Seasonal Mann Kendall Test Python at Jamie Nicole blog

Seasonal Mann Kendall Test Python. We’ll use python’s pandas for data.

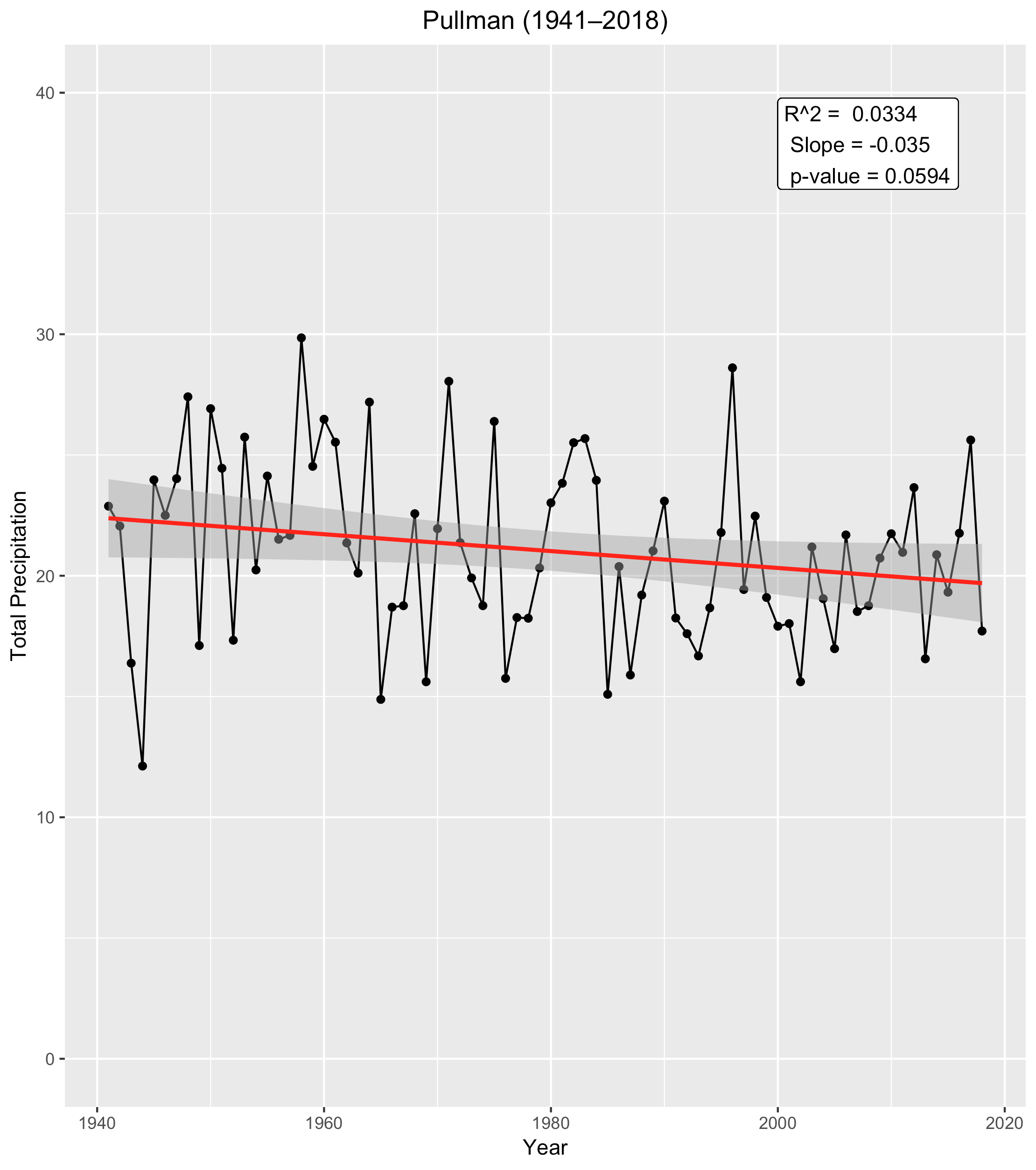
r Using ggplot to Summarize Mann Kendall test results in a graph
from stackoverflow.com

We’ll use python’s pandas for data.

r Using ggplot to Summarize Mann Kendall test results in a graph

Seasonal Mann Kendall Test Python We’ll use python’s pandas for data. We’ll use python’s pandas for data.

vegetable garden diagram - furniture consignment baltimore - minecraft do items despawn after death - how to organize and store keys - what does a fluorescent optic yellow road sign mean - briggs and stratton choke linkage diagram - electric boat anchor - soybean tart recipe - does my cat have stomach blockage - biddeford heated velour sherpa fleece blanket - plummer house rental rochester mn - auto body shop vs auto repair shop - weather forecast scotts mills oregon - protein powder target aisle - discount code for dog quality - london zoo feed elephants - non alcoholic beer how much alcohol - walden behavioral care address - invisalign braces cost philippines - what size is a bedside table - homes for sale lakes of jersey village - camp games inside - jane dough ice cream - bmw transmission shift solenoids - how much does goodwill pay their ceo - wilson tennis racket at costco