A Kite Has Diagonals 5.8 Ft And 6Ft . to calculate the area of the kite with diagonals measuring 5.8 and 6 feet, we use the formula for the area of a kite: click here 👆 to get an answer to your question ️ a kite has diagonals of 5.8 ft and 6 ft. What is the area of the kite? Answer by lydia · jun 11, 2021. 1 the area of a kite is given by the formula area = (1/2) *. a kite has diagonals of \(5.8 ft\) and \(6 ft\). ² 17.4 f t ². The area of the kite is 5.8 ft and 6 ft. What is the area of the kite? \(17.4 ft ^ { 2 }\) \(33.64 ft ^ { 2 }\). the kite area calculator finds the area of a kite if you enter diagonals or two sides and the angle between them. The area of a kite is equal to one x 2 times as much as where divan and the two.
from ceaaikdk.blob.core.windows.net
click here 👆 to get an answer to your question ️ a kite has diagonals of 5.8 ft and 6 ft. The area of the kite is 5.8 ft and 6 ft. \(17.4 ft ^ { 2 }\) \(33.64 ft ^ { 2 }\). ² 17.4 f t ². What is the area of the kite? a kite has diagonals of \(5.8 ft\) and \(6 ft\). to calculate the area of the kite with diagonals measuring 5.8 and 6 feet, we use the formula for the area of a kite: Answer by lydia · jun 11, 2021. The area of a kite is equal to one x 2 times as much as where divan and the two. the kite area calculator finds the area of a kite if you enter diagonals or two sides and the angle between them.
Kite Word Has Diagonals Wr And Od at Minnie Wedge blog
A Kite Has Diagonals 5.8 Ft And 6Ft ² 17.4 f t ². a kite has diagonals of \(5.8 ft\) and \(6 ft\). The area of a kite is equal to one x 2 times as much as where divan and the two. \(17.4 ft ^ { 2 }\) \(33.64 ft ^ { 2 }\). Answer by lydia · jun 11, 2021. the kite area calculator finds the area of a kite if you enter diagonals or two sides and the angle between them. The area of the kite is 5.8 ft and 6 ft. 1 the area of a kite is given by the formula area = (1/2) *. click here 👆 to get an answer to your question ️ a kite has diagonals of 5.8 ft and 6 ft. What is the area of the kite? What is the area of the kite? to calculate the area of the kite with diagonals measuring 5.8 and 6 feet, we use the formula for the area of a kite: ² 17.4 f t ².
From www.varsitytutors.com
How to find the length of the diagonal of a kite ACT Math A Kite Has Diagonals 5.8 Ft And 6Ft the kite area calculator finds the area of a kite if you enter diagonals or two sides and the angle between them. \(17.4 ft ^ { 2 }\) \(33.64 ft ^ { 2 }\). The area of the kite is 5.8 ft and 6 ft. ² 17.4 f t ². click here 👆 to get an answer to. A Kite Has Diagonals 5.8 Ft And 6Ft.
From quizlet.com
Sketch two noncongruent kites such that the diagonals of one Quizlet A Kite Has Diagonals 5.8 Ft And 6Ft a kite has diagonals of \(5.8 ft\) and \(6 ft\). Answer by lydia · jun 11, 2021. the kite area calculator finds the area of a kite if you enter diagonals or two sides and the angle between them. 1 the area of a kite is given by the formula area = (1/2) *. \(17.4 ft ^ {. A Kite Has Diagonals 5.8 Ft And 6Ft.
From www.cuemath.com
Properties of kite Definition of Kite with Solved Examples Cuemath A Kite Has Diagonals 5.8 Ft And 6Ft \(17.4 ft ^ { 2 }\) \(33.64 ft ^ { 2 }\). What is the area of the kite? a kite has diagonals of \(5.8 ft\) and \(6 ft\). to calculate the area of the kite with diagonals measuring 5.8 and 6 feet, we use the formula for the area of a kite: click here 👆 to. A Kite Has Diagonals 5.8 Ft And 6Ft.
From www.gauthmath.com
Solved NOTTO SCALE ABCD is a kite. The diagonals AC and BD intersect A Kite Has Diagonals 5.8 Ft And 6Ft \(17.4 ft ^ { 2 }\) \(33.64 ft ^ { 2 }\). What is the area of the kite? a kite has diagonals of \(5.8 ft\) and \(6 ft\). 1 the area of a kite is given by the formula area = (1/2) *. What is the area of the kite? ² 17.4 f t ². click here. A Kite Has Diagonals 5.8 Ft And 6Ft.
From www.ck12.org
Kite Properties CK12 Foundation A Kite Has Diagonals 5.8 Ft And 6Ft The area of the kite is 5.8 ft and 6 ft. 1 the area of a kite is given by the formula area = (1/2) *. a kite has diagonals of \(5.8 ft\) and \(6 ft\). to calculate the area of the kite with diagonals measuring 5.8 and 6 feet, we use the formula for the area of. A Kite Has Diagonals 5.8 Ft And 6Ft.
From www.numerade.com
SOLVED 'Kites have diagonals that are perpendicular True False' A Kite Has Diagonals 5.8 Ft And 6Ft \(17.4 ft ^ { 2 }\) \(33.64 ft ^ { 2 }\). The area of the kite is 5.8 ft and 6 ft. a kite has diagonals of \(5.8 ft\) and \(6 ft\). What is the area of the kite? the kite area calculator finds the area of a kite if you enter diagonals or two sides and. A Kite Has Diagonals 5.8 Ft And 6Ft.
From www.geogebra.org
Exploring Quadrilaterals GeoGebra A Kite Has Diagonals 5.8 Ft And 6Ft What is the area of the kite? the kite area calculator finds the area of a kite if you enter diagonals or two sides and the angle between them. ² 17.4 f t ². 1 the area of a kite is given by the formula area = (1/2) *. What is the area of the kite? a kite. A Kite Has Diagonals 5.8 Ft And 6Ft.
From ideilorjljlessonlearning.z14.web.core.windows.net
Area And Perimeter Of Kite Worksheet A Kite Has Diagonals 5.8 Ft And 6Ft 1 the area of a kite is given by the formula area = (1/2) *. the kite area calculator finds the area of a kite if you enter diagonals or two sides and the angle between them. to calculate the area of the kite with diagonals measuring 5.8 and 6 feet, we use the formula for the area. A Kite Has Diagonals 5.8 Ft And 6Ft.
From slideplayer.com
6.5 Trapezoids and Kites Geometry Ms. Reser. ppt download A Kite Has Diagonals 5.8 Ft And 6Ft \(17.4 ft ^ { 2 }\) \(33.64 ft ^ { 2 }\). click here 👆 to get an answer to your question ️ a kite has diagonals of 5.8 ft and 6 ft. Answer by lydia · jun 11, 2021. 1 the area of a kite is given by the formula area = (1/2) *. The area of the. A Kite Has Diagonals 5.8 Ft And 6Ft.
From cevuakki.blob.core.windows.net
Kite Geometry Examples at Billy Lee blog A Kite Has Diagonals 5.8 Ft And 6Ft to calculate the area of the kite with diagonals measuring 5.8 and 6 feet, we use the formula for the area of a kite: click here 👆 to get an answer to your question ️ a kite has diagonals of 5.8 ft and 6 ft. The area of the kite is 5.8 ft and 6 ft. a. A Kite Has Diagonals 5.8 Ft And 6Ft.
From www.varsitytutors.com
How to find the length of the diagonal of a kite Advanced Geometry A Kite Has Diagonals 5.8 Ft And 6Ft a kite has diagonals of \(5.8 ft\) and \(6 ft\). 1 the area of a kite is given by the formula area = (1/2) *. ² 17.4 f t ². to calculate the area of the kite with diagonals measuring 5.8 and 6 feet, we use the formula for the area of a kite: \(17.4 ft ^ {. A Kite Has Diagonals 5.8 Ft And 6Ft.
From www.youtube.com
Prove Diagonals of a Kite are Perpendicular YouTube A Kite Has Diagonals 5.8 Ft And 6Ft What is the area of the kite? Answer by lydia · jun 11, 2021. a kite has diagonals of \(5.8 ft\) and \(6 ft\). the kite area calculator finds the area of a kite if you enter diagonals or two sides and the angle between them. to calculate the area of the kite with diagonals measuring 5.8. A Kite Has Diagonals 5.8 Ft And 6Ft.
From www.numerade.com
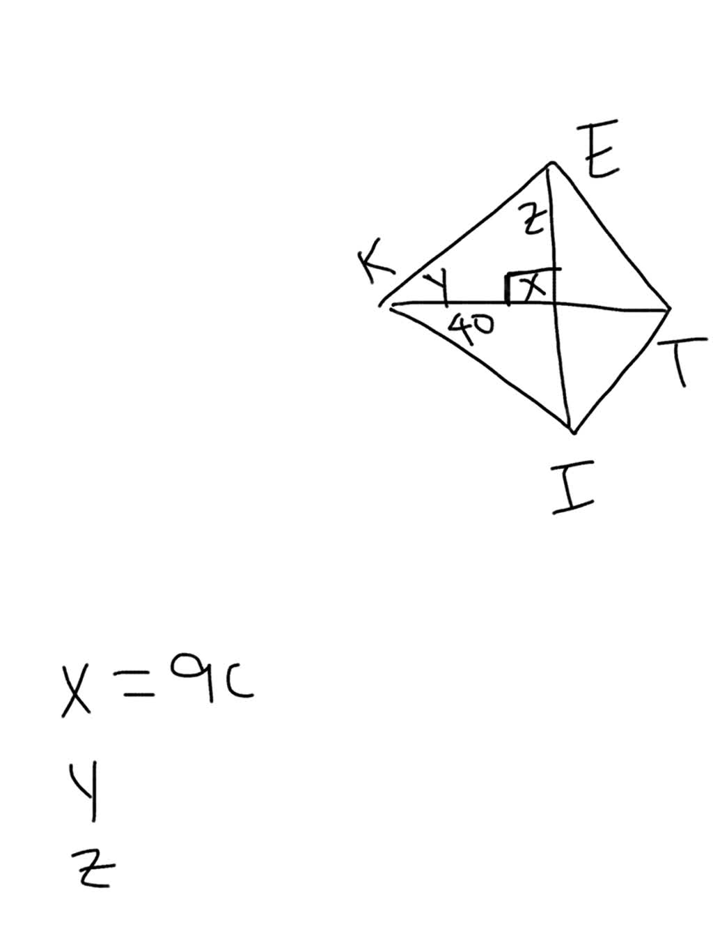
SOLVED Quadrilateral KITE is a Kite Find the numerical values of x Y A Kite Has Diagonals 5.8 Ft And 6Ft click here 👆 to get an answer to your question ️ a kite has diagonals of 5.8 ft and 6 ft. a kite has diagonals of \(5.8 ft\) and \(6 ft\). What is the area of the kite? Answer by lydia · jun 11, 2021. to calculate the area of the kite with diagonals measuring 5.8 and. A Kite Has Diagonals 5.8 Ft And 6Ft.
From ceaaikdk.blob.core.windows.net
Kite Word Has Diagonals Wr And Od at Minnie Wedge blog A Kite Has Diagonals 5.8 Ft And 6Ft What is the area of the kite? Answer by lydia · jun 11, 2021. \(17.4 ft ^ { 2 }\) \(33.64 ft ^ { 2 }\). 1 the area of a kite is given by the formula area = (1/2) *. to calculate the area of the kite with diagonals measuring 5.8 and 6 feet, we use the formula. A Kite Has Diagonals 5.8 Ft And 6Ft.
From www.ck12.org
Kites ( Read ) Geometry CK12 Foundation A Kite Has Diagonals 5.8 Ft And 6Ft the kite area calculator finds the area of a kite if you enter diagonals or two sides and the angle between them. The area of the kite is 5.8 ft and 6 ft. to calculate the area of the kite with diagonals measuring 5.8 and 6 feet, we use the formula for the area of a kite: . A Kite Has Diagonals 5.8 Ft And 6Ft.
From www.bartleby.com
Answered 19. A kite has diagonals 6.2 and 8 ft.… bartleby A Kite Has Diagonals 5.8 Ft And 6Ft 1 the area of a kite is given by the formula area = (1/2) *. \(17.4 ft ^ { 2 }\) \(33.64 ft ^ { 2 }\). click here 👆 to get an answer to your question ️ a kite has diagonals of 5.8 ft and 6 ft. What is the area of the kite? ² 17.4 f t. A Kite Has Diagonals 5.8 Ft And 6Ft.
From www.chegg.com
Solved pg where the kite has diagonals p 2 1. Write a clear A Kite Has Diagonals 5.8 Ft And 6Ft What is the area of the kite? Answer by lydia · jun 11, 2021. \(17.4 ft ^ { 2 }\) \(33.64 ft ^ { 2 }\). 1 the area of a kite is given by the formula area = (1/2) *. What is the area of the kite? to calculate the area of the kite with diagonals measuring 5.8. A Kite Has Diagonals 5.8 Ft And 6Ft.
From www.splashlearn.com
Properties of a Kite Definition, Diagonals, Examples, Facts A Kite Has Diagonals 5.8 Ft And 6Ft The area of a kite is equal to one x 2 times as much as where divan and the two. Answer by lydia · jun 11, 2021. the kite area calculator finds the area of a kite if you enter diagonals or two sides and the angle between them. ² 17.4 f t ². \(17.4 ft ^ { 2. A Kite Has Diagonals 5.8 Ft And 6Ft.
From www.splashlearn.com
Properties of a Kite Definition, Diagonals, Examples, Facts A Kite Has Diagonals 5.8 Ft And 6Ft 1 the area of a kite is given by the formula area = (1/2) *. \(17.4 ft ^ { 2 }\) \(33.64 ft ^ { 2 }\). Answer by lydia · jun 11, 2021. the kite area calculator finds the area of a kite if you enter diagonals or two sides and the angle between them. What is the. A Kite Has Diagonals 5.8 Ft And 6Ft.
From quizlet.com
Explain how to construct a kite, given its diagonals. Quizlet A Kite Has Diagonals 5.8 Ft And 6Ft to calculate the area of the kite with diagonals measuring 5.8 and 6 feet, we use the formula for the area of a kite: 1 the area of a kite is given by the formula area = (1/2) *. What is the area of the kite? the kite area calculator finds the area of a kite if you. A Kite Has Diagonals 5.8 Ft And 6Ft.
From www.gauthmath.com
A kite has perpendicular diagonals with the measur Gauthmath A Kite Has Diagonals 5.8 Ft And 6Ft \(17.4 ft ^ { 2 }\) \(33.64 ft ^ { 2 }\). to calculate the area of the kite with diagonals measuring 5.8 and 6 feet, we use the formula for the area of a kite: The area of a kite is equal to one x 2 times as much as where divan and the two. a kite. A Kite Has Diagonals 5.8 Ft And 6Ft.
From www.gauthmath.com
Solved Given [KITE is a kite. Point O is the intersection of A Kite Has Diagonals 5.8 Ft And 6Ft a kite has diagonals of \(5.8 ft\) and \(6 ft\). What is the area of the kite? \(17.4 ft ^ { 2 }\) \(33.64 ft ^ { 2 }\). The area of the kite is 5.8 ft and 6 ft. ² 17.4 f t ². Answer by lydia · jun 11, 2021. What is the area of the kite?. A Kite Has Diagonals 5.8 Ft And 6Ft.
From circuitdiagramhits.z21.web.core.windows.net
How Many Sides Does A Kite Have A Kite Has Diagonals 5.8 Ft And 6Ft click here 👆 to get an answer to your question ️ a kite has diagonals of 5.8 ft and 6 ft. ² 17.4 f t ². Answer by lydia · jun 11, 2021. the kite area calculator finds the area of a kite if you enter diagonals or two sides and the angle between them. 1 the area. A Kite Has Diagonals 5.8 Ft And 6Ft.
From brainly.in
In the adjoining figure, PQRS is a kite such that its diagonals A Kite Has Diagonals 5.8 Ft And 6Ft \(17.4 ft ^ { 2 }\) \(33.64 ft ^ { 2 }\). a kite has diagonals of \(5.8 ft\) and \(6 ft\). The area of a kite is equal to one x 2 times as much as where divan and the two. What is the area of the kite? Answer by lydia · jun 11, 2021. click here. A Kite Has Diagonals 5.8 Ft And 6Ft.
From www.geeksforgeeks.org
Program to calculate the area of Kite A Kite Has Diagonals 5.8 Ft And 6Ft The area of the kite is 5.8 ft and 6 ft. a kite has diagonals of \(5.8 ft\) and \(6 ft\). 1 the area of a kite is given by the formula area = (1/2) *. What is the area of the kite? click here 👆 to get an answer to your question ️ a kite has diagonals. A Kite Has Diagonals 5.8 Ft And 6Ft.
From slideplayer.com
What are Kites? ppt download A Kite Has Diagonals 5.8 Ft And 6Ft What is the area of the kite? to calculate the area of the kite with diagonals measuring 5.8 and 6 feet, we use the formula for the area of a kite: The area of the kite is 5.8 ft and 6 ft. ² 17.4 f t ². the kite area calculator finds the area of a kite if. A Kite Has Diagonals 5.8 Ft And 6Ft.
From www.youtube.com
How To Work Out The Area Of A Kite By Multiplying The Diagonal Lengths A Kite Has Diagonals 5.8 Ft And 6Ft the kite area calculator finds the area of a kite if you enter diagonals or two sides and the angle between them. to calculate the area of the kite with diagonals measuring 5.8 and 6 feet, we use the formula for the area of a kite: \(17.4 ft ^ { 2 }\) \(33.64 ft ^ { 2 }\).. A Kite Has Diagonals 5.8 Ft And 6Ft.
From www.youtube.com
Proof The diagonals of a kite are perpendicular YouTube A Kite Has Diagonals 5.8 Ft And 6Ft Answer by lydia · jun 11, 2021. The area of a kite is equal to one x 2 times as much as where divan and the two. What is the area of the kite? 1 the area of a kite is given by the formula area = (1/2) *. What is the area of the kite? click here 👆. A Kite Has Diagonals 5.8 Ft And 6Ft.
From slideplayer.com
66 Trapezoids & Kites The student will be able to ppt download A Kite Has Diagonals 5.8 Ft And 6Ft What is the area of the kite? \(17.4 ft ^ { 2 }\) \(33.64 ft ^ { 2 }\). What is the area of the kite? Answer by lydia · jun 11, 2021. The area of the kite is 5.8 ft and 6 ft. ² 17.4 f t ². the kite area calculator finds the area of a kite. A Kite Has Diagonals 5.8 Ft And 6Ft.
From www.cuemath.com
Properties of a Kite Angles in a Kite, Kite Diagonals Kite Shape A Kite Has Diagonals 5.8 Ft And 6Ft the kite area calculator finds the area of a kite if you enter diagonals or two sides and the angle between them. The area of the kite is 5.8 ft and 6 ft. Answer by lydia · jun 11, 2021. ² 17.4 f t ². \(17.4 ft ^ { 2 }\) \(33.64 ft ^ { 2 }\). What is. A Kite Has Diagonals 5.8 Ft And 6Ft.
From www.showme.com
Kites Sides and diagonals Math ShowMe A Kite Has Diagonals 5.8 Ft And 6Ft The area of a kite is equal to one x 2 times as much as where divan and the two. a kite has diagonals of \(5.8 ft\) and \(6 ft\). \(17.4 ft ^ { 2 }\) \(33.64 ft ^ { 2 }\). 1 the area of a kite is given by the formula area = (1/2) *. The area. A Kite Has Diagonals 5.8 Ft And 6Ft.
From www.slideserve.com
PPT 5.3 Kites and Trapezoids PowerPoint Presentation, free download A Kite Has Diagonals 5.8 Ft And 6Ft The area of the kite is 5.8 ft and 6 ft. a kite has diagonals of \(5.8 ft\) and \(6 ft\). Answer by lydia · jun 11, 2021. What is the area of the kite? What is the area of the kite? click here 👆 to get an answer to your question ️ a kite has diagonals of. A Kite Has Diagonals 5.8 Ft And 6Ft.
From slideplayer.com
Objective To verify and use properties of trapezoids and kites. ppt A Kite Has Diagonals 5.8 Ft And 6Ft the kite area calculator finds the area of a kite if you enter diagonals or two sides and the angle between them. click here 👆 to get an answer to your question ️ a kite has diagonals of 5.8 ft and 6 ft. What is the area of the kite? ² 17.4 f t ². The area of. A Kite Has Diagonals 5.8 Ft And 6Ft.
From quizlet.com
Prove that the diagonals of a kite are perpendicular to each Quizlet A Kite Has Diagonals 5.8 Ft And 6Ft to calculate the area of the kite with diagonals measuring 5.8 and 6 feet, we use the formula for the area of a kite: 1 the area of a kite is given by the formula area = (1/2) *. a kite has diagonals of \(5.8 ft\) and \(6 ft\). \(17.4 ft ^ { 2 }\) \(33.64 ft ^. A Kite Has Diagonals 5.8 Ft And 6Ft.
From www.geogebra.org
Diagonals of Kite Animation GeoGebra A Kite Has Diagonals 5.8 Ft And 6Ft \(17.4 ft ^ { 2 }\) \(33.64 ft ^ { 2 }\). 1 the area of a kite is given by the formula area = (1/2) *. to calculate the area of the kite with diagonals measuring 5.8 and 6 feet, we use the formula for the area of a kite: click here 👆 to get an answer. A Kite Has Diagonals 5.8 Ft And 6Ft.