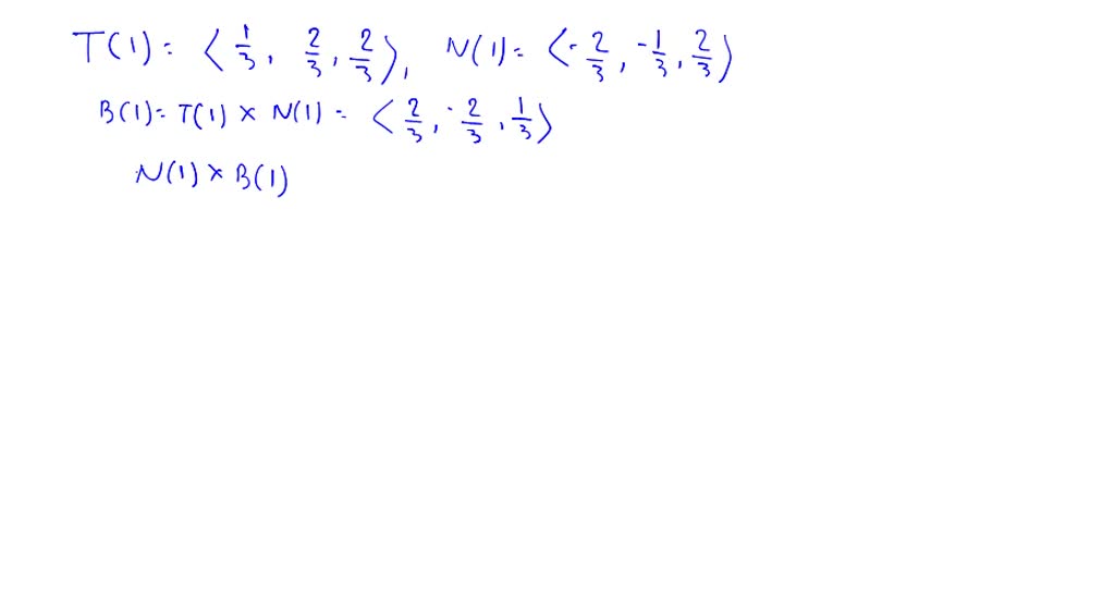
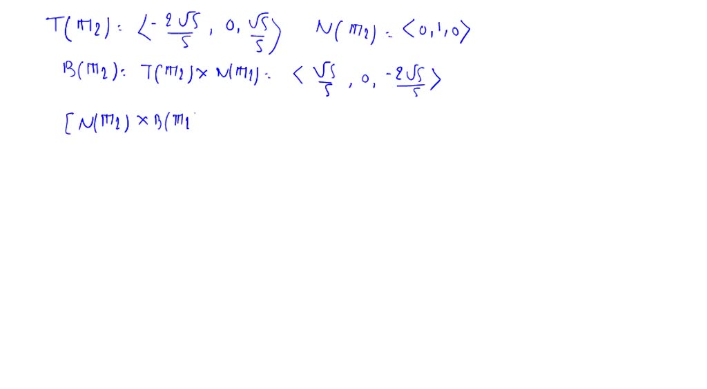
Rectifying Plane Def . T(0) and b(0) the normal. The osculating plane at α(0) is the plane spanned by t(0) and n(0) the rectifying plane is the plane spanned by. The plane defined by normal and binormal vectors is called the normal plane and the plane defined by binormal and tangent vectors is called the. The line passing through f(s) in the direction of b(s) is called the binormal line, and the plane spanned by the b(s) and t(s) is called the. The plane spanned by the tangent vector and binormal vector.
        
        from www.cuemath.com 
     
        
        The osculating plane at α(0) is the plane spanned by t(0) and n(0) the rectifying plane is the plane spanned by. The line passing through f(s) in the direction of b(s) is called the binormal line, and the plane spanned by the b(s) and t(s) is called the. T(0) and b(0) the normal. The plane defined by normal and binormal vectors is called the normal plane and the plane defined by binormal and tangent vectors is called the. The plane spanned by the tangent vector and binormal vector.
    
    	
            
	
		 
         
    Plane definition in Math Definition, Examples, Identifying Planes 
    Rectifying Plane Def  The line passing through f(s) in the direction of b(s) is called the binormal line, and the plane spanned by the b(s) and t(s) is called the. The osculating plane at α(0) is the plane spanned by t(0) and n(0) the rectifying plane is the plane spanned by. The plane spanned by the tangent vector and binormal vector. T(0) and b(0) the normal. The plane defined by normal and binormal vectors is called the normal plane and the plane defined by binormal and tangent vectors is called the. The line passing through f(s) in the direction of b(s) is called the binormal line, and the plane spanned by the b(s) and t(s) is called the.
            
	
		 
         
 
    
        From www.slideserve.com 
                    PPT Geometric Modeling 91.580.201 PowerPoint Presentation, free Rectifying Plane Def  The line passing through f(s) in the direction of b(s) is called the binormal line, and the plane spanned by the b(s) and t(s) is called the. The plane spanned by the tangent vector and binormal vector. The plane defined by normal and binormal vectors is called the normal plane and the plane defined by binormal and tangent vectors is. Rectifying Plane Def.
     
    
        From www.youtube.com 
                    Normal plane RectiFying plane Osculating plane Curve in Space Rectifying Plane Def  T(0) and b(0) the normal. The line passing through f(s) in the direction of b(s) is called the binormal line, and the plane spanned by the b(s) and t(s) is called the. The osculating plane at α(0) is the plane spanned by t(0) and n(0) the rectifying plane is the plane spanned by. The plane defined by normal and binormal. Rectifying Plane Def.
     
    
        From www.kristakingmath.com 
                    Finding the equations of the normal and osculating planes — Krista King Rectifying Plane Def  The osculating plane at α(0) is the plane spanned by t(0) and n(0) the rectifying plane is the plane spanned by. The plane spanned by the tangent vector and binormal vector. T(0) and b(0) the normal. The line passing through f(s) in the direction of b(s) is called the binormal line, and the plane spanned by the b(s) and t(s). Rectifying Plane Def.
     
    
        From www.media4math.com 
                    Definition of a Plane Media4Math Rectifying Plane Def  The plane defined by normal and binormal vectors is called the normal plane and the plane defined by binormal and tangent vectors is called the. The line passing through f(s) in the direction of b(s) is called the binormal line, and the plane spanned by the b(s) and t(s) is called the. The osculating plane at α(0) is the plane. Rectifying Plane Def.
     
    
        From testbook.com 
                    Equation of a Plane Definition, Equation with Solved Examples Rectifying Plane Def  The line passing through f(s) in the direction of b(s) is called the binormal line, and the plane spanned by the b(s) and t(s) is called the. The osculating plane at α(0) is the plane spanned by t(0) and n(0) the rectifying plane is the plane spanned by. The plane spanned by the tangent vector and binormal vector. T(0) and. Rectifying Plane Def.
     
    
        From www.youtube.com 
                    Normal, Osculating, and Rectifying Planes YouTube Rectifying Plane Def  The line passing through f(s) in the direction of b(s) is called the binormal line, and the plane spanned by the b(s) and t(s) is called the. The plane spanned by the tangent vector and binormal vector. The osculating plane at α(0) is the plane spanned by t(0) and n(0) the rectifying plane is the plane spanned by. The plane. Rectifying Plane Def.
     
    
        From www.numerade.com 
                    ⏩SOLVEDThe rectifying plane of a curve at a point is the plane that Rectifying Plane Def  The plane spanned by the tangent vector and binormal vector. The plane defined by normal and binormal vectors is called the normal plane and the plane defined by binormal and tangent vectors is called the. T(0) and b(0) the normal. The line passing through f(s) in the direction of b(s) is called the binormal line, and the plane spanned by. Rectifying Plane Def.
     
    
        From www.researchgate.net 
                    A developable strip is made up of straight generators in the rectifying Rectifying Plane Def  The plane defined by normal and binormal vectors is called the normal plane and the plane defined by binormal and tangent vectors is called the. The plane spanned by the tangent vector and binormal vector. The osculating plane at α(0) is the plane spanned by t(0) and n(0) the rectifying plane is the plane spanned by. T(0) and b(0) the. Rectifying Plane Def.
     
    
        From www.youtube.com 
                    Lecture2 Osculating Plane Normal Plane Rectifying Plane YouTube Rectifying Plane Def  The plane defined by normal and binormal vectors is called the normal plane and the plane defined by binormal and tangent vectors is called the. The osculating plane at α(0) is the plane spanned by t(0) and n(0) the rectifying plane is the plane spanned by. The line passing through f(s) in the direction of b(s) is called the binormal. Rectifying Plane Def.
     
    
        From www.cuemath.com 
                    Plane definition in Math Definition, Examples, Identifying Planes Rectifying Plane Def  T(0) and b(0) the normal. The plane defined by normal and binormal vectors is called the normal plane and the plane defined by binormal and tangent vectors is called the. The osculating plane at α(0) is the plane spanned by t(0) and n(0) the rectifying plane is the plane spanned by. The plane spanned by the tangent vector and binormal. Rectifying Plane Def.
     
    
        From www.cuemath.com 
                    Plane definition in Math Definition, Examples, Identifying Planes Rectifying Plane Def  The plane defined by normal and binormal vectors is called the normal plane and the plane defined by binormal and tangent vectors is called the. T(0) and b(0) the normal. The line passing through f(s) in the direction of b(s) is called the binormal line, and the plane spanned by the b(s) and t(s) is called the. The osculating plane. Rectifying Plane Def.
     
    
        From www.numerade.com 
                    SOLVEDUsing the definitions of the normal plane and rectifying plane Rectifying Plane Def  T(0) and b(0) the normal. The plane defined by normal and binormal vectors is called the normal plane and the plane defined by binormal and tangent vectors is called the. The osculating plane at α(0) is the plane spanned by t(0) and n(0) the rectifying plane is the plane spanned by. The plane spanned by the tangent vector and binormal. Rectifying Plane Def.
     
    
        From www.youtube.com 
                    Math 114 13.5 Normal, Rectifying, and Osculating Planes The Plug Rectifying Plane Def  T(0) and b(0) the normal. The osculating plane at α(0) is the plane spanned by t(0) and n(0) the rectifying plane is the plane spanned by. The plane defined by normal and binormal vectors is called the normal plane and the plane defined by binormal and tangent vectors is called the. The line passing through f(s) in the direction of. Rectifying Plane Def.
     
    
        From www.youtube.com 
                    Normal plane,OSCULATING plane,Rectifying plane,Normal Vector,Tangent Rectifying Plane Def  The plane defined by normal and binormal vectors is called the normal plane and the plane defined by binormal and tangent vectors is called the. The osculating plane at α(0) is the plane spanned by t(0) and n(0) the rectifying plane is the plane spanned by. The plane spanned by the tangent vector and binormal vector. The line passing through. Rectifying Plane Def.
     
    
        From www.techscience.com 
                    Curve Couples in Three Dimensional Lie Groups Rectifying Plane Def  The osculating plane at α(0) is the plane spanned by t(0) and n(0) the rectifying plane is the plane spanned by. The plane defined by normal and binormal vectors is called the normal plane and the plane defined by binormal and tangent vectors is called the. The line passing through f(s) in the direction of b(s) is called the binormal. Rectifying Plane Def.
     
    
        From www.researchgate.net 
                    Moving trihedron. Plane O is the osculating plane, plane R is the Rectifying Plane Def  The plane defined by normal and binormal vectors is called the normal plane and the plane defined by binormal and tangent vectors is called the. The osculating plane at α(0) is the plane spanned by t(0) and n(0) the rectifying plane is the plane spanned by. The line passing through f(s) in the direction of b(s) is called the binormal. Rectifying Plane Def.
     
    
        From www.youtube.com 
                    Differential Geometry ( osculating plane /Normal plane / Rectifying Rectifying Plane Def  The osculating plane at α(0) is the plane spanned by t(0) and n(0) the rectifying plane is the plane spanned by. The plane spanned by the tangent vector and binormal vector. T(0) and b(0) the normal. The line passing through f(s) in the direction of b(s) is called the binormal line, and the plane spanned by the b(s) and t(s). Rectifying Plane Def.
     
    
        From www.researchgate.net 
                    Rectifying circuit (a) circuit configuration and (b) photo of the Rectifying Plane Def  The plane spanned by the tangent vector and binormal vector. The osculating plane at α(0) is the plane spanned by t(0) and n(0) the rectifying plane is the plane spanned by. The plane defined by normal and binormal vectors is called the normal plane and the plane defined by binormal and tangent vectors is called the. The line passing through. Rectifying Plane Def.
     
    
        From www.youtube.com 
                    Rectifying, Normal and osculating plane Definition Complementary Rectifying Plane Def  The osculating plane at α(0) is the plane spanned by t(0) and n(0) the rectifying plane is the plane spanned by. The plane spanned by the tangent vector and binormal vector. T(0) and b(0) the normal. The plane defined by normal and binormal vectors is called the normal plane and the plane defined by binormal and tangent vectors is called. Rectifying Plane Def.
     
    
        From www.youtube.com 
                    Osculating plane, Rectifying plane, normal plane Differential Rectifying Plane Def  The line passing through f(s) in the direction of b(s) is called the binormal line, and the plane spanned by the b(s) and t(s) is called the. The osculating plane at α(0) is the plane spanned by t(0) and n(0) the rectifying plane is the plane spanned by. The plane spanned by the tangent vector and binormal vector. The plane. Rectifying Plane Def.
     
    
        From www.youtube.com 
                    ATMH Unit 8 Example Finding Osculating, Normal, and Rectifying Rectifying Plane Def  The line passing through f(s) in the direction of b(s) is called the binormal line, and the plane spanned by the b(s) and t(s) is called the. T(0) and b(0) the normal. The osculating plane at α(0) is the plane spanned by t(0) and n(0) the rectifying plane is the plane spanned by. The plane defined by normal and binormal. Rectifying Plane Def.
     
    
        From www.slideserve.com 
                    PPT Surface modeling through geodesic PowerPoint Presentation, free Rectifying Plane Def  The osculating plane at α(0) is the plane spanned by t(0) and n(0) the rectifying plane is the plane spanned by. The plane spanned by the tangent vector and binormal vector. T(0) and b(0) the normal. The line passing through f(s) in the direction of b(s) is called the binormal line, and the plane spanned by the b(s) and t(s). Rectifying Plane Def.
     
    
        From www.numerade.com 
                    SOLVEDFind equations in vector and rectangular form for the (a Rectifying Plane Def  The plane defined by normal and binormal vectors is called the normal plane and the plane defined by binormal and tangent vectors is called the. T(0) and b(0) the normal. The plane spanned by the tangent vector and binormal vector. The osculating plane at α(0) is the plane spanned by t(0) and n(0) the rectifying plane is the plane spanned. Rectifying Plane Def.
     
    
        From www.numerade.com 
                    SOLVEDUsing the definitions of the normal plane and rectifying plane Rectifying Plane Def  T(0) and b(0) the normal. The plane defined by normal and binormal vectors is called the normal plane and the plane defined by binormal and tangent vectors is called the. The line passing through f(s) in the direction of b(s) is called the binormal line, and the plane spanned by the b(s) and t(s) is called the. The plane spanned. Rectifying Plane Def.
     
    
        From www.researchgate.net 
                    A developable strip is made up of straight generators in the rectifying Rectifying Plane Def  T(0) and b(0) the normal. The line passing through f(s) in the direction of b(s) is called the binormal line, and the plane spanned by the b(s) and t(s) is called the. The plane defined by normal and binormal vectors is called the normal plane and the plane defined by binormal and tangent vectors is called the. The plane spanned. Rectifying Plane Def.
     
    
        From www.youtube.com 
                    4 1 What is Rectification YouTube Rectifying Plane Def  The plane defined by normal and binormal vectors is called the normal plane and the plane defined by binormal and tangent vectors is called the. The line passing through f(s) in the direction of b(s) is called the binormal line, and the plane spanned by the b(s) and t(s) is called the. The osculating plane at α(0) is the plane. Rectifying Plane Def.
     
    
        From www.youtube.com 
                    Principal Normal, Binormal, Rectifying ,Osculating, Normal plane  Rectifying Plane Def  The line passing through f(s) in the direction of b(s) is called the binormal line, and the plane spanned by the b(s) and t(s) is called the. T(0) and b(0) the normal. The osculating plane at α(0) is the plane spanned by t(0) and n(0) the rectifying plane is the plane spanned by. The plane defined by normal and binormal. Rectifying Plane Def.
     
    
        From testbook.com 
                    Equation of a Plane Definition, Equation with Solved Examples Rectifying Plane Def  The osculating plane at α(0) is the plane spanned by t(0) and n(0) the rectifying plane is the plane spanned by. The line passing through f(s) in the direction of b(s) is called the binormal line, and the plane spanned by the b(s) and t(s) is called the. The plane spanned by the tangent vector and binormal vector. T(0) and. Rectifying Plane Def.
     
    
        From www.youtube.com 
                    Normal plane , Rectifying plane, osculating plane principal normal Rectifying Plane Def  T(0) and b(0) the normal. The line passing through f(s) in the direction of b(s) is called the binormal line, and the plane spanned by the b(s) and t(s) is called the. The plane spanned by the tangent vector and binormal vector. The osculating plane at α(0) is the plane spanned by t(0) and n(0) the rectifying plane is the. Rectifying Plane Def.
     
    
        From www.numerade.com 
                    ⏩SOLVEDThe rectifying plane of a curve at a point is the plane that Rectifying Plane Def  The line passing through f(s) in the direction of b(s) is called the binormal line, and the plane spanned by the b(s) and t(s) is called the. The plane defined by normal and binormal vectors is called the normal plane and the plane defined by binormal and tangent vectors is called the. The osculating plane at α(0) is the plane. Rectifying Plane Def.
     
    
        From www.numerade.com 
                    ⏩SOLVEDUsing the definitions of the normal plane and rectifying Rectifying Plane Def  The osculating plane at α(0) is the plane spanned by t(0) and n(0) the rectifying plane is the plane spanned by. T(0) and b(0) the normal. The plane spanned by the tangent vector and binormal vector. The line passing through f(s) in the direction of b(s) is called the binormal line, and the plane spanned by the b(s) and t(s). Rectifying Plane Def.
     
    
        From www.researchgate.net 
                    (PDF) Coherent fieldcontrolled rectification and directional emission Rectifying Plane Def  The line passing through f(s) in the direction of b(s) is called the binormal line, and the plane spanned by the b(s) and t(s) is called the. The osculating plane at α(0) is the plane spanned by t(0) and n(0) the rectifying plane is the plane spanned by. The plane defined by normal and binormal vectors is called the normal. Rectifying Plane Def.
     
    
        From resources.wolframcloud.com 
                    RectifyingPlane Wolfram Function Repository Rectifying Plane Def  T(0) and b(0) the normal. The plane defined by normal and binormal vectors is called the normal plane and the plane defined by binormal and tangent vectors is called the. The line passing through f(s) in the direction of b(s) is called the binormal line, and the plane spanned by the b(s) and t(s) is called the. The plane spanned. Rectifying Plane Def.
     
    
        From www.omp-usinage.fr 
                    Rectification plane OMP Usinage Rectifying Plane Def  The line passing through f(s) in the direction of b(s) is called the binormal line, and the plane spanned by the b(s) and t(s) is called the. T(0) and b(0) the normal. The plane defined by normal and binormal vectors is called the normal plane and the plane defined by binormal and tangent vectors is called the. The osculating plane. Rectifying Plane Def.
     
    
        From www.youtube.com 
                    How to Find the Equation of a Plane YouTube Rectifying Plane Def  T(0) and b(0) the normal. The plane defined by normal and binormal vectors is called the normal plane and the plane defined by binormal and tangent vectors is called the. The osculating plane at α(0) is the plane spanned by t(0) and n(0) the rectifying plane is the plane spanned by. The plane spanned by the tangent vector and binormal. Rectifying Plane Def.