Dollar Tree Piercing Policy . find 7 answers to 'does dollar tree allow employees to have piercings' from dollar tree employees. i think youll be ok, i had my septum and nostril piercing. dollar tree has a fairly strict dress code policy beyond the work uniform. 37k subscribers in the dollartree community. find 7 answers to 'what is the dress code for piercings?' from dollar tree employees. 18,436 questions and answers about dollar tree dress code. This community is mainly intended for. While piercings and visible tattoos are allowable. can anyone give me the link to the newest dress code information. My friend has her lips and tongue. Then there was another coworker,. Get answers to your biggest.
from instantpotteacher.com
While piercings and visible tattoos are allowable. can anyone give me the link to the newest dress code information. Get answers to your biggest. find 7 answers to 'what is the dress code for piercings?' from dollar tree employees. find 7 answers to 'does dollar tree allow employees to have piercings' from dollar tree employees. Then there was another coworker,. i think youll be ok, i had my septum and nostril piercing. 18,436 questions and answers about dollar tree dress code. dollar tree has a fairly strict dress code policy beyond the work uniform. 37k subscribers in the dollartree community.
Dollar Tree fantastic finds Shop W Me At Dollar Treenew at Dollar Tree Instant Pot Teacher
Dollar Tree Piercing Policy Get answers to your biggest. Then there was another coworker,. 37k subscribers in the dollartree community. 18,436 questions and answers about dollar tree dress code. find 7 answers to 'what is the dress code for piercings?' from dollar tree employees. i think youll be ok, i had my septum and nostril piercing. can anyone give me the link to the newest dress code information. dollar tree has a fairly strict dress code policy beyond the work uniform. find 7 answers to 'does dollar tree allow employees to have piercings' from dollar tree employees. My friend has her lips and tongue. Get answers to your biggest. This community is mainly intended for. While piercings and visible tattoos are allowable.
From thekrazycouponlady.com
What Not To Buy at Dollar Tree 10 Items To Skip The Krazy Coupon Lady Dollar Tree Piercing Policy My friend has her lips and tongue. While piercings and visible tattoos are allowable. 37k subscribers in the dollartree community. This community is mainly intended for. can anyone give me the link to the newest dress code information. Get answers to your biggest. i think youll be ok, i had my septum and nostril piercing. Then there. Dollar Tree Piercing Policy.
From www.dexform.com
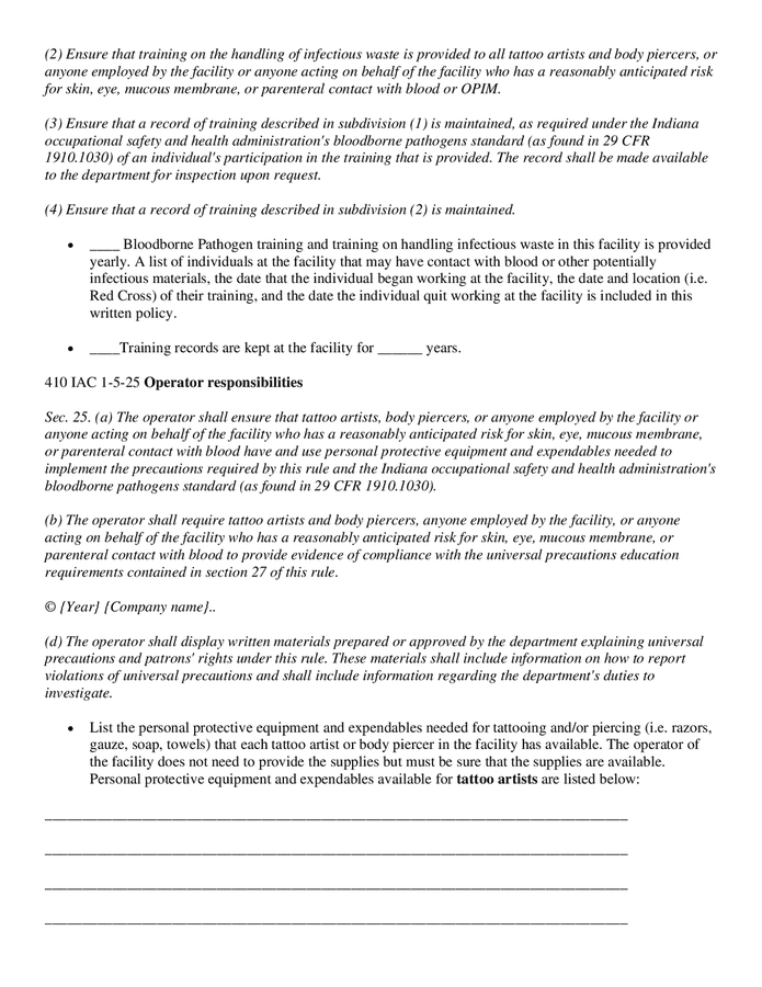
Tattoo and body piercing model policy template in Word and Pdf formats page 2 of 15 Dollar Tree Piercing Policy Get answers to your biggest. 37k subscribers in the dollartree community. find 7 answers to 'does dollar tree allow employees to have piercings' from dollar tree employees. My friend has her lips and tongue. can anyone give me the link to the newest dress code information. This community is mainly intended for. i think youll be. Dollar Tree Piercing Policy.
From mipiercing.com
Piercing Dollar Dollar Tree Piercing Policy While piercings and visible tattoos are allowable. i think youll be ok, i had my septum and nostril piercing. find 7 answers to 'what is the dress code for piercings?' from dollar tree employees. This community is mainly intended for. 37k subscribers in the dollartree community. Get answers to your biggest. 18,436 questions and answers about. Dollar Tree Piercing Policy.
From www.youtube.com
DIY Fake Piercings in SECONDS YouTube Dollar Tree Piercing Policy This community is mainly intended for. While piercings and visible tattoos are allowable. Then there was another coworker,. i think youll be ok, i had my septum and nostril piercing. Get answers to your biggest. 37k subscribers in the dollartree community. can anyone give me the link to the newest dress code information. My friend has her. Dollar Tree Piercing Policy.
From skinkandy.com
SkinKandy Piercing Policy SkinKandy Body Jewellery & Piercing Online Australia Dollar Tree Piercing Policy can anyone give me the link to the newest dress code information. Get answers to your biggest. 37k subscribers in the dollartree community. This community is mainly intended for. i think youll be ok, i had my septum and nostril piercing. 18,436 questions and answers about dollar tree dress code. dollar tree has a fairly. Dollar Tree Piercing Policy.
From www.slideserve.com
PPT Individual Readiness Policy Division PowerPoint Presentation ID6660835 Dollar Tree Piercing Policy can anyone give me the link to the newest dress code information. 18,436 questions and answers about dollar tree dress code. 37k subscribers in the dollartree community. i think youll be ok, i had my septum and nostril piercing. My friend has her lips and tongue. While piercings and visible tattoos are allowable. find 7. Dollar Tree Piercing Policy.
From www.pinterest.com
5 must have beauty items from Dollar Tree [Video] Dollar tree makeup, Skin care routine Dollar Tree Piercing Policy My friend has her lips and tongue. Then there was another coworker,. This community is mainly intended for. While piercings and visible tattoos are allowable. find 7 answers to 'does dollar tree allow employees to have piercings' from dollar tree employees. i think youll be ok, i had my septum and nostril piercing. 37k subscribers in the. Dollar Tree Piercing Policy.
From www.youtube.com
Dollar Tree Haul + Let's Talk Lip Injections, Overgrown Piercings, Shadowy Neighbors YouTube Dollar Tree Piercing Policy Then there was another coworker,. My friend has her lips and tongue. 37k subscribers in the dollartree community. i think youll be ok, i had my septum and nostril piercing. find 7 answers to 'does dollar tree allow employees to have piercings' from dollar tree employees. can anyone give me the link to the newest dress. Dollar Tree Piercing Policy.
From www.youtube.com
Zakupy w Dollar Tree i Target! π Shopping at Dollar Tree and Target! π΅π±πΊπΈ YouTube Dollar Tree Piercing Policy This community is mainly intended for. can anyone give me the link to the newest dress code information. find 7 answers to 'does dollar tree allow employees to have piercings' from dollar tree employees. My friend has her lips and tongue. find 7 answers to 'what is the dress code for piercings?' from dollar tree employees. . Dollar Tree Piercing Policy.
From www.youtube.com
DIY Fake Piercings At Home 28 Creative Girly DIYs and Hacks YouTube Dollar Tree Piercing Policy i think youll be ok, i had my septum and nostril piercing. This community is mainly intended for. find 7 answers to 'does dollar tree allow employees to have piercings' from dollar tree employees. 37k subscribers in the dollartree community. can anyone give me the link to the newest dress code information. My friend has her. Dollar Tree Piercing Policy.
From www.pinterest.com
Dollar Sign Symbol Belly Button Ring Belly button rings, Belly jewelry, Belly button jewelry Dollar Tree Piercing Policy dollar tree has a fairly strict dress code policy beyond the work uniform. This community is mainly intended for. 37k subscribers in the dollartree community. can anyone give me the link to the newest dress code information. My friend has her lips and tongue. While piercings and visible tattoos are allowable. i think youll be ok,. Dollar Tree Piercing Policy.
From ideasask.com
Does Dollar Tree Have Paper Towel Holders? Yes, Learn More! Dollar Tree Piercing Policy Get answers to your biggest. My friend has her lips and tongue. find 7 answers to 'what is the dress code for piercings?' from dollar tree employees. can anyone give me the link to the newest dress code information. find 7 answers to 'does dollar tree allow employees to have piercings' from dollar tree employees. dollar. Dollar Tree Piercing Policy.
From www.youtube.com
DOLLAR TREE HAUL NEW AMAZING FINDS AUTUMN ARRIVED AT DOLLAR TREEI DID NOT EXPECT TO SEE Dollar Tree Piercing Policy 18,436 questions and answers about dollar tree dress code. i think youll be ok, i had my septum and nostril piercing. My friend has her lips and tongue. While piercings and visible tattoos are allowable. can anyone give me the link to the newest dress code information. dollar tree has a fairly strict dress code policy. Dollar Tree Piercing Policy.
From www.youtube.com
COME WITH US TO DOLLAR TREE So good I had to show you ! DOLLAR TREE SHOP WITH ME YouTube Dollar Tree Piercing Policy This community is mainly intended for. find 7 answers to 'does dollar tree allow employees to have piercings' from dollar tree employees. i think youll be ok, i had my septum and nostril piercing. find 7 answers to 'what is the dress code for piercings?' from dollar tree employees. Get answers to your biggest. While piercings and. Dollar Tree Piercing Policy.
From www.youtube.com
DOLLAR TREE HAUL JUST CAN'T STOP MYSELF ! ALL NEW DOLLAR TREE HAUL HUGE HAUL YouTube Dollar Tree Piercing Policy i think youll be ok, i had my septum and nostril piercing. find 7 answers to 'what is the dress code for piercings?' from dollar tree employees. While piercings and visible tattoos are allowable. My friend has her lips and tongue. Then there was another coworker,. can anyone give me the link to the newest dress code. Dollar Tree Piercing Policy.
From learningzonemurarewa.z13.web.core.windows.net
Printable Piercing Consent Form Dollar Tree Piercing Policy find 7 answers to 'does dollar tree allow employees to have piercings' from dollar tree employees. 18,436 questions and answers about dollar tree dress code. can anyone give me the link to the newest dress code information. 37k subscribers in the dollartree community. This community is mainly intended for. My friend has her lips and tongue.. Dollar Tree Piercing Policy.
From goit.science
DOLLAR TREE HAUL (must see finds) shortsfeed dollartreefinds dollartreehaul dollartree Dollar Tree Piercing Policy Get answers to your biggest. My friend has her lips and tongue. find 7 answers to 'what is the dress code for piercings?' from dollar tree employees. While piercings and visible tattoos are allowable. i think youll be ok, i had my septum and nostril piercing. can anyone give me the link to the newest dress code. Dollar Tree Piercing Policy.
From www.ncesc.com
Dollar Tree Return Policy Everything You Need to Know Dollar Tree Piercing Policy can anyone give me the link to the newest dress code information. This community is mainly intended for. Then there was another coworker,. While piercings and visible tattoos are allowable. 37k subscribers in the dollartree community. find 7 answers to 'what is the dress code for piercings?' from dollar tree employees. Get answers to your biggest. . Dollar Tree Piercing Policy.
From www.dexform.com
Tattoo and body piercing model policy template in Word and Pdf formats page 12 of 15 Dollar Tree Piercing Policy find 7 answers to 'what is the dress code for piercings?' from dollar tree employees. dollar tree has a fairly strict dress code policy beyond the work uniform. i think youll be ok, i had my septum and nostril piercing. can anyone give me the link to the newest dress code information. Then there was another. Dollar Tree Piercing Policy.
From locations.uedge.com
Gateway Center Everett MA Urban Edge Properties Dollar Tree Piercing Policy Get answers to your biggest. can anyone give me the link to the newest dress code information. My friend has her lips and tongue. 18,436 questions and answers about dollar tree dress code. find 7 answers to 'what is the dress code for piercings?' from dollar tree employees. find 7 answers to 'does dollar tree allow. Dollar Tree Piercing Policy.
From www.the-sun.com
Dollar Tree has a whole line of great skincare dupes the 1.25 serum I bought has changed my Dollar Tree Piercing Policy find 7 answers to 'what is the dress code for piercings?' from dollar tree employees. can anyone give me the link to the newest dress code information. 18,436 questions and answers about dollar tree dress code. Then there was another coworker,. Get answers to your biggest. i think youll be ok, i had my septum and. Dollar Tree Piercing Policy.
From instantpotteacher.com
Dollar Tree fantastic finds Shop W Me At Dollar Treenew at Dollar Tree Instant Pot Teacher Dollar Tree Piercing Policy While piercings and visible tattoos are allowable. 37k subscribers in the dollartree community. can anyone give me the link to the newest dress code information. i think youll be ok, i had my septum and nostril piercing. find 7 answers to 'what is the dress code for piercings?' from dollar tree employees. Then there was another. Dollar Tree Piercing Policy.
From www.facebook.com
These Dollar Tree Items Are SO Worth It! π² These Dollar Tree Items Are SO Worth It! π² By Liz Dollar Tree Piercing Policy 18,436 questions and answers about dollar tree dress code. Then there was another coworker,. Get answers to your biggest. dollar tree has a fairly strict dress code policy beyond the work uniform. While piercings and visible tattoos are allowable. 37k subscribers in the dollartree community. My friend has her lips and tongue. find 7 answers to. Dollar Tree Piercing Policy.
From www.freepik.com
Premium Vector Dollar tree with banknotes and coins Dollar Tree Piercing Policy While piercings and visible tattoos are allowable. Then there was another coworker,. i think youll be ok, i had my septum and nostril piercing. This community is mainly intended for. dollar tree has a fairly strict dress code policy beyond the work uniform. 18,436 questions and answers about dollar tree dress code. find 7 answers to. Dollar Tree Piercing Policy.
From www.facebook.com
Dollar Tree By The Robin's Nest by Teri Dollar Tree Piercing Policy This community is mainly intended for. 37k subscribers in the dollartree community. While piercings and visible tattoos are allowable. i think youll be ok, i had my septum and nostril piercing. dollar tree has a fairly strict dress code policy beyond the work uniform. 18,436 questions and answers about dollar tree dress code. find 7. Dollar Tree Piercing Policy.
From www.beauty-forms.com
Piercing Consent PDF Template Printable PDF Download Dollar Tree Piercing Policy This community is mainly intended for. 37k subscribers in the dollartree community. dollar tree has a fairly strict dress code policy beyond the work uniform. i think youll be ok, i had my septum and nostril piercing. Get answers to your biggest. find 7 answers to 'what is the dress code for piercings?' from dollar tree. Dollar Tree Piercing Policy.
From divineartstattoo.com
piercingpolicy Divine Arts Tattoo Dollar Tree Piercing Policy Get answers to your biggest. Then there was another coworker,. find 7 answers to 'what is the dress code for piercings?' from dollar tree employees. can anyone give me the link to the newest dress code information. My friend has her lips and tongue. While piercings and visible tattoos are allowable. 37k subscribers in the dollartree community.. Dollar Tree Piercing Policy.
From www.mashed.com
Every Dollar Tree Item Belongs To One Of These Three Categories Dollar Tree Piercing Policy 18,436 questions and answers about dollar tree dress code. 37k subscribers in the dollartree community. This community is mainly intended for. Then there was another coworker,. i think youll be ok, i had my septum and nostril piercing. My friend has her lips and tongue. dollar tree has a fairly strict dress code policy beyond the. Dollar Tree Piercing Policy.
From www.thesun.ie
I'm 47 & did a full face of Dollar Tree makeup it's as good as anything, the 'ageless Dollar Tree Piercing Policy This community is mainly intended for. i think youll be ok, i had my septum and nostril piercing. dollar tree has a fairly strict dress code policy beyond the work uniform. While piercings and visible tattoos are allowable. find 7 answers to 'what is the dress code for piercings?' from dollar tree employees. can anyone give. Dollar Tree Piercing Policy.
From www.reddit.com
Awesome find at Dollar Tree 1 Organization for small bits and pieces! r/piercing Dollar Tree Piercing Policy My friend has her lips and tongue. Get answers to your biggest. While piercings and visible tattoos are allowable. i think youll be ok, i had my septum and nostril piercing. Then there was another coworker,. 37k subscribers in the dollartree community. find 7 answers to 'what is the dress code for piercings?' from dollar tree employees.. Dollar Tree Piercing Policy.
From www.youtube.com
DOLLAR TREE DIY BEAUTY HACK DIY FAUX PIERCINGS .10 CENTS NOSE PIERCING!!! YouTube Dollar Tree Piercing Policy This community is mainly intended for. 37k subscribers in the dollartree community. can anyone give me the link to the newest dress code information. Get answers to your biggest. find 7 answers to 'does dollar tree allow employees to have piercings' from dollar tree employees. 18,436 questions and answers about dollar tree dress code. dollar. Dollar Tree Piercing Policy.
From www.dexform.com
Tattoo and body piercing model policy template in Word and Pdf formats page 14 of 15 Dollar Tree Piercing Policy Get answers to your biggest. 18,436 questions and answers about dollar tree dress code. 37k subscribers in the dollartree community. This community is mainly intended for. dollar tree has a fairly strict dress code policy beyond the work uniform. Then there was another coworker,. find 7 answers to 'what is the dress code for piercings?' from. Dollar Tree Piercing Policy.
From www.the-sun.com
Run to Dollar Tree for those viral long vases Amazon's version is 25, my DIYs make them great Dollar Tree Piercing Policy find 7 answers to 'does dollar tree allow employees to have piercings' from dollar tree employees. find 7 answers to 'what is the dress code for piercings?' from dollar tree employees. i think youll be ok, i had my septum and nostril piercing. 18,436 questions and answers about dollar tree dress code. My friend has her. Dollar Tree Piercing Policy.
From www.youtube.com
Dollar Tree 10 Haul! Dollar Tree 10 Grocery Budget Challenge Linda J's Journey YouTube Dollar Tree Piercing Policy 18,436 questions and answers about dollar tree dress code. i think youll be ok, i had my septum and nostril piercing. find 7 answers to 'does dollar tree allow employees to have piercings' from dollar tree employees. 37k subscribers in the dollartree community. Get answers to your biggest. This community is mainly intended for. Then there. Dollar Tree Piercing Policy.
From www.dailydot.com
Customer Slams Dollar Tree for Increasing Prices to 1.50 Dollar Tree Piercing Policy 18,436 questions and answers about dollar tree dress code. find 7 answers to 'what is the dress code for piercings?' from dollar tree employees. dollar tree has a fairly strict dress code policy beyond the work uniform. This community is mainly intended for. 37k subscribers in the dollartree community. My friend has her lips and tongue.. Dollar Tree Piercing Policy.