve for. Use ohms law to relate resistance, current and voltage. Calculate power, current, voltage or resistance. I = v/r where v is the voltage of the battery and r is the resistance of the circuit. What current flows in the circuit? A resistance of 30ω is placed in a circuit with a 90 volt battery. Simple to use ohm's law calculator. In national 5 physics calculate the resistance for combinations of resistors in series and parallel.
from www.numerade.com
A resistance of 30ω is placed in a circuit with a 90 volt battery. Measure the voltage drop across the resistor using a voltmeter. Use ohm's law to calculate the current (i) in the circuit: This free ohm's law calculator solves for any of the variables in the ohm's law equation using various units of measurement and gives out the solving steps. A motor with a resistance of 32ω is connected to. To calculate resistance using ohm's law, follow the given instructions: Calculate power, current, voltage or resistance. In national 5 physics calculate the resistance for combinations of resistors in series and parallel. Use ohms law to relate resistance, current and voltage. I = v/r where v is the voltage of the battery and r is the resistance of the circuit.
SOLVED Three Phase Circuits 1. Three loads, each of resistance 30 ohm
A Resistance Of 30 Ohms Is Placed In A Circuit With A 90 Volt Battery I = v/r where v is the voltage of the battery and r is the resistance of the circuit. This parallel resistor calculator is a tool for determining the equivalent resistance of a circuit with up to ten resistors in parallel. Just enter 2 known values and the calculator will solve for. Use ohm's law to calculate the current (i) in the circuit: In national 5 physics calculate the resistance for combinations of resistors in series and parallel. Measure the voltage drop across the resistor using a voltmeter. Simple to use ohm's law calculator. A resistance of 30ω is placed in a circuit with a 90 volt battery. A motor with a resistance of 32ω is connected to. I = v/r where v is the voltage of the battery and r is the resistance of the circuit. Use ohms law to relate resistance, current and voltage. To calculate resistance using ohm's law, follow the given instructions: This free ohm's law calculator solves for any of the variables in the ohm's law equation using various units of measurement and gives out the solving steps. What current flows in the circuit? Calculate power, current, voltage or resistance.
From www.teachoo.com
Resistance in Parallel Diagram, Formula and Numericals Teachoo A Resistance Of 30 Ohms Is Placed In A Circuit With A 90 Volt Battery Simple to use ohm's law calculator. This free ohm's law calculator solves for any of the variables in the ohm's law equation using various units of measurement and gives out the solving steps. A motor with a resistance of 32ω is connected to. What current flows in the circuit? Use ohms law to relate resistance, current and voltage. To calculate. A Resistance Of 30 Ohms Is Placed In A Circuit With A 90 Volt Battery.
From www.numerade.com
SOLVED difference across resistor R? (3) (2) 6) Which circuit diagram A Resistance Of 30 Ohms Is Placed In A Circuit With A 90 Volt Battery This parallel resistor calculator is a tool for determining the equivalent resistance of a circuit with up to ten resistors in parallel. I = v/r where v is the voltage of the battery and r is the resistance of the circuit. Use ohm's law to calculate the current (i) in the circuit: Measure the voltage drop across the resistor using. A Resistance Of 30 Ohms Is Placed In A Circuit With A 90 Volt Battery.
From www.numerade.com
SOLVED A coil having a resistance of 30 ohms and an inductance L is A Resistance Of 30 Ohms Is Placed In A Circuit With A 90 Volt Battery A resistance of 30ω is placed in a circuit with a 90 volt battery. What current flows in the circuit? This free ohm's law calculator solves for any of the variables in the ohm's law equation using various units of measurement and gives out the solving steps. I = v/r where v is the voltage of the battery and r. A Resistance Of 30 Ohms Is Placed In A Circuit With A 90 Volt Battery.
From pimylifeup.com
Understanding Ohm's Law Pi My Life Up A Resistance Of 30 Ohms Is Placed In A Circuit With A 90 Volt Battery Use ohm's law to calculate the current (i) in the circuit: This parallel resistor calculator is a tool for determining the equivalent resistance of a circuit with up to ten resistors in parallel. A motor with a resistance of 32ω is connected to. I = v/r where v is the voltage of the battery and r is the resistance of. A Resistance Of 30 Ohms Is Placed In A Circuit With A 90 Volt Battery.
From www.youtube.com
Four resistors are connected to a battery as shown in the figure. (a A Resistance Of 30 Ohms Is Placed In A Circuit With A 90 Volt Battery A motor with a resistance of 32ω is connected to. A resistance of 30ω is placed in a circuit with a 90 volt battery. To calculate resistance using ohm's law, follow the given instructions: Simple to use ohm's law calculator. Measure the voltage drop across the resistor using a voltmeter. I = v/r where v is the voltage of the. A Resistance Of 30 Ohms Is Placed In A Circuit With A 90 Volt Battery.
From manuallistcantabank.z21.web.core.windows.net
Ohms Law Calculations A Resistance Of 30 Ohms Is Placed In A Circuit With A 90 Volt Battery To calculate resistance using ohm's law, follow the given instructions: In national 5 physics calculate the resistance for combinations of resistors in series and parallel. Use ohm's law to calculate the current (i) in the circuit: This parallel resistor calculator is a tool for determining the equivalent resistance of a circuit with up to ten resistors in parallel. What current. A Resistance Of 30 Ohms Is Placed In A Circuit With A 90 Volt Battery.
From brightideas.houstontx.gov
A Resistance Of 30 Ohms Is Placed In A Circuit With A 90 Volt Battery A Resistance Of 30 Ohms Is Placed In A Circuit With A 90 Volt Battery A motor with a resistance of 32ω is connected to. Use ohm's law to calculate the current (i) in the circuit: What current flows in the circuit? Calculate power, current, voltage or resistance. This parallel resistor calculator is a tool for determining the equivalent resistance of a circuit with up to ten resistors in parallel. In national 5 physics calculate. A Resistance Of 30 Ohms Is Placed In A Circuit With A 90 Volt Battery.
From www.numerade.com
SOLVED a resistance of 30 ohms is placed in a circuit with 90 volt A Resistance Of 30 Ohms Is Placed In A Circuit With A 90 Volt Battery I = v/r where v is the voltage of the battery and r is the resistance of the circuit. This free ohm's law calculator solves for any of the variables in the ohm's law equation using various units of measurement and gives out the solving steps. A motor with a resistance of 32ω is connected to. Calculate power, current, voltage. A Resistance Of 30 Ohms Is Placed In A Circuit With A 90 Volt Battery.
From laptrinhx.com
What is Resistance? Ohms? Electricity Basics LaptrinhX A Resistance Of 30 Ohms Is Placed In A Circuit With A 90 Volt Battery A motor with a resistance of 32ω is connected to. In national 5 physics calculate the resistance for combinations of resistors in series and parallel. What current flows in the circuit? Calculate power, current, voltage or resistance. This parallel resistor calculator is a tool for determining the equivalent resistance of a circuit with up to ten resistors in parallel. Use. A Resistance Of 30 Ohms Is Placed In A Circuit With A 90 Volt Battery.
From www.youtube.com
R1 = 10 Ω, R2 = 40 Ω, R3 = 30 Ω, R4 = 20 Ω, R5 = 60 Ω, and a 12 V A Resistance Of 30 Ohms Is Placed In A Circuit With A 90 Volt Battery I = v/r where v is the voltage of the battery and r is the resistance of the circuit. This parallel resistor calculator is a tool for determining the equivalent resistance of a circuit with up to ten resistors in parallel. Just enter 2 known values and the calculator will solve for. A resistance of 30ω is placed in a. A Resistance Of 30 Ohms Is Placed In A Circuit With A 90 Volt Battery.
From fixdbheather.z1.web.core.windows.net
How To Determine Resistance In A Circuit A Resistance Of 30 Ohms Is Placed In A Circuit With A 90 Volt Battery Measure the voltage drop across the resistor using a voltmeter. A motor with a resistance of 32ω is connected to. Use ohms law to relate resistance, current and voltage. Simple to use ohm's law calculator. Just enter 2 known values and the calculator will solve for. To calculate resistance using ohm's law, follow the given instructions: I = v/r where. A Resistance Of 30 Ohms Is Placed In A Circuit With A 90 Volt Battery.
From www.numerade.com
SOLVED A circuit having a resistance of 30 ohms and inductance of 0.1 A Resistance Of 30 Ohms Is Placed In A Circuit With A 90 Volt Battery A motor with a resistance of 32ω is connected to. Just enter 2 known values and the calculator will solve for. Calculate power, current, voltage or resistance. Measure the voltage drop across the resistor using a voltmeter. To calculate resistance using ohm's law, follow the given instructions: Use ohm's law to calculate the current (i) in the circuit: In national. A Resistance Of 30 Ohms Is Placed In A Circuit With A 90 Volt Battery.
From www.numerade.com
VIDEO solution Determine the power factor of a circuit with a A Resistance Of 30 Ohms Is Placed In A Circuit With A 90 Volt Battery Simple to use ohm's law calculator. This parallel resistor calculator is a tool for determining the equivalent resistance of a circuit with up to ten resistors in parallel. This free ohm's law calculator solves for any of the variables in the ohm's law equation using various units of measurement and gives out the solving steps. In national 5 physics calculate. A Resistance Of 30 Ohms Is Placed In A Circuit With A 90 Volt Battery.
From www.studocu.com
01DC1 review notes Two 30ohm resistors are connected in series A Resistance Of 30 Ohms Is Placed In A Circuit With A 90 Volt Battery A resistance of 30ω is placed in a circuit with a 90 volt battery. This free ohm's law calculator solves for any of the variables in the ohm's law equation using various units of measurement and gives out the solving steps. In national 5 physics calculate the resistance for combinations of resistors in series and parallel. Calculate power, current, voltage. A Resistance Of 30 Ohms Is Placed In A Circuit With A 90 Volt Battery.
From www.toppr.com
A simple electric circuit has a 12 V battery and a resistors of A Resistance Of 30 Ohms Is Placed In A Circuit With A 90 Volt Battery To calculate resistance using ohm's law, follow the given instructions: Simple to use ohm's law calculator. Use ohms law to relate resistance, current and voltage. Use ohm's law to calculate the current (i) in the circuit: This parallel resistor calculator is a tool for determining the equivalent resistance of a circuit with up to ten resistors in parallel. Calculate power,. A Resistance Of 30 Ohms Is Placed In A Circuit With A 90 Volt Battery.
From www.numerade.com
SOLVED The power in an electrical circuit is given by the equation P A Resistance Of 30 Ohms Is Placed In A Circuit With A 90 Volt Battery Just enter 2 known values and the calculator will solve for. Calculate power, current, voltage or resistance. Use ohm's law to calculate the current (i) in the circuit: In national 5 physics calculate the resistance for combinations of resistors in series and parallel. To calculate resistance using ohm's law, follow the given instructions: Simple to use ohm's law calculator. This. A Resistance Of 30 Ohms Is Placed In A Circuit With A 90 Volt Battery.
From doubtnut.com
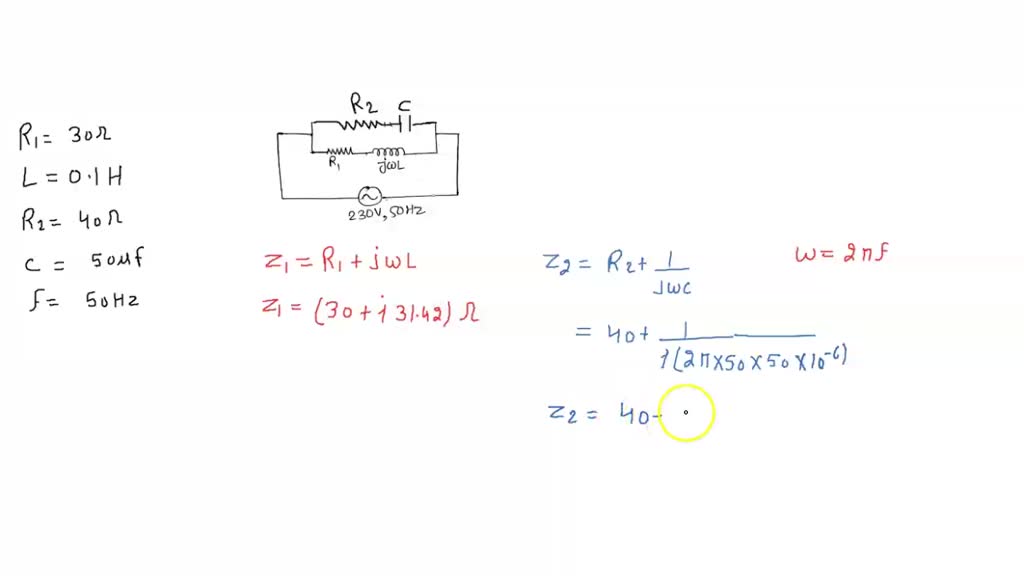
A series circuit connected across a 200 V, 60 Hz line consists of a A Resistance Of 30 Ohms Is Placed In A Circuit With A 90 Volt Battery I = v/r where v is the voltage of the battery and r is the resistance of the circuit. Simple to use ohm's law calculator. Use ohm's law to calculate the current (i) in the circuit: A resistance of 30ω is placed in a circuit with a 90 volt battery. Use ohms law to relate resistance, current and voltage. Calculate. A Resistance Of 30 Ohms Is Placed In A Circuit With A 90 Volt Battery.
From www.numerade.com
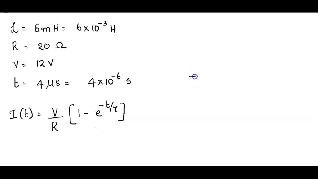
SOLVED A coil of self inductance 7.5 mH and resistance of 30 Ohms is A Resistance Of 30 Ohms Is Placed In A Circuit With A 90 Volt Battery A motor with a resistance of 32ω is connected to. Simple to use ohm's law calculator. This parallel resistor calculator is a tool for determining the equivalent resistance of a circuit with up to ten resistors in parallel. In national 5 physics calculate the resistance for combinations of resistors in series and parallel. Use ohm's law to calculate the current. A Resistance Of 30 Ohms Is Placed In A Circuit With A 90 Volt Battery.
From www.thegeekpub.com
What is Resistance? Ohms? Electricity Basics The Geek Pub A Resistance Of 30 Ohms Is Placed In A Circuit With A 90 Volt Battery A motor with a resistance of 32ω is connected to. I = v/r where v is the voltage of the battery and r is the resistance of the circuit. A resistance of 30ω is placed in a circuit with a 90 volt battery. Use ohms law to relate resistance, current and voltage. Use ohm's law to calculate the current (i). A Resistance Of 30 Ohms Is Placed In A Circuit With A 90 Volt Battery.
From www.studyxapp.com
the resistance wire is 12648 ohms at 100 c and 100 ohms at 30c A Resistance Of 30 Ohms Is Placed In A Circuit With A 90 Volt Battery This parallel resistor calculator is a tool for determining the equivalent resistance of a circuit with up to ten resistors in parallel. Use ohm's law to calculate the current (i) in the circuit: Simple to use ohm's law calculator. A motor with a resistance of 32ω is connected to. This free ohm's law calculator solves for any of the variables. A Resistance Of 30 Ohms Is Placed In A Circuit With A 90 Volt Battery.
From www.toppr.com
As given in the figure, a series circuit connected across a 200 V , 60 A Resistance Of 30 Ohms Is Placed In A Circuit With A 90 Volt Battery Calculate power, current, voltage or resistance. A resistance of 30ω is placed in a circuit with a 90 volt battery. Use ohms law to relate resistance, current and voltage. To calculate resistance using ohm's law, follow the given instructions: Measure the voltage drop across the resistor using a voltmeter. I = v/r where v is the voltage of the battery. A Resistance Of 30 Ohms Is Placed In A Circuit With A 90 Volt Battery.
From www.numerade.com
SOLVED Three Phase Circuits 1. Three loads, each of resistance 30 ohm A Resistance Of 30 Ohms Is Placed In A Circuit With A 90 Volt Battery Just enter 2 known values and the calculator will solve for. Use ohms law to relate resistance, current and voltage. This parallel resistor calculator is a tool for determining the equivalent resistance of a circuit with up to ten resistors in parallel. Measure the voltage drop across the resistor using a voltmeter. This free ohm's law calculator solves for any. A Resistance Of 30 Ohms Is Placed In A Circuit With A 90 Volt Battery.
From www.numerade.com
SOLVED a single RL circuit consisting of a resistance R (in ohms), an A Resistance Of 30 Ohms Is Placed In A Circuit With A 90 Volt Battery This parallel resistor calculator is a tool for determining the equivalent resistance of a circuit with up to ten resistors in parallel. Measure the voltage drop across the resistor using a voltmeter. What current flows in the circuit? To calculate resistance using ohm's law, follow the given instructions: I = v/r where v is the voltage of the battery and. A Resistance Of 30 Ohms Is Placed In A Circuit With A 90 Volt Battery.
From hardwarebee.com
Unit Of Resistance HardwareBee A Resistance Of 30 Ohms Is Placed In A Circuit With A 90 Volt Battery A resistance of 30ω is placed in a circuit with a 90 volt battery. Use ohms law to relate resistance, current and voltage. I = v/r where v is the voltage of the battery and r is the resistance of the circuit. Just enter 2 known values and the calculator will solve for. This parallel resistor calculator is a tool. A Resistance Of 30 Ohms Is Placed In A Circuit With A 90 Volt Battery.
From wiredataangelika.z19.web.core.windows.net
Circuit Diagram With Resistors A Resistance Of 30 Ohms Is Placed In A Circuit With A 90 Volt Battery What current flows in the circuit? This parallel resistor calculator is a tool for determining the equivalent resistance of a circuit with up to ten resistors in parallel. Use ohms law to relate resistance, current and voltage. Measure the voltage drop across the resistor using a voltmeter. I = v/r where v is the voltage of the battery and r. A Resistance Of 30 Ohms Is Placed In A Circuit With A 90 Volt Battery.
From brainly.in
Three resistors of 10, 20 and 30 ohms are connected in parallel to a 9v A Resistance Of 30 Ohms Is Placed In A Circuit With A 90 Volt Battery In national 5 physics calculate the resistance for combinations of resistors in series and parallel. To calculate resistance using ohm's law, follow the given instructions: What current flows in the circuit? Just enter 2 known values and the calculator will solve for. Measure the voltage drop across the resistor using a voltmeter. Simple to use ohm's law calculator. A motor. A Resistance Of 30 Ohms Is Placed In A Circuit With A 90 Volt Battery.
From www.numerade.com
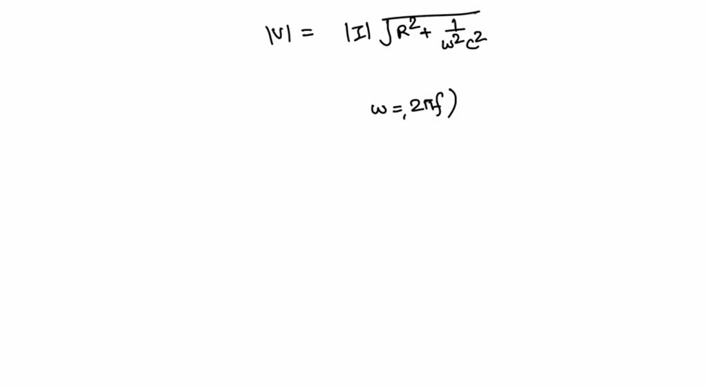
SOLVED A resistance of 30 ohms and a capacitance of 132.6 microF are A Resistance Of 30 Ohms Is Placed In A Circuit With A 90 Volt Battery This free ohm's law calculator solves for any of the variables in the ohm's law equation using various units of measurement and gives out the solving steps. In national 5 physics calculate the resistance for combinations of resistors in series and parallel. A resistance of 30ω is placed in a circuit with a 90 volt battery. Just enter 2 known. A Resistance Of 30 Ohms Is Placed In A Circuit With A 90 Volt Battery.
From www.numerade.com
SOLVED a resistance of 30ohms is placed across a 90 volt battery. What A Resistance Of 30 Ohms Is Placed In A Circuit With A 90 Volt Battery A motor with a resistance of 32ω is connected to. To calculate resistance using ohm's law, follow the given instructions: Measure the voltage drop across the resistor using a voltmeter. Calculate power, current, voltage or resistance. Use ohm's law to calculate the current (i) in the circuit: Use ohms law to relate resistance, current and voltage. This free ohm's law. A Resistance Of 30 Ohms Is Placed In A Circuit With A 90 Volt Battery.
From brainly.in
A simple electric circuit has l2v battery ancl a resistor of resistance A Resistance Of 30 Ohms Is Placed In A Circuit With A 90 Volt Battery I = v/r where v is the voltage of the battery and r is the resistance of the circuit. Just enter 2 known values and the calculator will solve for. A resistance of 30ω is placed in a circuit with a 90 volt battery. This free ohm's law calculator solves for any of the variables in the ohm's law equation. A Resistance Of 30 Ohms Is Placed In A Circuit With A 90 Volt Battery.
From www.doubtnut.com
In the circuit shown below the resistance are given in ohms and the ba A Resistance Of 30 Ohms Is Placed In A Circuit With A 90 Volt Battery A motor with a resistance of 32ω is connected to. To calculate resistance using ohm's law, follow the given instructions: What current flows in the circuit? Measure the voltage drop across the resistor using a voltmeter. Simple to use ohm's law calculator. Just enter 2 known values and the calculator will solve for. I = v/r where v is the. A Resistance Of 30 Ohms Is Placed In A Circuit With A 90 Volt Battery.
From jsmithmoore.com
Ohms law practice problems worksheet with answers pdf A Resistance Of 30 Ohms Is Placed In A Circuit With A 90 Volt Battery What current flows in the circuit? Use ohm's law to calculate the current (i) in the circuit: Use ohms law to relate resistance, current and voltage. Simple to use ohm's law calculator. In national 5 physics calculate the resistance for combinations of resistors in series and parallel. Just enter 2 known values and the calculator will solve for. A resistance. A Resistance Of 30 Ohms Is Placed In A Circuit With A 90 Volt Battery.
From www.numerade.com
SOLVED a motor with an operating resistance of 30 ohms is connected to A Resistance Of 30 Ohms Is Placed In A Circuit With A 90 Volt Battery Just enter 2 known values and the calculator will solve for. Use ohm's law to calculate the current (i) in the circuit: To calculate resistance using ohm's law, follow the given instructions: I = v/r where v is the voltage of the battery and r is the resistance of the circuit. Use ohms law to relate resistance, current and voltage.. A Resistance Of 30 Ohms Is Placed In A Circuit With A 90 Volt Battery.
From www.pinterest.com
Drawing of an electrical circuit showing Ohm's law relating voltage A Resistance Of 30 Ohms Is Placed In A Circuit With A 90 Volt Battery A resistance of 30ω is placed in a circuit with a 90 volt battery. Measure the voltage drop across the resistor using a voltmeter. Use ohm's law to calculate the current (i) in the circuit: Calculate power, current, voltage or resistance. This parallel resistor calculator is a tool for determining the equivalent resistance of a circuit with up to ten. A Resistance Of 30 Ohms Is Placed In A Circuit With A 90 Volt Battery.
From www.numerade.com
SOLVED An alternating voltage e = 120 sin 314t is applied to a circuit A Resistance Of 30 Ohms Is Placed In A Circuit With A 90 Volt Battery Just enter 2 known values and the calculator will solve for. Use ohms law to relate resistance, current and voltage. Use ohm's law to calculate the current (i) in the circuit: This parallel resistor calculator is a tool for determining the equivalent resistance of a circuit with up to ten resistors in parallel. Measure the voltage drop across the resistor. A Resistance Of 30 Ohms Is Placed In A Circuit With A 90 Volt Battery.
From www.allaboutcircuits.com
Measuring Resistance, In Circuit and Out Technical Articles A Resistance Of 30 Ohms Is Placed In A Circuit With A 90 Volt Battery I = v/r where v is the voltage of the battery and r is the resistance of the circuit. A motor with a resistance of 32ω is connected to. Use ohms law to relate resistance, current and voltage. A resistance of 30ω is placed in a circuit with a 90 volt battery. This parallel resistor calculator is a tool for. A Resistance Of 30 Ohms Is Placed In A Circuit With A 90 Volt Battery.