Logarithmic Functions Solve For X . How to evaluate simple logarithmic functions and solve logarithmic functions, what are logarithmic functions, how to solve for x in logarithmic. In order to solve these kinds of equations we will need to remember the exponential form of the logarithm. The basic form of a logarithmic function is y = f (x) = log b x (0 < b ≠ 1), which is the inverse of the exponential function b y = x. A logarithmic equation is an equation that involves the. The natural log or ln is the. Set the arguments equal to each other, solve the equation and check your answer. To solve the logarithmic functions, it is important to use exponential functions in the given expression. How to solve logarithmic functions? This calculator will help you solve logarithmic equations, showing all the steps.
from www.chegg.com
To solve the logarithmic functions, it is important to use exponential functions in the given expression. In order to solve these kinds of equations we will need to remember the exponential form of the logarithm. How to evaluate simple logarithmic functions and solve logarithmic functions, what are logarithmic functions, how to solve for x in logarithmic. A logarithmic equation is an equation that involves the. The basic form of a logarithmic function is y = f (x) = log b x (0 < b ≠ 1), which is the inverse of the exponential function b y = x. This calculator will help you solve logarithmic equations, showing all the steps. Set the arguments equal to each other, solve the equation and check your answer. How to solve logarithmic functions? The natural log or ln is the.
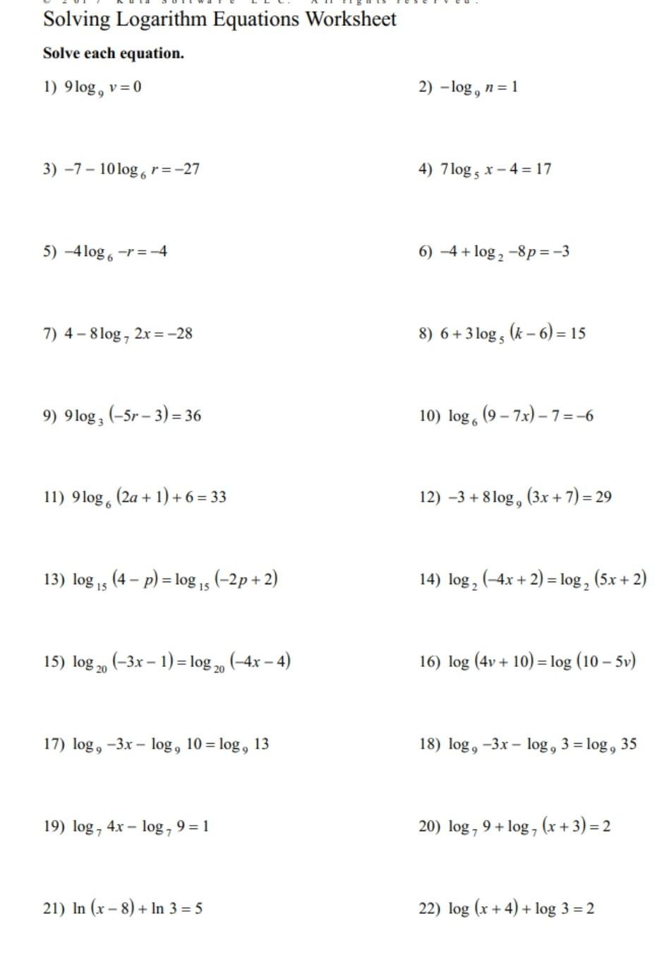
Solved Solving Logarithm Equations Worksheet Solve each
Logarithmic Functions Solve For X The basic form of a logarithmic function is y = f (x) = log b x (0 < b ≠ 1), which is the inverse of the exponential function b y = x. The natural log or ln is the. This calculator will help you solve logarithmic equations, showing all the steps. A logarithmic equation is an equation that involves the. How to evaluate simple logarithmic functions and solve logarithmic functions, what are logarithmic functions, how to solve for x in logarithmic. How to solve logarithmic functions? To solve the logarithmic functions, it is important to use exponential functions in the given expression. The basic form of a logarithmic function is y = f (x) = log b x (0 < b ≠ 1), which is the inverse of the exponential function b y = x. Set the arguments equal to each other, solve the equation and check your answer. In order to solve these kinds of equations we will need to remember the exponential form of the logarithm.
From printablesherry.z13.web.core.windows.net
How To Solve For Logarithmic Equations Logarithmic Functions Solve For X How to solve logarithmic functions? This calculator will help you solve logarithmic equations, showing all the steps. To solve the logarithmic functions, it is important to use exponential functions in the given expression. How to evaluate simple logarithmic functions and solve logarithmic functions, what are logarithmic functions, how to solve for x in logarithmic. A logarithmic equation is an equation. Logarithmic Functions Solve For X.
From www.youtube.com
SOLVING LOGARITHMIC EQUATIONS FINDING THE VALUE OF X YouTube Logarithmic Functions Solve For X To solve the logarithmic functions, it is important to use exponential functions in the given expression. In order to solve these kinds of equations we will need to remember the exponential form of the logarithm. How to evaluate simple logarithmic functions and solve logarithmic functions, what are logarithmic functions, how to solve for x in logarithmic. The basic form of. Logarithmic Functions Solve For X.
From www.pinterest.co.uk
Exponential and Logarithm Laws Teaching math, Algebra, Learning math Logarithmic Functions Solve For X In order to solve these kinds of equations we will need to remember the exponential form of the logarithm. This calculator will help you solve logarithmic equations, showing all the steps. The basic form of a logarithmic function is y = f (x) = log b x (0 < b ≠ 1), which is the inverse of the exponential function. Logarithmic Functions Solve For X.
From www.math-exercises.com
Math Exercises & Math Problems Logarithmic Equations and Inequalities Logarithmic Functions Solve For X The basic form of a logarithmic function is y = f (x) = log b x (0 < b ≠ 1), which is the inverse of the exponential function b y = x. This calculator will help you solve logarithmic equations, showing all the steps. In order to solve these kinds of equations we will need to remember the exponential. Logarithmic Functions Solve For X.
From www.tessshebaylo.com
Solving Exponential Equations Without Logs Worksheet Answers Tessshebaylo Logarithmic Functions Solve For X How to evaluate simple logarithmic functions and solve logarithmic functions, what are logarithmic functions, how to solve for x in logarithmic. The basic form of a logarithmic function is y = f (x) = log b x (0 < b ≠ 1), which is the inverse of the exponential function b y = x. This calculator will help you solve. Logarithmic Functions Solve For X.
From www.slideserve.com
PPT Solving Logarithmic Equations PowerPoint Presentation, free Logarithmic Functions Solve For X A logarithmic equation is an equation that involves the. How to solve logarithmic functions? To solve the logarithmic functions, it is important to use exponential functions in the given expression. How to evaluate simple logarithmic functions and solve logarithmic functions, what are logarithmic functions, how to solve for x in logarithmic. Set the arguments equal to each other, solve the. Logarithmic Functions Solve For X.
From www.animalia-life.club
Logarithm Formula Logarithmic Functions Solve For X How to evaluate simple logarithmic functions and solve logarithmic functions, what are logarithmic functions, how to solve for x in logarithmic. To solve the logarithmic functions, it is important to use exponential functions in the given expression. The natural log or ln is the. In order to solve these kinds of equations we will need to remember the exponential form. Logarithmic Functions Solve For X.
From www.youtube.com
Solving Logarithmic Equations Example 1 YouTube Logarithmic Functions Solve For X In order to solve these kinds of equations we will need to remember the exponential form of the logarithm. This calculator will help you solve logarithmic equations, showing all the steps. The natural log or ln is the. The basic form of a logarithmic function is y = f (x) = log b x (0 < b ≠ 1), which. Logarithmic Functions Solve For X.
From www.numerade.com
SOLVED Write an expression, of the type A log(x + B), for the Logarithmic Functions Solve For X The natural log or ln is the. A logarithmic equation is an equation that involves the. To solve the logarithmic functions, it is important to use exponential functions in the given expression. How to solve logarithmic functions? The basic form of a logarithmic function is y = f (x) = log b x (0 < b ≠ 1), which is. Logarithmic Functions Solve For X.
From www.tessshebaylo.com
Steps On How To Solve Exponential Equations Using Logarithms Tessshebaylo Logarithmic Functions Solve For X How to evaluate simple logarithmic functions and solve logarithmic functions, what are logarithmic functions, how to solve for x in logarithmic. Set the arguments equal to each other, solve the equation and check your answer. The basic form of a logarithmic function is y = f (x) = log b x (0 < b ≠ 1), which is the inverse. Logarithmic Functions Solve For X.
From www.youtube.com
solving easy logarithm equations by converting to exponential form Logarithmic Functions Solve For X How to evaluate simple logarithmic functions and solve logarithmic functions, what are logarithmic functions, how to solve for x in logarithmic. How to solve logarithmic functions? To solve the logarithmic functions, it is important to use exponential functions in the given expression. A logarithmic equation is an equation that involves the. In order to solve these kinds of equations we. Logarithmic Functions Solve For X.
From mathodics.com
Understanding the Properties of Log Functions Logarithmic Functions Solve For X How to solve logarithmic functions? The natural log or ln is the. This calculator will help you solve logarithmic equations, showing all the steps. How to evaluate simple logarithmic functions and solve logarithmic functions, what are logarithmic functions, how to solve for x in logarithmic. Set the arguments equal to each other, solve the equation and check your answer. A. Logarithmic Functions Solve For X.
From mathsstudy123.blogspot.com
Logarithm Maths Study Logarithmic Functions Solve For X A logarithmic equation is an equation that involves the. How to solve logarithmic functions? In order to solve these kinds of equations we will need to remember the exponential form of the logarithm. The basic form of a logarithmic function is y = f (x) = log b x (0 < b ≠ 1), which is the inverse of the. Logarithmic Functions Solve For X.
From andymath.com
Logarithms Logarithmic Functions Solve For X In order to solve these kinds of equations we will need to remember the exponential form of the logarithm. The basic form of a logarithmic function is y = f (x) = log b x (0 < b ≠ 1), which is the inverse of the exponential function b y = x. A logarithmic equation is an equation that involves. Logarithmic Functions Solve For X.
From www.worksheeto.com
12 Exponential And Logarithmic Equations Worksheet / Logarithmic Functions Solve For X The basic form of a logarithmic function is y = f (x) = log b x (0 < b ≠ 1), which is the inverse of the exponential function b y = x. How to solve logarithmic functions? How to evaluate simple logarithmic functions and solve logarithmic functions, what are logarithmic functions, how to solve for x in logarithmic. Set. Logarithmic Functions Solve For X.
From www.chegg.com
Solved Simplify using the properties of logarithms. 1. Logarithmic Functions Solve For X Set the arguments equal to each other, solve the equation and check your answer. The natural log or ln is the. In order to solve these kinds of equations we will need to remember the exponential form of the logarithm. How to evaluate simple logarithmic functions and solve logarithmic functions, what are logarithmic functions, how to solve for x in. Logarithmic Functions Solve For X.
From study.com
How to Solve an Exponential Equation by Using Natural Logarithms with Logarithmic Functions Solve For X How to solve logarithmic functions? The natural log or ln is the. A logarithmic equation is an equation that involves the. In order to solve these kinds of equations we will need to remember the exponential form of the logarithm. The basic form of a logarithmic function is y = f (x) = log b x (0 < b ≠. Logarithmic Functions Solve For X.
From www.youtube.com
Solving Logarithmic Equations YouTube Logarithmic Functions Solve For X The basic form of a logarithmic function is y = f (x) = log b x (0 < b ≠ 1), which is the inverse of the exponential function b y = x. A logarithmic equation is an equation that involves the. To solve the logarithmic functions, it is important to use exponential functions in the given expression. How to. Logarithmic Functions Solve For X.
From www.chegg.com
Solved Solving Logarithm Equations Worksheet Solve each Logarithmic Functions Solve For X The basic form of a logarithmic function is y = f (x) = log b x (0 < b ≠ 1), which is the inverse of the exponential function b y = x. How to solve logarithmic functions? Set the arguments equal to each other, solve the equation and check your answer. In order to solve these kinds of equations. Logarithmic Functions Solve For X.
From www.youtube.com
Techniques for Solving Logarithmic Equations YouTube Logarithmic Functions Solve For X A logarithmic equation is an equation that involves the. The basic form of a logarithmic function is y = f (x) = log b x (0 < b ≠ 1), which is the inverse of the exponential function b y = x. To solve the logarithmic functions, it is important to use exponential functions in the given expression. How to. Logarithmic Functions Solve For X.
From www.youtube.com
Writing Logarithmic Equations In Exponential Form YouTube Logarithmic Functions Solve For X How to evaluate simple logarithmic functions and solve logarithmic functions, what are logarithmic functions, how to solve for x in logarithmic. This calculator will help you solve logarithmic equations, showing all the steps. To solve the logarithmic functions, it is important to use exponential functions in the given expression. Set the arguments equal to each other, solve the equation and. Logarithmic Functions Solve For X.
From www.storyofmathematics.com
Solving Logarithmic Functions Explanation & Examples Logarithmic Functions Solve For X Set the arguments equal to each other, solve the equation and check your answer. A logarithmic equation is an equation that involves the. The basic form of a logarithmic function is y = f (x) = log b x (0 < b ≠ 1), which is the inverse of the exponential function b y = x. In order to solve. Logarithmic Functions Solve For X.
From www.youtube.com
Exponential Logarithmic Equations YouTube Logarithmic Functions Solve For X To solve the logarithmic functions, it is important to use exponential functions in the given expression. Set the arguments equal to each other, solve the equation and check your answer. The basic form of a logarithmic function is y = f (x) = log b x (0 < b ≠ 1), which is the inverse of the exponential function b. Logarithmic Functions Solve For X.
From www.youtube.com
Solving the Logarithmic Equation (logx)^2 6*logx = 7 YouTube Logarithmic Functions Solve For X How to solve logarithmic functions? The basic form of a logarithmic function is y = f (x) = log b x (0 < b ≠ 1), which is the inverse of the exponential function b y = x. Set the arguments equal to each other, solve the equation and check your answer. A logarithmic equation is an equation that involves. Logarithmic Functions Solve For X.
From calconcalculator.com
Condense Logarithms Calculator Solution with steps🥇 Logarithmic Functions Solve For X To solve the logarithmic functions, it is important to use exponential functions in the given expression. How to evaluate simple logarithmic functions and solve logarithmic functions, what are logarithmic functions, how to solve for x in logarithmic. In order to solve these kinds of equations we will need to remember the exponential form of the logarithm. How to solve logarithmic. Logarithmic Functions Solve For X.
From studydbderrico.z13.web.core.windows.net
Challenging Logarithmic Equations Worksheet Logarithmic Functions Solve For X This calculator will help you solve logarithmic equations, showing all the steps. To solve the logarithmic functions, it is important to use exponential functions in the given expression. In order to solve these kinds of equations we will need to remember the exponential form of the logarithm. The basic form of a logarithmic function is y = f (x) =. Logarithmic Functions Solve For X.
From saylordotorg.github.io
Logarithmic Functions and Their Graphs Logarithmic Functions Solve For X Set the arguments equal to each other, solve the equation and check your answer. How to evaluate simple logarithmic functions and solve logarithmic functions, what are logarithmic functions, how to solve for x in logarithmic. The natural log or ln is the. In order to solve these kinds of equations we will need to remember the exponential form of the. Logarithmic Functions Solve For X.
From courses.lumenlearning.com
Stretching, Compressing, or Reflecting a Logarithmic Function College Logarithmic Functions Solve For X To solve the logarithmic functions, it is important to use exponential functions in the given expression. Set the arguments equal to each other, solve the equation and check your answer. How to evaluate simple logarithmic functions and solve logarithmic functions, what are logarithmic functions, how to solve for x in logarithmic. The basic form of a logarithmic function is y. Logarithmic Functions Solve For X.
From www.numerade.com
SOLVEDSolve each logarithmic equation. logx^2=(logx)^2 Logarithmic Functions Solve For X How to evaluate simple logarithmic functions and solve logarithmic functions, what are logarithmic functions, how to solve for x in logarithmic. A logarithmic equation is an equation that involves the. Set the arguments equal to each other, solve the equation and check your answer. How to solve logarithmic functions? The natural log or ln is the. The basic form of. Logarithmic Functions Solve For X.
From www.cuemath.com
Logarithm Introduction What is Logarithm, Rules, Functions Logarithmic Functions Solve For X This calculator will help you solve logarithmic equations, showing all the steps. The natural log or ln is the. Set the arguments equal to each other, solve the equation and check your answer. In order to solve these kinds of equations we will need to remember the exponential form of the logarithm. How to solve logarithmic functions? A logarithmic equation. Logarithmic Functions Solve For X.
From mungfali.com
Solving Equations Using Logarithms Youtube 1A7 Logarithmic Functions Solve For X This calculator will help you solve logarithmic equations, showing all the steps. To solve the logarithmic functions, it is important to use exponential functions in the given expression. The natural log or ln is the. A logarithmic equation is an equation that involves the. Set the arguments equal to each other, solve the equation and check your answer. How to. Logarithmic Functions Solve For X.
From www.youtube.com
IMPORTANT Solve Logarithmic Equations with Different Bases YouTube Logarithmic Functions Solve For X How to solve logarithmic functions? This calculator will help you solve logarithmic equations, showing all the steps. In order to solve these kinds of equations we will need to remember the exponential form of the logarithm. The basic form of a logarithmic function is y = f (x) = log b x (0 < b ≠ 1), which is the. Logarithmic Functions Solve For X.
From www.youtube.com
Solving Logarithmic Equations YouTube Logarithmic Functions Solve For X The basic form of a logarithmic function is y = f (x) = log b x (0 < b ≠ 1), which is the inverse of the exponential function b y = x. The natural log or ln is the. To solve the logarithmic functions, it is important to use exponential functions in the given expression. In order to solve. Logarithmic Functions Solve For X.
From www.youtube.com
Logarithmic Equations YouTube Logarithmic Functions Solve For X How to solve logarithmic functions? This calculator will help you solve logarithmic equations, showing all the steps. The natural log or ln is the. How to evaluate simple logarithmic functions and solve logarithmic functions, what are logarithmic functions, how to solve for x in logarithmic. Set the arguments equal to each other, solve the equation and check your answer. In. Logarithmic Functions Solve For X.
From www.math-exercises.com
Math Exercises & Math Problems Logarithmic Equations and Inequalities Logarithmic Functions Solve For X This calculator will help you solve logarithmic equations, showing all the steps. The basic form of a logarithmic function is y = f (x) = log b x (0 < b ≠ 1), which is the inverse of the exponential function b y = x. The natural log or ln is the. Set the arguments equal to each other, solve. Logarithmic Functions Solve For X.