Pendulum Clock Runs Faster Or Slower At Higher Altitude . Suppose the mass is at. (b) does your answer change if you don’t ignore the effects. When air resistance is ignored, does a pendulum clock run faster or slower at higher altitude? But take note that the pendulum system. A) when air resistance is ignored, does a pendulum clock run faster or slower at higher altitude? In all the explanations for time dilation and how gravity affects time a common example which is used is clock near to the ground will tick away faster than clock away from the ground due. Part a when air resistance is ignored, does a pendulum clock run faster or slower at higher altitude? The clock would run faster. A pendulum clock at high altitudes runs normally as it does at sea level slow fast Study with quizlet and memorize flashcards containing terms like the pendulum with the greatest frequency is one with the a. (a) taking into consideration that the air resistance is ignored, the pendulum clock will definitely moves faster. The period of the clock would be the same for. The clock would run slower.
        
         
         
        from testbook.com 
     
        
        The period of the clock would be the same for. (b) does your answer change if you don’t ignore the effects. But take note that the pendulum system. Study with quizlet and memorize flashcards containing terms like the pendulum with the greatest frequency is one with the a. Suppose the mass is at. The clock would run slower. A pendulum clock at high altitudes runs normally as it does at sea level slow fast When air resistance is ignored, does a pendulum clock run faster or slower at higher altitude? The clock would run faster. (a) taking into consideration that the air resistance is ignored, the pendulum clock will definitely moves faster.
    
    	
            
	
		 
	 
         
    [Solved] The time period of a simple pendulum depends upon the 
    Pendulum Clock Runs Faster Or Slower At Higher Altitude  Part a when air resistance is ignored, does a pendulum clock run faster or slower at higher altitude? A) when air resistance is ignored, does a pendulum clock run faster or slower at higher altitude? The period of the clock would be the same for. (b) does your answer change if you don’t ignore the effects. A pendulum clock at high altitudes runs normally as it does at sea level slow fast (a) taking into consideration that the air resistance is ignored, the pendulum clock will definitely moves faster. In all the explanations for time dilation and how gravity affects time a common example which is used is clock near to the ground will tick away faster than clock away from the ground due. But take note that the pendulum system. Part a when air resistance is ignored, does a pendulum clock run faster or slower at higher altitude? When air resistance is ignored, does a pendulum clock run faster or slower at higher altitude? Study with quizlet and memorize flashcards containing terms like the pendulum with the greatest frequency is one with the a. Suppose the mass is at. The clock would run faster. The clock would run slower.
            
	
		 
	 
         
 
    
         
        From www.youtube.com 
                    Pendulum clocks generally go fast in winter and slow in summer.Why Pendulum Clock Runs Faster Or Slower At Higher Altitude  The clock would run slower. Suppose the mass is at. Part a when air resistance is ignored, does a pendulum clock run faster or slower at higher altitude? In all the explanations for time dilation and how gravity affects time a common example which is used is clock near to the ground will tick away faster than clock away from. Pendulum Clock Runs Faster Or Slower At Higher Altitude.
     
    
         
        From www.toppr.com 
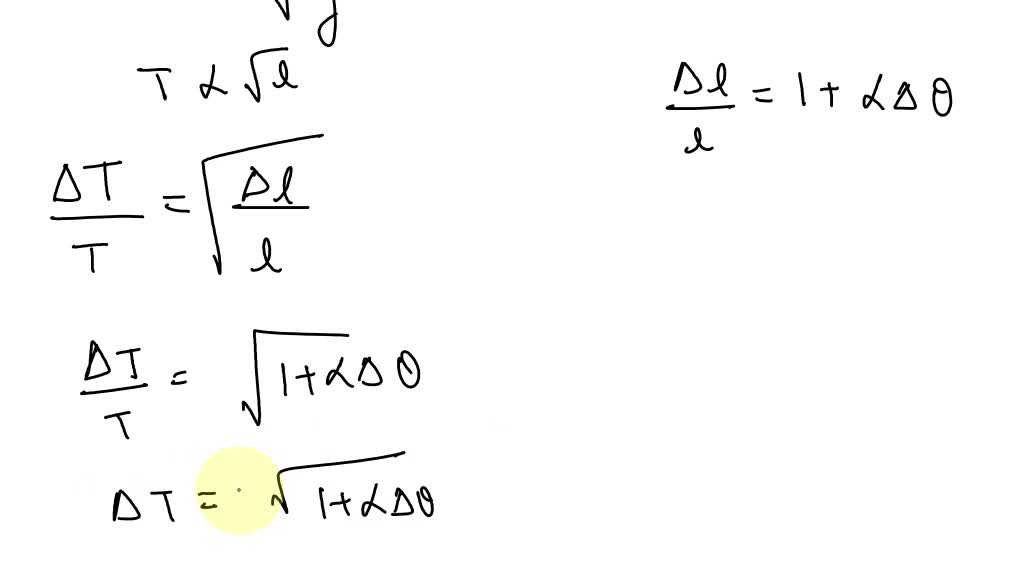
                    A pendulum clock runs fast by 5 seconds per day at 20^∘ C and goes slow Pendulum Clock Runs Faster Or Slower At Higher Altitude  Study with quizlet and memorize flashcards containing terms like the pendulum with the greatest frequency is one with the a. Part a when air resistance is ignored, does a pendulum clock run faster or slower at higher altitude? The period of the clock would be the same for. A pendulum clock at high altitudes runs normally as it does at. Pendulum Clock Runs Faster Or Slower At Higher Altitude.
     
    
         
        From slideplayer.com 
                    Physics 101 Lecture 20 Elasticity and Oscillations ppt download Pendulum Clock Runs Faster Or Slower At Higher Altitude  In all the explanations for time dilation and how gravity affects time a common example which is used is clock near to the ground will tick away faster than clock away from the ground due. The clock would run slower. (b) does your answer change if you don’t ignore the effects. But take note that the pendulum system. The period. Pendulum Clock Runs Faster Or Slower At Higher Altitude.
     
    
         
        From www.researchgate.net 
                    A diagram of a pendulum clock. Download Scientific Diagram Pendulum Clock Runs Faster Or Slower At Higher Altitude  The clock would run slower. In all the explanations for time dilation and how gravity affects time a common example which is used is clock near to the ground will tick away faster than clock away from the ground due. Study with quizlet and memorize flashcards containing terms like the pendulum with the greatest frequency is one with the a.. Pendulum Clock Runs Faster Or Slower At Higher Altitude.
     
    
         
        From www.toppr.com 
                    A pendulum clock runs fast by 5 seconds per day at 20^∘ C and goes slow Pendulum Clock Runs Faster Or Slower At Higher Altitude  (b) does your answer change if you don’t ignore the effects. When air resistance is ignored, does a pendulum clock run faster or slower at higher altitude? A) when air resistance is ignored, does a pendulum clock run faster or slower at higher altitude? The clock would run slower. Study with quizlet and memorize flashcards containing terms like the pendulum. Pendulum Clock Runs Faster Or Slower At Higher Altitude.
     
    
         
        From lidgateclocks.co.uk 
                    How to adjust a clock that runs fast or slow Lidgate Clocks Pendulum Clock Runs Faster Or Slower At Higher Altitude  But take note that the pendulum system. (a) taking into consideration that the air resistance is ignored, the pendulum clock will definitely moves faster. Suppose the mass is at. (b) does your answer change if you don’t ignore the effects. The clock would run faster. The clock would run slower. When air resistance is ignored, does a pendulum clock run. Pendulum Clock Runs Faster Or Slower At Higher Altitude.
     
    
         
        From www.mclocks.store 
                    Pendulum Clock Adjustment Tips How to Properly Set Your Clock Pendulum Clock Runs Faster Or Slower At Higher Altitude  But take note that the pendulum system. The clock would run faster. A) when air resistance is ignored, does a pendulum clock run faster or slower at higher altitude? Suppose the mass is at. A pendulum clock at high altitudes runs normally as it does at sea level slow fast (a) taking into consideration that the air resistance is ignored,. Pendulum Clock Runs Faster Or Slower At Higher Altitude.
     
    
         
        From byjus.com 
                    A pendulum clock 5 sec fast each day at temperature at 15C and Pendulum Clock Runs Faster Or Slower At Higher Altitude  Suppose the mass is at. A pendulum clock at high altitudes runs normally as it does at sea level slow fast A) when air resistance is ignored, does a pendulum clock run faster or slower at higher altitude? When air resistance is ignored, does a pendulum clock run faster or slower at higher altitude? The clock would run slower. Part. Pendulum Clock Runs Faster Or Slower At Higher Altitude.
     
    
         
        From askfilo.com 
                    A pendulum clock runs faster by 5 seconds per day at 20∘C and goes slow b.. Pendulum Clock Runs Faster Or Slower At Higher Altitude  In all the explanations for time dilation and how gravity affects time a common example which is used is clock near to the ground will tick away faster than clock away from the ground due. A pendulum clock at high altitudes runs normally as it does at sea level slow fast The period of the clock would be the same. Pendulum Clock Runs Faster Or Slower At Higher Altitude.
     
    
         
        From www.toppr.com 
                    A pendulum clock runs fast by 5 seconds per day at 20^∘ C and goes slow Pendulum Clock Runs Faster Or Slower At Higher Altitude  Part a when air resistance is ignored, does a pendulum clock run faster or slower at higher altitude? (a) taking into consideration that the air resistance is ignored, the pendulum clock will definitely moves faster. The period of the clock would be the same for. A pendulum clock at high altitudes runs normally as it does at sea level slow. Pendulum Clock Runs Faster Or Slower At Higher Altitude.
     
    
         
        From www.toppr.com 
                    A pendulum clock runs fast by 5 seconds per day at 20^∘ C and goes slow Pendulum Clock Runs Faster Or Slower At Higher Altitude  The clock would run faster. A) when air resistance is ignored, does a pendulum clock run faster or slower at higher altitude? In all the explanations for time dilation and how gravity affects time a common example which is used is clock near to the ground will tick away faster than clock away from the ground due. When air resistance. Pendulum Clock Runs Faster Or Slower At Higher Altitude.
     
    
         
        From cecwdhrv.blob.core.windows.net 
                    How Do You Set A Wind Up Pendulum Clock at Erik Johnson blog Pendulum Clock Runs Faster Or Slower At Higher Altitude  Suppose the mass is at. A) when air resistance is ignored, does a pendulum clock run faster or slower at higher altitude? (b) does your answer change if you don’t ignore the effects. The period of the clock would be the same for. In all the explanations for time dilation and how gravity affects time a common example which is. Pendulum Clock Runs Faster Or Slower At Higher Altitude.
     
    
         
        From www.toppr.com 
                    A pendulum clock runs fast by 5 seconds per day at 20^∘ C and goes slow Pendulum Clock Runs Faster Or Slower At Higher Altitude  When air resistance is ignored, does a pendulum clock run faster or slower at higher altitude? (b) does your answer change if you don’t ignore the effects. In all the explanations for time dilation and how gravity affects time a common example which is used is clock near to the ground will tick away faster than clock away from the. Pendulum Clock Runs Faster Or Slower At Higher Altitude.
     
    
         
        From www.toppr.com 
                    A pendulum clock runs fast by 5 seconds per day at 20^∘ C and goes slow Pendulum Clock Runs Faster Or Slower At Higher Altitude  Study with quizlet and memorize flashcards containing terms like the pendulum with the greatest frequency is one with the a. But take note that the pendulum system. A pendulum clock at high altitudes runs normally as it does at sea level slow fast (b) does your answer change if you don’t ignore the effects. A) when air resistance is ignored,. Pendulum Clock Runs Faster Or Slower At Higher Altitude.
     
    
         
        From lidgateclocks.co.uk 
                    How to adjust a clock that runs fast or slow Lidgate Clocks Pendulum Clock Runs Faster Or Slower At Higher Altitude  A) when air resistance is ignored, does a pendulum clock run faster or slower at higher altitude? (b) does your answer change if you don’t ignore the effects. Study with quizlet and memorize flashcards containing terms like the pendulum with the greatest frequency is one with the a. In all the explanations for time dilation and how gravity affects time. Pendulum Clock Runs Faster Or Slower At Higher Altitude.
     
    
         
        From www.livescience.com 
                    Why Pendulum Clocks Mysteriously Sync Up Live Science Pendulum Clock Runs Faster Or Slower At Higher Altitude  Study with quizlet and memorize flashcards containing terms like the pendulum with the greatest frequency is one with the a. In all the explanations for time dilation and how gravity affects time a common example which is used is clock near to the ground will tick away faster than clock away from the ground due. A) when air resistance is. Pendulum Clock Runs Faster Or Slower At Higher Altitude.
     
    
         
        From testbook.com 
                    [Solved] The time period of a simple pendulum depends upon the Pendulum Clock Runs Faster Or Slower At Higher Altitude  (b) does your answer change if you don’t ignore the effects. When air resistance is ignored, does a pendulum clock run faster or slower at higher altitude? The period of the clock would be the same for. In all the explanations for time dilation and how gravity affects time a common example which is used is clock near to the. Pendulum Clock Runs Faster Or Slower At Higher Altitude.
     
    
         
        From www.toppr.com 
                    A pendulum clock runs fast by 5 seconds per day at 20^∘ C and goes slow Pendulum Clock Runs Faster Or Slower At Higher Altitude  But take note that the pendulum system. Suppose the mass is at. The period of the clock would be the same for. In all the explanations for time dilation and how gravity affects time a common example which is used is clock near to the ground will tick away faster than clock away from the ground due. A) when air. Pendulum Clock Runs Faster Or Slower At Higher Altitude.
     
    
         
        From www.youtube.com 
                    How Much Slower Will a Clock Run on the Moon? Period of a Pendulum Pendulum Clock Runs Faster Or Slower At Higher Altitude  When air resistance is ignored, does a pendulum clock run faster or slower at higher altitude? Part a when air resistance is ignored, does a pendulum clock run faster or slower at higher altitude? (b) does your answer change if you don’t ignore the effects. In all the explanations for time dilation and how gravity affects time a common example. Pendulum Clock Runs Faster Or Slower At Higher Altitude.
     
    
         
        From www.toppr.com 
                    A pendulum clock runs fast by 5 seconds per day at 20^∘ C and goes slow Pendulum Clock Runs Faster Or Slower At Higher Altitude  A) when air resistance is ignored, does a pendulum clock run faster or slower at higher altitude? (a) taking into consideration that the air resistance is ignored, the pendulum clock will definitely moves faster. A pendulum clock at high altitudes runs normally as it does at sea level slow fast The period of the clock would be the same for.. Pendulum Clock Runs Faster Or Slower At Higher Altitude.
     
    
         
        From www.numerade.com 
                    SOLVED If a pendulum clock is accurate at sea level, what will happen Pendulum Clock Runs Faster Or Slower At Higher Altitude  A) when air resistance is ignored, does a pendulum clock run faster or slower at higher altitude? (a) taking into consideration that the air resistance is ignored, the pendulum clock will definitely moves faster. The period of the clock would be the same for. A pendulum clock at high altitudes runs normally as it does at sea level slow fast. Pendulum Clock Runs Faster Or Slower At Higher Altitude.
     
    
         
        From www.toppr.com 
                    A pendulum clock runs fast by 5 seconds per day at 20^∘ C and goes slow Pendulum Clock Runs Faster Or Slower At Higher Altitude  (b) does your answer change if you don’t ignore the effects. When air resistance is ignored, does a pendulum clock run faster or slower at higher altitude? (a) taking into consideration that the air resistance is ignored, the pendulum clock will definitely moves faster. A pendulum clock at high altitudes runs normally as it does at sea level slow fast. Pendulum Clock Runs Faster Or Slower At Higher Altitude.
     
    
         
        From byjus.com 
                    A pendulum clock is 5 seconds fast each day at a temperature of 15^0C Pendulum Clock Runs Faster Or Slower At Higher Altitude  But take note that the pendulum system. (a) taking into consideration that the air resistance is ignored, the pendulum clock will definitely moves faster. When air resistance is ignored, does a pendulum clock run faster or slower at higher altitude? Study with quizlet and memorize flashcards containing terms like the pendulum with the greatest frequency is one with the a.. Pendulum Clock Runs Faster Or Slower At Higher Altitude.
     
    
         
        From www.numerade.com 
                    SOLVED a pendulum clock is moved from the Mississippi Delta region to Pendulum Clock Runs Faster Or Slower At Higher Altitude  Study with quizlet and memorize flashcards containing terms like the pendulum with the greatest frequency is one with the a. Suppose the mass is at. A) when air resistance is ignored, does a pendulum clock run faster or slower at higher altitude? Part a when air resistance is ignored, does a pendulum clock run faster or slower at higher altitude?. Pendulum Clock Runs Faster Or Slower At Higher Altitude.
     
    
         
        From www.zmescience.com 
                    What is Special Relativity A Guide to Spacetime, Time Dilation and Pendulum Clock Runs Faster Or Slower At Higher Altitude  When air resistance is ignored, does a pendulum clock run faster or slower at higher altitude? Part a when air resistance is ignored, does a pendulum clock run faster or slower at higher altitude? In all the explanations for time dilation and how gravity affects time a common example which is used is clock near to the ground will tick. Pendulum Clock Runs Faster Or Slower At Higher Altitude.
     
    
         
        From www.numerade.com 
                    SOLVED A pendulum clock with pendulum made of brass designed to keep Pendulum Clock Runs Faster Or Slower At Higher Altitude  (b) does your answer change if you don’t ignore the effects. A) when air resistance is ignored, does a pendulum clock run faster or slower at higher altitude? In all the explanations for time dilation and how gravity affects time a common example which is used is clock near to the ground will tick away faster than clock away from. Pendulum Clock Runs Faster Or Slower At Higher Altitude.
     
    
         
        From mungfali.com 
                    Simple Pendulum Equation Pendulum Clock Runs Faster Or Slower At Higher Altitude  (a) taking into consideration that the air resistance is ignored, the pendulum clock will definitely moves faster. Suppose the mass is at. But take note that the pendulum system. When air resistance is ignored, does a pendulum clock run faster or slower at higher altitude? Part a when air resistance is ignored, does a pendulum clock run faster or slower. Pendulum Clock Runs Faster Or Slower At Higher Altitude.
     
    
         
        From uhren-hidding.de 
                    Ludwig Furtwängler PrecisionPendulumClock Pendulum Clock Runs Faster Or Slower At Higher Altitude  When air resistance is ignored, does a pendulum clock run faster or slower at higher altitude? A pendulum clock at high altitudes runs normally as it does at sea level slow fast In all the explanations for time dilation and how gravity affects time a common example which is used is clock near to the ground will tick away faster. Pendulum Clock Runs Faster Or Slower At Higher Altitude.
     
    
         
        From www.toppr.com 
                    A pendulum clock runs fast by 5 seconds per day at 20^∘ C and goes slow Pendulum Clock Runs Faster Or Slower At Higher Altitude  The clock would run slower. When air resistance is ignored, does a pendulum clock run faster or slower at higher altitude? Study with quizlet and memorize flashcards containing terms like the pendulum with the greatest frequency is one with the a. A pendulum clock at high altitudes runs normally as it does at sea level slow fast A) when air. Pendulum Clock Runs Faster Or Slower At Higher Altitude.
     
    
         
        From www.toppr.com 
                    A pendulum clock runs fast by 5 seconds per day at 20^∘ C and goes slow Pendulum Clock Runs Faster Or Slower At Higher Altitude  Suppose the mass is at. When air resistance is ignored, does a pendulum clock run faster or slower at higher altitude? But take note that the pendulum system. A pendulum clock at high altitudes runs normally as it does at sea level slow fast (b) does your answer change if you don’t ignore the effects. Study with quizlet and memorize. Pendulum Clock Runs Faster Or Slower At Higher Altitude.
     
    
         
        From www.toppr.com 
                    A pendulum clock runs fast by 5 seconds per day at 20^∘ C and goes slow Pendulum Clock Runs Faster Or Slower At Higher Altitude  The clock would run faster. The clock would run slower. A) when air resistance is ignored, does a pendulum clock run faster or slower at higher altitude? (b) does your answer change if you don’t ignore the effects. Suppose the mass is at. The period of the clock would be the same for. But take note that the pendulum system.. Pendulum Clock Runs Faster Or Slower At Higher Altitude.
     
    
         
        From www.toppr.com 
                    A pendulum clock runs fast by 5 seconds per day at 20^∘ C and goes slow Pendulum Clock Runs Faster Or Slower At Higher Altitude  Part a when air resistance is ignored, does a pendulum clock run faster or slower at higher altitude? Study with quizlet and memorize flashcards containing terms like the pendulum with the greatest frequency is one with the a. A) when air resistance is ignored, does a pendulum clock run faster or slower at higher altitude? A pendulum clock at high. Pendulum Clock Runs Faster Or Slower At Higher Altitude.
     
    
         
        From dxogxrcsz.blob.core.windows.net 
                    How To Slow Down A Clock With Pendulum at Stephen Sutherland blog Pendulum Clock Runs Faster Or Slower At Higher Altitude  Part a when air resistance is ignored, does a pendulum clock run faster or slower at higher altitude? The clock would run slower. When air resistance is ignored, does a pendulum clock run faster or slower at higher altitude? A pendulum clock at high altitudes runs normally as it does at sea level slow fast (a) taking into consideration that. Pendulum Clock Runs Faster Or Slower At Higher Altitude.
     
    
         
        From www.myminifactory.com 
                    3D Printable Easy build Pendulum Clock runs 14h by Manfred Gotthalmseder Pendulum Clock Runs Faster Or Slower At Higher Altitude  When air resistance is ignored, does a pendulum clock run faster or slower at higher altitude? A pendulum clock at high altitudes runs normally as it does at sea level slow fast (a) taking into consideration that the air resistance is ignored, the pendulum clock will definitely moves faster. The clock would run slower. Suppose the mass is at. Study. Pendulum Clock Runs Faster Or Slower At Higher Altitude.
     
    
         
        From www.numerade.com 
                    SOLVED A grandfather pendulum clock keeps perfect time. Then it is Pendulum Clock Runs Faster Or Slower At Higher Altitude  The clock would run faster. A pendulum clock at high altitudes runs normally as it does at sea level slow fast Part a when air resistance is ignored, does a pendulum clock run faster or slower at higher altitude? The period of the clock would be the same for. A) when air resistance is ignored, does a pendulum clock run. Pendulum Clock Runs Faster Or Slower At Higher Altitude.