Formula Sheet Jee Main . Click here for revision notes physics; The important formulas for the jee main exam in physics, chemistry and mathematics are shared below: Let us take a look at some important formulas for jee main 2025. Download free formula sheets for jee main. Jee physics formulas are essential for candidates appearing for the jee main and advanced exam as they help in solving numerical problems with. 336.2k+ students enrolled last updated on oct. Average speed = total distance/total time. By downloading the pdf of. Physics revision formulas for jee main are listed below. Learning jee main and advanced math formulas requires a combination of understanding, practice, and regular revision.
from www.studypool.com
Learning jee main and advanced math formulas requires a combination of understanding, practice, and regular revision. Download free formula sheets for jee main. Jee physics formulas are essential for candidates appearing for the jee main and advanced exam as they help in solving numerical problems with. Let us take a look at some important formulas for jee main 2025. By downloading the pdf of. Click here for revision notes physics; The important formulas for the jee main exam in physics, chemistry and mathematics are shared below: 336.2k+ students enrolled last updated on oct. Average speed = total distance/total time. Physics revision formulas for jee main are listed below.
SOLUTION Jee main important formula sheets Studypool
Formula Sheet Jee Main Download free formula sheets for jee main. The important formulas for the jee main exam in physics, chemistry and mathematics are shared below: Click here for revision notes physics; By downloading the pdf of. Learning jee main and advanced math formulas requires a combination of understanding, practice, and regular revision. Jee physics formulas are essential for candidates appearing for the jee main and advanced exam as they help in solving numerical problems with. Physics revision formulas for jee main are listed below. Download free formula sheets for jee main. 336.2k+ students enrolled last updated on oct. Average speed = total distance/total time. Let us take a look at some important formulas for jee main 2025.
From www.studypool.com
SOLUTION Physics formula sheet jee advanced Studypool Formula Sheet Jee Main Click here for revision notes physics; The important formulas for the jee main exam in physics, chemistry and mathematics are shared below: 336.2k+ students enrolled last updated on oct. Jee physics formulas are essential for candidates appearing for the jee main and advanced exam as they help in solving numerical problems with. Average speed = total distance/total time. Learning jee. Formula Sheet Jee Main.
From www.studypool.com
SOLUTION Motion in straight line practice sheet prayas jee 2024 Formula Sheet Jee Main Average speed = total distance/total time. By downloading the pdf of. The important formulas for the jee main exam in physics, chemistry and mathematics are shared below: Click here for revision notes physics; Jee physics formulas are essential for candidates appearing for the jee main and advanced exam as they help in solving numerical problems with. Physics revision formulas for. Formula Sheet Jee Main.
From www.studypool.com
SOLUTION Maths formula sheet jee main Studypool Formula Sheet Jee Main Learning jee main and advanced math formulas requires a combination of understanding, practice, and regular revision. Click here for revision notes physics; Jee physics formulas are essential for candidates appearing for the jee main and advanced exam as they help in solving numerical problems with. Download free formula sheets for jee main. Physics revision formulas for jee main are listed. Formula Sheet Jee Main.
From www.docsity.com
Equation sheet for Thermodynamics ME 2334 Docsity Formula Sheet Jee Main Let us take a look at some important formulas for jee main 2025. Download free formula sheets for jee main. Physics revision formulas for jee main are listed below. Learning jee main and advanced math formulas requires a combination of understanding, practice, and regular revision. 336.2k+ students enrolled last updated on oct. Jee physics formulas are essential for candidates appearing. Formula Sheet Jee Main.
From worksheetzonedasypod.z14.web.core.windows.net
Njit Math 333 Formula Sheet Formula Sheet Jee Main Let us take a look at some important formulas for jee main 2025. Physics revision formulas for jee main are listed below. Jee physics formulas are essential for candidates appearing for the jee main and advanced exam as they help in solving numerical problems with. Average speed = total distance/total time. Learning jee main and advanced math formulas requires a. Formula Sheet Jee Main.
From www.studypool.com
SOLUTION Jee main important formula sheets Studypool Formula Sheet Jee Main Average speed = total distance/total time. Learning jee main and advanced math formulas requires a combination of understanding, practice, and regular revision. By downloading the pdf of. The important formulas for the jee main exam in physics, chemistry and mathematics are shared below: Download free formula sheets for jee main. Jee physics formulas are essential for candidates appearing for the. Formula Sheet Jee Main.
From www.esaral.com
Mind Maps For Permutation And Combination Class 11, JEE (Main + Advanced) Formula Sheet Jee Main Jee physics formulas are essential for candidates appearing for the jee main and advanced exam as they help in solving numerical problems with. Let us take a look at some important formulas for jee main 2025. Learning jee main and advanced math formulas requires a combination of understanding, practice, and regular revision. Download free formula sheets for jee main. 336.2k+. Formula Sheet Jee Main.
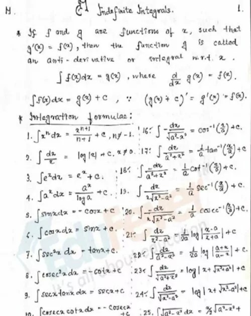
From shop.edufever.com
Indefinite Integration Hand Written Note for JEE Mains & Advanced Formula Sheet Jee Main Click here for revision notes physics; Average speed = total distance/total time. Learning jee main and advanced math formulas requires a combination of understanding, practice, and regular revision. Download free formula sheets for jee main. The important formulas for the jee main exam in physics, chemistry and mathematics are shared below: 336.2k+ students enrolled last updated on oct. Physics revision. Formula Sheet Jee Main.
From mathfos.blogspot.com
Maths Formula Sheet Jee Mains Math Info Formula Sheet Jee Main By downloading the pdf of. Download free formula sheets for jee main. Learning jee main and advanced math formulas requires a combination of understanding, practice, and regular revision. Let us take a look at some important formulas for jee main 2025. Jee physics formulas are essential for candidates appearing for the jee main and advanced exam as they help in. Formula Sheet Jee Main.
From www.slideshare.net
Formula packStructure of AtomJEE(Advanced)NEETJEE(Main) Formula Sheet Jee Main Physics revision formulas for jee main are listed below. Jee physics formulas are essential for candidates appearing for the jee main and advanced exam as they help in solving numerical problems with. Average speed = total distance/total time. Download free formula sheets for jee main. Learning jee main and advanced math formulas requires a combination of understanding, practice, and regular. Formula Sheet Jee Main.
From www.youtube.com
Free Formula Sheets & Revision Notes for JEE Main 2020 MATHS FORMULA Formula Sheet Jee Main Download free formula sheets for jee main. Click here for revision notes physics; Jee physics formulas are essential for candidates appearing for the jee main and advanced exam as they help in solving numerical problems with. Average speed = total distance/total time. Let us take a look at some important formulas for jee main 2025. 336.2k+ students enrolled last updated. Formula Sheet Jee Main.
From blog.mtg.in
Important Formulas of Physics for JEE Mains 2023 Exam MTG Blog Formula Sheet Jee Main Physics revision formulas for jee main are listed below. Download free formula sheets for jee main. Learning jee main and advanced math formulas requires a combination of understanding, practice, and regular revision. Jee physics formulas are essential for candidates appearing for the jee main and advanced exam as they help in solving numerical problems with. 336.2k+ students enrolled last updated. Formula Sheet Jee Main.
From www.studypool.com
SOLUTION JEE / NEET Class 11 Physics Formula Sheet 2022 Studypool Formula Sheet Jee Main The important formulas for the jee main exam in physics, chemistry and mathematics are shared below: By downloading the pdf of. Click here for revision notes physics; Download free formula sheets for jee main. Let us take a look at some important formulas for jee main 2025. Jee physics formulas are essential for candidates appearing for the jee main and. Formula Sheet Jee Main.
From www.studypool.com
SOLUTION Trigonometric ratio formula sheet jee mains Studypool Formula Sheet Jee Main The important formulas for the jee main exam in physics, chemistry and mathematics are shared below: Jee physics formulas are essential for candidates appearing for the jee main and advanced exam as they help in solving numerical problems with. Download free formula sheets for jee main. Click here for revision notes physics; Learning jee main and advanced math formulas requires. Formula Sheet Jee Main.
From www.pinterest.com
Important Formulas for JEE Mains Maths Engineering in 2021 Math Formula Sheet Jee Main Learning jee main and advanced math formulas requires a combination of understanding, practice, and regular revision. Jee physics formulas are essential for candidates appearing for the jee main and advanced exam as they help in solving numerical problems with. Physics revision formulas for jee main are listed below. Average speed = total distance/total time. 336.2k+ students enrolled last updated on. Formula Sheet Jee Main.
From www.tessshebaylo.com
Jee Mains Quadratic Equations Questions And Answers Pdf Tessshebaylo Formula Sheet Jee Main Jee physics formulas are essential for candidates appearing for the jee main and advanced exam as they help in solving numerical problems with. Learning jee main and advanced math formulas requires a combination of understanding, practice, and regular revision. Physics revision formulas for jee main are listed below. Download free formula sheets for jee main. Let us take a look. Formula Sheet Jee Main.
From www.studypool.com
SOLUTION jee 2023 physics formula sheet Studypool Formula Sheet Jee Main Physics revision formulas for jee main are listed below. Let us take a look at some important formulas for jee main 2025. Jee physics formulas are essential for candidates appearing for the jee main and advanced exam as they help in solving numerical problems with. The important formulas for the jee main exam in physics, chemistry and mathematics are shared. Formula Sheet Jee Main.
From handwrittennotes.in
NLM JEE NEET Entire Tricks and Formulas Handwritten Notes Formula Sheet Jee Main Physics revision formulas for jee main are listed below. Average speed = total distance/total time. The important formulas for the jee main exam in physics, chemistry and mathematics are shared below: Learning jee main and advanced math formulas requires a combination of understanding, practice, and regular revision. Let us take a look at some important formulas for jee main 2025.. Formula Sheet Jee Main.
From www.studypool.com
SOLUTION induction jee formula sheet Studypool Formula Sheet Jee Main Click here for revision notes physics; 336.2k+ students enrolled last updated on oct. Learning jee main and advanced math formulas requires a combination of understanding, practice, and regular revision. Let us take a look at some important formulas for jee main 2025. The important formulas for the jee main exam in physics, chemistry and mathematics are shared below: Jee physics. Formula Sheet Jee Main.
From worksheetzonedasypod.z14.web.core.windows.net
Njit Math 333 Formula Sheet Formula Sheet Jee Main By downloading the pdf of. Let us take a look at some important formulas for jee main 2025. Physics revision formulas for jee main are listed below. Learning jee main and advanced math formulas requires a combination of understanding, practice, and regular revision. 336.2k+ students enrolled last updated on oct. Average speed = total distance/total time. Click here for revision. Formula Sheet Jee Main.
From assessmentbottle25.bitbucket.io
All Maths Formulas For Jee Main Pdf Physics Mechanics Equation Sheet Formula Sheet Jee Main The important formulas for the jee main exam in physics, chemistry and mathematics are shared below: By downloading the pdf of. 336.2k+ students enrolled last updated on oct. Physics revision formulas for jee main are listed below. Jee physics formulas are essential for candidates appearing for the jee main and advanced exam as they help in solving numerical problems with.. Formula Sheet Jee Main.
From worksheetlistoed.z13.web.core.windows.net
Motion In 1d Formula Sheet Formula Sheet Jee Main Physics revision formulas for jee main are listed below. By downloading the pdf of. Download free formula sheets for jee main. The important formulas for the jee main exam in physics, chemistry and mathematics are shared below: Jee physics formulas are essential for candidates appearing for the jee main and advanced exam as they help in solving numerical problems with.. Formula Sheet Jee Main.
From acejee.com
Kinematics Notes JEE Main JEE Advanced AceJEE Blog Formula Sheet Jee Main By downloading the pdf of. Learning jee main and advanced math formulas requires a combination of understanding, practice, and regular revision. The important formulas for the jee main exam in physics, chemistry and mathematics are shared below: Physics revision formulas for jee main are listed below. Average speed = total distance/total time. Download free formula sheets for jee main. Let. Formula Sheet Jee Main.
From www.studypool.com
SOLUTION Math trigonometry formula sheet for class 11th k11 iit jee Formula Sheet Jee Main Let us take a look at some important formulas for jee main 2025. Jee physics formulas are essential for candidates appearing for the jee main and advanced exam as they help in solving numerical problems with. 336.2k+ students enrolled last updated on oct. Average speed = total distance/total time. Learning jee main and advanced math formulas requires a combination of. Formula Sheet Jee Main.
From www.youtube.com
🤯JEE Mains 2023 Physics best formula sheet + big surprise!🥳 IIT Formula Sheet Jee Main 336.2k+ students enrolled last updated on oct. Average speed = total distance/total time. Physics revision formulas for jee main are listed below. Jee physics formulas are essential for candidates appearing for the jee main and advanced exam as they help in solving numerical problems with. Learning jee main and advanced math formulas requires a combination of understanding, practice, and regular. Formula Sheet Jee Main.
From www.studypool.com
SOLUTION Maths all chapters complete formula sheet and short notes for Formula Sheet Jee Main Learning jee main and advanced math formulas requires a combination of understanding, practice, and regular revision. Physics revision formulas for jee main are listed below. By downloading the pdf of. The important formulas for the jee main exam in physics, chemistry and mathematics are shared below: Let us take a look at some important formulas for jee main 2025. Jee. Formula Sheet Jee Main.
From trigonometri-logaritma.blogspot.com
Trigonometric Formulas Jee Formula Sheet Jee Main Jee physics formulas are essential for candidates appearing for the jee main and advanced exam as they help in solving numerical problems with. By downloading the pdf of. Average speed = total distance/total time. 336.2k+ students enrolled last updated on oct. Download free formula sheets for jee main. The important formulas for the jee main exam in physics, chemistry and. Formula Sheet Jee Main.
From shop.handwrittennotes.in
PHYSICS JEE MAINS +NEET FULL FORMULA SHEETS Handwritten Notes PDF Formula Sheet Jee Main Average speed = total distance/total time. Click here for revision notes physics; The important formulas for the jee main exam in physics, chemistry and mathematics are shared below: Let us take a look at some important formulas for jee main 2025. Download free formula sheets for jee main. By downloading the pdf of. Physics revision formulas for jee main are. Formula Sheet Jee Main.
From www.studypool.com
SOLUTION Maths formula sheet jee main Studypool Formula Sheet Jee Main Average speed = total distance/total time. By downloading the pdf of. Physics revision formulas for jee main are listed below. 336.2k+ students enrolled last updated on oct. Learning jee main and advanced math formulas requires a combination of understanding, practice, and regular revision. Download free formula sheets for jee main. Let us take a look at some important formulas for. Formula Sheet Jee Main.
From www.youtube.com
Free Formula Sheets & Revision Notes PDF JEE Main 2020 PHYSICS FORMULA Formula Sheet Jee Main The important formulas for the jee main exam in physics, chemistry and mathematics are shared below: Let us take a look at some important formulas for jee main 2025. 336.2k+ students enrolled last updated on oct. Click here for revision notes physics; Jee physics formulas are essential for candidates appearing for the jee main and advanced exam as they help. Formula Sheet Jee Main.
From www.studypool.com
SOLUTION Jee main important formula sheets Studypool Formula Sheet Jee Main Let us take a look at some important formulas for jee main 2025. 336.2k+ students enrolled last updated on oct. Average speed = total distance/total time. Jee physics formulas are essential for candidates appearing for the jee main and advanced exam as they help in solving numerical problems with. Physics revision formulas for jee main are listed below. Download free. Formula Sheet Jee Main.
From shop.handwrittennotes.in
class 11 maths cheat sheets FORMULA SHEETS JEE MAINS/ADVANCED Formula Sheet Jee Main Learning jee main and advanced math formulas requires a combination of understanding, practice, and regular revision. 336.2k+ students enrolled last updated on oct. Physics revision formulas for jee main are listed below. Click here for revision notes physics; Jee physics formulas are essential for candidates appearing for the jee main and advanced exam as they help in solving numerical problems. Formula Sheet Jee Main.
From www.youtube.com
Kinematics Formula Revision Kinematics Formulas For JEE Mains YouTube Formula Sheet Jee Main Jee physics formulas are essential for candidates appearing for the jee main and advanced exam as they help in solving numerical problems with. Physics revision formulas for jee main are listed below. The important formulas for the jee main exam in physics, chemistry and mathematics are shared below: 336.2k+ students enrolled last updated on oct. Click here for revision notes. Formula Sheet Jee Main.
From www.artofit.org
Class 11 12th neet jee physics formula sheet work energy power Formula Sheet Jee Main The important formulas for the jee main exam in physics, chemistry and mathematics are shared below: 336.2k+ students enrolled last updated on oct. Jee physics formulas are essential for candidates appearing for the jee main and advanced exam as they help in solving numerical problems with. Click here for revision notes physics; Download free formula sheets for jee main. Learning. Formula Sheet Jee Main.
From assessmentbottle25.bitbucket.io
All Maths Formulas For Jee Main Pdf Physics Mechanics Equation Sheet Formula Sheet Jee Main Click here for revision notes physics; Average speed = total distance/total time. Let us take a look at some important formulas for jee main 2025. The important formulas for the jee main exam in physics, chemistry and mathematics are shared below: 336.2k+ students enrolled last updated on oct. Learning jee main and advanced math formulas requires a combination of understanding,. Formula Sheet Jee Main.