Types Of Roots Discriminant . The value of the discriminant tells us the types of roots of quadratic equations. To find the nature of roots of a quadratic equation, the discriminant can be used. The discriminant for any quadratic equation of the form $$ y =\red a x^2 + \blue bx + \color {green} c $$ is found by the following formula and it provides critical information regarding. Whether the discriminant is greater than zero, equal to zero or less than zero can be used to determine if a quadratic equation has no real. The discriminant of a quadratic polynomial, denoted \delta, δ, is a function of the coefficients of the polynomial, which provides information. The value of the discriminant helps to determine the number and type of roots for the quadratic equation: It determines the number and the. As you plug in the constants a, b, and.
from www.slideserve.com
It determines the number and the. Whether the discriminant is greater than zero, equal to zero or less than zero can be used to determine if a quadratic equation has no real. As you plug in the constants a, b, and. The value of the discriminant tells us the types of roots of quadratic equations. The value of the discriminant helps to determine the number and type of roots for the quadratic equation: To find the nature of roots of a quadratic equation, the discriminant can be used. The discriminant for any quadratic equation of the form $$ y =\red a x^2 + \blue bx + \color {green} c $$ is found by the following formula and it provides critical information regarding. The discriminant of a quadratic polynomial, denoted \delta, δ, is a function of the coefficients of the polynomial, which provides information.
PPT The Discriminant PowerPoint Presentation, free download ID1853245
Types Of Roots Discriminant The value of the discriminant tells us the types of roots of quadratic equations. Whether the discriminant is greater than zero, equal to zero or less than zero can be used to determine if a quadratic equation has no real. The discriminant for any quadratic equation of the form $$ y =\red a x^2 + \blue bx + \color {green} c $$ is found by the following formula and it provides critical information regarding. It determines the number and the. As you plug in the constants a, b, and. The value of the discriminant helps to determine the number and type of roots for the quadratic equation: The discriminant of a quadratic polynomial, denoted \delta, δ, is a function of the coefficients of the polynomial, which provides information. The value of the discriminant tells us the types of roots of quadratic equations. To find the nature of roots of a quadratic equation, the discriminant can be used.
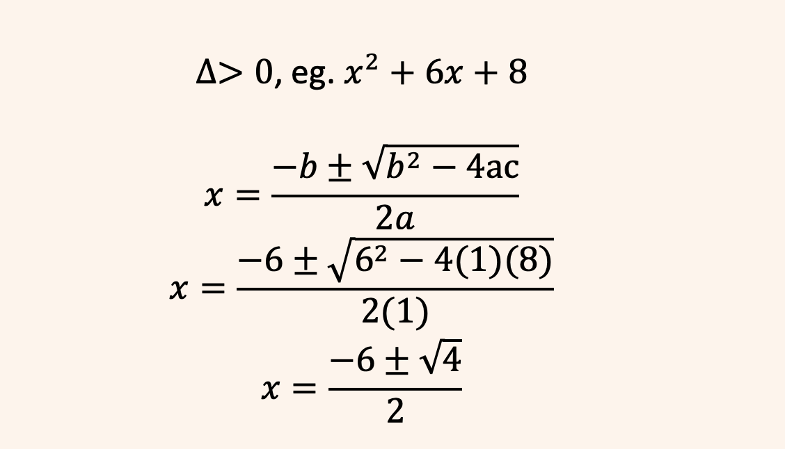
From understandingstem.com
Nature of the roots in quadratic equations (the discriminant Types Of Roots Discriminant Whether the discriminant is greater than zero, equal to zero or less than zero can be used to determine if a quadratic equation has no real. The discriminant for any quadratic equation of the form $$ y =\red a x^2 + \blue bx + \color {green} c $$ is found by the following formula and it provides critical information regarding.. Types Of Roots Discriminant.
From www.onlinemathlearning.com
Discriminant and Quadratic Equations (solutions, examples, worksheets Types Of Roots Discriminant As you plug in the constants a, b, and. The discriminant of a quadratic polynomial, denoted \delta, δ, is a function of the coefficients of the polynomial, which provides information. The value of the discriminant tells us the types of roots of quadratic equations. The value of the discriminant helps to determine the number and type of roots for the. Types Of Roots Discriminant.
From mathsathome.com
The Discriminant of a Quadratic Types Of Roots Discriminant As you plug in the constants a, b, and. It determines the number and the. The value of the discriminant helps to determine the number and type of roots for the quadratic equation: The value of the discriminant tells us the types of roots of quadratic equations. Whether the discriminant is greater than zero, equal to zero or less than. Types Of Roots Discriminant.
From www.slideserve.com
PPT 6.5 The Quadratic Formula and the Discriminant PowerPoint Types Of Roots Discriminant The discriminant of a quadratic polynomial, denoted \delta, δ, is a function of the coefficients of the polynomial, which provides information. To find the nature of roots of a quadratic equation, the discriminant can be used. As you plug in the constants a, b, and. The value of the discriminant helps to determine the number and type of roots for. Types Of Roots Discriminant.
From testbook.com
Discriminant Formula, Types, Nature of Roots and Solved Examples Types Of Roots Discriminant The value of the discriminant tells us the types of roots of quadratic equations. As you plug in the constants a, b, and. To find the nature of roots of a quadratic equation, the discriminant can be used. It determines the number and the. The discriminant for any quadratic equation of the form $$ y =\red a x^2 + \blue. Types Of Roots Discriminant.
From slideplayer.com
The Quadratic Formula and the Discriminant ppt download Types Of Roots Discriminant The value of the discriminant helps to determine the number and type of roots for the quadratic equation: Whether the discriminant is greater than zero, equal to zero or less than zero can be used to determine if a quadratic equation has no real. As you plug in the constants a, b, and. The discriminant for any quadratic equation of. Types Of Roots Discriminant.
From www.youtube.com
Discriminant and the Nature of Roots of Quadratic Equations YouTube Types Of Roots Discriminant The discriminant for any quadratic equation of the form $$ y =\red a x^2 + \blue bx + \color {green} c $$ is found by the following formula and it provides critical information regarding. The value of the discriminant tells us the types of roots of quadratic equations. The value of the discriminant helps to determine the number and type. Types Of Roots Discriminant.
From egrcf.org
Discriminant Formula, Rules, Discriminant of Quadratic Qquation (2024) Types Of Roots Discriminant The value of the discriminant tells us the types of roots of quadratic equations. The discriminant of a quadratic polynomial, denoted \delta, δ, is a function of the coefficients of the polynomial, which provides information. The value of the discriminant helps to determine the number and type of roots for the quadratic equation: To find the nature of roots of. Types Of Roots Discriminant.
From www.programiz.com
C Program to Find the Roots of a Quadratic Equation Types Of Roots Discriminant To find the nature of roots of a quadratic equation, the discriminant can be used. The value of the discriminant tells us the types of roots of quadratic equations. The discriminant of a quadratic polynomial, denoted \delta, δ, is a function of the coefficients of the polynomial, which provides information. As you plug in the constants a, b, and. The. Types Of Roots Discriminant.
From www.youtube.com
Discriminant and Nature of Roots YouTube Types Of Roots Discriminant The value of the discriminant tells us the types of roots of quadratic equations. The discriminant for any quadratic equation of the form $$ y =\red a x^2 + \blue bx + \color {green} c $$ is found by the following formula and it provides critical information regarding. The value of the discriminant helps to determine the number and type. Types Of Roots Discriminant.
From understandingstem.com
Nature of the roots in quadratic equations (the discriminant Types Of Roots Discriminant The value of the discriminant tells us the types of roots of quadratic equations. The value of the discriminant helps to determine the number and type of roots for the quadratic equation: It determines the number and the. The discriminant of a quadratic polynomial, denoted \delta, δ, is a function of the coefficients of the polynomial, which provides information. The. Types Of Roots Discriminant.
From www.youtube.com
Quadratic Equation Determine Types of Roots With Discriminant YouTube Types Of Roots Discriminant The discriminant for any quadratic equation of the form $$ y =\red a x^2 + \blue bx + \color {green} c $$ is found by the following formula and it provides critical information regarding. It determines the number and the. The discriminant of a quadratic polynomial, denoted \delta, δ, is a function of the coefficients of the polynomial, which provides. Types Of Roots Discriminant.
From www.youtube.com
How to Find the Discriminant & Number of Solutions for a Quadratic Types Of Roots Discriminant The discriminant for any quadratic equation of the form $$ y =\red a x^2 + \blue bx + \color {green} c $$ is found by the following formula and it provides critical information regarding. It determines the number and the. The value of the discriminant tells us the types of roots of quadratic equations. To find the nature of roots. Types Of Roots Discriminant.
From slideplayer.com
The Quadratic Formula.. ppt download Types Of Roots Discriminant It determines the number and the. As you plug in the constants a, b, and. The discriminant for any quadratic equation of the form $$ y =\red a x^2 + \blue bx + \color {green} c $$ is found by the following formula and it provides critical information regarding. The value of the discriminant helps to determine the number and. Types Of Roots Discriminant.
From www.slideserve.com
PPT The Discriminant PowerPoint Presentation, free download ID1853245 Types Of Roots Discriminant The value of the discriminant helps to determine the number and type of roots for the quadratic equation: It determines the number and the. The discriminant of a quadratic polynomial, denoted \delta, δ, is a function of the coefficients of the polynomial, which provides information. To find the nature of roots of a quadratic equation, the discriminant can be used.. Types Of Roots Discriminant.
From www.cuemath.com
Discriminant Definition, Examples & Solved Solutions Cuemath Types Of Roots Discriminant The discriminant of a quadratic polynomial, denoted \delta, δ, is a function of the coefficients of the polynomial, which provides information. Whether the discriminant is greater than zero, equal to zero or less than zero can be used to determine if a quadratic equation has no real. The value of the discriminant helps to determine the number and type of. Types Of Roots Discriminant.
From brainly.com
Use the value of the discriminant to determine the number and type of Types Of Roots Discriminant As you plug in the constants a, b, and. The value of the discriminant helps to determine the number and type of roots for the quadratic equation: Whether the discriminant is greater than zero, equal to zero or less than zero can be used to determine if a quadratic equation has no real. The value of the discriminant tells us. Types Of Roots Discriminant.
From www.programiz.com
C++ Program to Find All Roots of a Quadratic Equation Types Of Roots Discriminant As you plug in the constants a, b, and. The discriminant of a quadratic polynomial, denoted \delta, δ, is a function of the coefficients of the polynomial, which provides information. It determines the number and the. The value of the discriminant helps to determine the number and type of roots for the quadratic equation: The discriminant for any quadratic equation. Types Of Roots Discriminant.
From slideplayer.com
The Discriminant. ppt download Types Of Roots Discriminant The discriminant of a quadratic polynomial, denoted \delta, δ, is a function of the coefficients of the polynomial, which provides information. It determines the number and the. The value of the discriminant helps to determine the number and type of roots for the quadratic equation: As you plug in the constants a, b, and. Whether the discriminant is greater than. Types Of Roots Discriminant.
From www.youtube.com
using the discriminant to determine if roots are real and distinct Types Of Roots Discriminant The discriminant for any quadratic equation of the form $$ y =\red a x^2 + \blue bx + \color {green} c $$ is found by the following formula and it provides critical information regarding. The discriminant of a quadratic polynomial, denoted \delta, δ, is a function of the coefficients of the polynomial, which provides information. Whether the discriminant is greater. Types Of Roots Discriminant.
From www.expii.com
Discriminant to Find Nature of Roots Expii Types Of Roots Discriminant To find the nature of roots of a quadratic equation, the discriminant can be used. The discriminant for any quadratic equation of the form $$ y =\red a x^2 + \blue bx + \color {green} c $$ is found by the following formula and it provides critical information regarding. The value of the discriminant tells us the types of roots. Types Of Roots Discriminant.
From socratic.org
How to use the discriminant to find out how many real number roots an Types Of Roots Discriminant The value of the discriminant helps to determine the number and type of roots for the quadratic equation: The discriminant for any quadratic equation of the form $$ y =\red a x^2 + \blue bx + \color {green} c $$ is found by the following formula and it provides critical information regarding. Whether the discriminant is greater than zero, equal. Types Of Roots Discriminant.
From brainly.com
Find the discriminant for each Quadratic and state the types of roots Types Of Roots Discriminant To find the nature of roots of a quadratic equation, the discriminant can be used. As you plug in the constants a, b, and. The discriminant for any quadratic equation of the form $$ y =\red a x^2 + \blue bx + \color {green} c $$ is found by the following formula and it provides critical information regarding. Whether the. Types Of Roots Discriminant.
From socratic.org
How do you find the value of the discriminant and determine the nature Types Of Roots Discriminant The discriminant for any quadratic equation of the form $$ y =\red a x^2 + \blue bx + \color {green} c $$ is found by the following formula and it provides critical information regarding. Whether the discriminant is greater than zero, equal to zero or less than zero can be used to determine if a quadratic equation has no real.. Types Of Roots Discriminant.
From slideplayer.com
The Quadratic Formula and the Discriminant ppt download Types Of Roots Discriminant The discriminant for any quadratic equation of the form $$ y =\red a x^2 + \blue bx + \color {green} c $$ is found by the following formula and it provides critical information regarding. To find the nature of roots of a quadratic equation, the discriminant can be used. Whether the discriminant is greater than zero, equal to zero or. Types Of Roots Discriminant.
From www.slideserve.com
PPT The Quadratic Formula. PowerPoint Presentation, free download Types Of Roots Discriminant As you plug in the constants a, b, and. To find the nature of roots of a quadratic equation, the discriminant can be used. The value of the discriminant helps to determine the number and type of roots for the quadratic equation: It determines the number and the. Whether the discriminant is greater than zero, equal to zero or less. Types Of Roots Discriminant.
From understandingstem.com
Types of roots in quadratic equations (the discriminant) Types Of Roots Discriminant The discriminant of a quadratic polynomial, denoted \delta, δ, is a function of the coefficients of the polynomial, which provides information. To find the nature of roots of a quadratic equation, the discriminant can be used. The value of the discriminant helps to determine the number and type of roots for the quadratic equation: As you plug in the constants. Types Of Roots Discriminant.
From theeducationjourney.com
Discriminant Know the meaning, definition, formula Types Of Roots Discriminant To find the nature of roots of a quadratic equation, the discriminant can be used. The value of the discriminant tells us the types of roots of quadratic equations. It determines the number and the. The discriminant of a quadratic polynomial, denoted \delta, δ, is a function of the coefficients of the polynomial, which provides information. As you plug in. Types Of Roots Discriminant.
From www.youtube.com
Using the Discriminant to find type and number of roots.mov YouTube Types Of Roots Discriminant It determines the number and the. Whether the discriminant is greater than zero, equal to zero or less than zero can be used to determine if a quadratic equation has no real. The discriminant for any quadratic equation of the form $$ y =\red a x^2 + \blue bx + \color {green} c $$ is found by the following formula. Types Of Roots Discriminant.
From www.youtube.com
Discriminant of Quadratic Equation Nature of Roots YouTube Types Of Roots Discriminant To find the nature of roots of a quadratic equation, the discriminant can be used. The discriminant for any quadratic equation of the form $$ y =\red a x^2 + \blue bx + \color {green} c $$ is found by the following formula and it provides critical information regarding. The discriminant of a quadratic polynomial, denoted \delta, δ, is a. Types Of Roots Discriminant.
From www.slideserve.com
PPT Warm up Solve by Taking Roots PowerPoint Presentation, free Types Of Roots Discriminant Whether the discriminant is greater than zero, equal to zero or less than zero can be used to determine if a quadratic equation has no real. The value of the discriminant helps to determine the number and type of roots for the quadratic equation: The discriminant of a quadratic polynomial, denoted \delta, δ, is a function of the coefficients of. Types Of Roots Discriminant.
From mathsux.org
What is the Discriminant? Math Lessons Types Of Roots Discriminant The value of the discriminant tells us the types of roots of quadratic equations. Whether the discriminant is greater than zero, equal to zero or less than zero can be used to determine if a quadratic equation has no real. The discriminant of a quadratic polynomial, denoted \delta, δ, is a function of the coefficients of the polynomial, which provides. Types Of Roots Discriminant.
From www.sciencefacts.net
Types of Roots With Examples and Diagrams Types Of Roots Discriminant The value of the discriminant helps to determine the number and type of roots for the quadratic equation: To find the nature of roots of a quadratic equation, the discriminant can be used. As you plug in the constants a, b, and. Whether the discriminant is greater than zero, equal to zero or less than zero can be used to. Types Of Roots Discriminant.
From www.youtube.com
The Discriminant Corbettmaths YouTube Types Of Roots Discriminant The discriminant of a quadratic polynomial, denoted \delta, δ, is a function of the coefficients of the polynomial, which provides information. As you plug in the constants a, b, and. Whether the discriminant is greater than zero, equal to zero or less than zero can be used to determine if a quadratic equation has no real. To find the nature. Types Of Roots Discriminant.
From www.youtube.com
Types of Roots of Quadratic Equations and Value of Discriminant Form Types Of Roots Discriminant As you plug in the constants a, b, and. The value of the discriminant helps to determine the number and type of roots for the quadratic equation: The value of the discriminant tells us the types of roots of quadratic equations. The discriminant for any quadratic equation of the form $$ y =\red a x^2 + \blue bx + \color. Types Of Roots Discriminant.