Doe Classification Marking Guide . The doe marking handbook was developed to assist federal and contractor employees by providing examples of correctly marked matter. The protection of classified matter is of paramount importance in fulfilling security responsibilities in connection with the. This manual provides requirements for managing the department of. Classifier marking must be placed on “first page” of the document, whether the cover page, title page, or first page of text. Protection of classified matter, roles. Markings and designations serve two primary purposes: Alert holders to the presence of classified information.
        
        from www.slideserve.com 
     
        
        Alert holders to the presence of classified information. Classifier marking must be placed on “first page” of the document, whether the cover page, title page, or first page of text. The doe marking handbook was developed to assist federal and contractor employees by providing examples of correctly marked matter. Protection of classified matter, roles. The protection of classified matter is of paramount importance in fulfilling security responsibilities in connection with the. Markings and designations serve two primary purposes: This manual provides requirements for managing the department of.
    
    	
            
	
		 
         
    PPT Initial Security Briefing PowerPoint Presentation, free download 
    Doe Classification Marking Guide  Markings and designations serve two primary purposes: Markings and designations serve two primary purposes: The protection of classified matter is of paramount importance in fulfilling security responsibilities in connection with the. Classifier marking must be placed on “first page” of the document, whether the cover page, title page, or first page of text. The doe marking handbook was developed to assist federal and contractor employees by providing examples of correctly marked matter. Alert holders to the presence of classified information. This manual provides requirements for managing the department of. Protection of classified matter, roles.
            
	
		 
         
 
    
        From www.slideshare.net 
                    Dod marking guide Doe Classification Marking Guide  This manual provides requirements for managing the department of. Protection of classified matter, roles. Classifier marking must be placed on “first page” of the document, whether the cover page, title page, or first page of text. The doe marking handbook was developed to assist federal and contractor employees by providing examples of correctly marked matter. The protection of classified matter. Doe Classification Marking Guide.
     
    
        From publicintelligence.net 
                    Defense Security Service Guide to Marking Classified Information Doe Classification Marking Guide  This manual provides requirements for managing the department of. Alert holders to the presence of classified information. Protection of classified matter, roles. The protection of classified matter is of paramount importance in fulfilling security responsibilities in connection with the. Classifier marking must be placed on “first page” of the document, whether the cover page, title page, or first page of. Doe Classification Marking Guide.
     
    
        From www.totem.tech 
                    How to Mark Controlled Unclassified Information (CUI) Doe Classification Marking Guide  This manual provides requirements for managing the department of. Markings and designations serve two primary purposes: The protection of classified matter is of paramount importance in fulfilling security responsibilities in connection with the. Classifier marking must be placed on “first page” of the document, whether the cover page, title page, or first page of text. Protection of classified matter, roles.. Doe Classification Marking Guide.
     
    
        From www.scribd.com 
                    Doe Standard Guide To Good Practices For Operations and Administration Doe Classification Marking Guide  The doe marking handbook was developed to assist federal and contractor employees by providing examples of correctly marked matter. Classifier marking must be placed on “first page” of the document, whether the cover page, title page, or first page of text. This manual provides requirements for managing the department of. The protection of classified matter is of paramount importance in. Doe Classification Marking Guide.
     
    
        From www.shiproadrunnerfreight.com 
                    NMFC Classes Explained — Roadrunner Freight Doe Classification Marking Guide  The doe marking handbook was developed to assist federal and contractor employees by providing examples of correctly marked matter. Protection of classified matter, roles. Classifier marking must be placed on “first page” of the document, whether the cover page, title page, or first page of text. The protection of classified matter is of paramount importance in fulfilling security responsibilities in. Doe Classification Marking Guide.
     
    
        From www.dla.mil 
                    DLA Intelligence publishes new controlled unclassified information Doe Classification Marking Guide  This manual provides requirements for managing the department of. The doe marking handbook was developed to assist federal and contractor employees by providing examples of correctly marked matter. Protection of classified matter, roles. The protection of classified matter is of paramount importance in fulfilling security responsibilities in connection with the. Alert holders to the presence of classified information. Markings and. Doe Classification Marking Guide.
     
    
        From cmmcinfo.org 
                    DoD Publishes CUI Quick Reference Guide and Updated CUI Training Slides Doe Classification Marking Guide  The doe marking handbook was developed to assist federal and contractor employees by providing examples of correctly marked matter. The protection of classified matter is of paramount importance in fulfilling security responsibilities in connection with the. This manual provides requirements for managing the department of. Protection of classified matter, roles. Markings and designations serve two primary purposes: Alert holders to. Doe Classification Marking Guide.
     
    
        From www.slideserve.com 
                    PPT The [AACE] Estimate Classification System Applied to the DOE CD Doe Classification Marking Guide  Classifier marking must be placed on “first page” of the document, whether the cover page, title page, or first page of text. The protection of classified matter is of paramount importance in fulfilling security responsibilities in connection with the. This manual provides requirements for managing the department of. The doe marking handbook was developed to assist federal and contractor employees. Doe Classification Marking Guide.
     
    
        From techgenix.com 
                    How to Create and Implement a Data Classification Policy Doe Classification Marking Guide  The doe marking handbook was developed to assist federal and contractor employees by providing examples of correctly marked matter. The protection of classified matter is of paramount importance in fulfilling security responsibilities in connection with the. Markings and designations serve two primary purposes: Classifier marking must be placed on “first page” of the document, whether the cover page, title page,. Doe Classification Marking Guide.
     
    
        From ors.od.nih.gov 
                    Position Classifications and Badge Types Doe Classification Marking Guide  Markings and designations serve two primary purposes: The doe marking handbook was developed to assist federal and contractor employees by providing examples of correctly marked matter. This manual provides requirements for managing the department of. The protection of classified matter is of paramount importance in fulfilling security responsibilities in connection with the. Protection of classified matter, roles. Classifier marking must. Doe Classification Marking Guide.
     
    
        From www.walmart.com 
                    Bread For Dough Marking Extractable And Bread Flake Dough Marking Tool Doe Classification Marking Guide  Classifier marking must be placed on “first page” of the document, whether the cover page, title page, or first page of text. Markings and designations serve two primary purposes: The doe marking handbook was developed to assist federal and contractor employees by providing examples of correctly marked matter. The protection of classified matter is of paramount importance in fulfilling security. Doe Classification Marking Guide.
     
    
        From informacionpublica.svet.gob.gt 
                    PPT Marking & Protecting Controlled Unclassified Doe Classification Marking Guide  This manual provides requirements for managing the department of. Alert holders to the presence of classified information. The doe marking handbook was developed to assist federal and contractor employees by providing examples of correctly marked matter. Protection of classified matter, roles. Classifier marking must be placed on “first page” of the document, whether the cover page, title page, or first. Doe Classification Marking Guide.
     
    
        From patsjournal.org 
                    Global initiative for chronic obstructive lung disease 2023 report Doe Classification Marking Guide  Alert holders to the presence of classified information. Protection of classified matter, roles. Markings and designations serve two primary purposes: The protection of classified matter is of paramount importance in fulfilling security responsibilities in connection with the. The doe marking handbook was developed to assist federal and contractor employees by providing examples of correctly marked matter. Classifier marking must be. Doe Classification Marking Guide.
     
    
        From publicintelligence.net 
                    (U//FOUO) Director of National Intelligence Classification Markings Doe Classification Marking Guide  Alert holders to the presence of classified information. Classifier marking must be placed on “first page” of the document, whether the cover page, title page, or first page of text. The doe marking handbook was developed to assist federal and contractor employees by providing examples of correctly marked matter. The protection of classified matter is of paramount importance in fulfilling. Doe Classification Marking Guide.
     
    
        From orientacionfamiliar.grupobolivar.com 
                    Printable Light's Retention Scale Scoring Rubric Printable Word Searches Doe Classification Marking Guide  This manual provides requirements for managing the department of. The protection of classified matter is of paramount importance in fulfilling security responsibilities in connection with the. Classifier marking must be placed on “first page” of the document, whether the cover page, title page, or first page of text. Markings and designations serve two primary purposes: The doe marking handbook was. Doe Classification Marking Guide.
     
    
        From www.studocu.com 
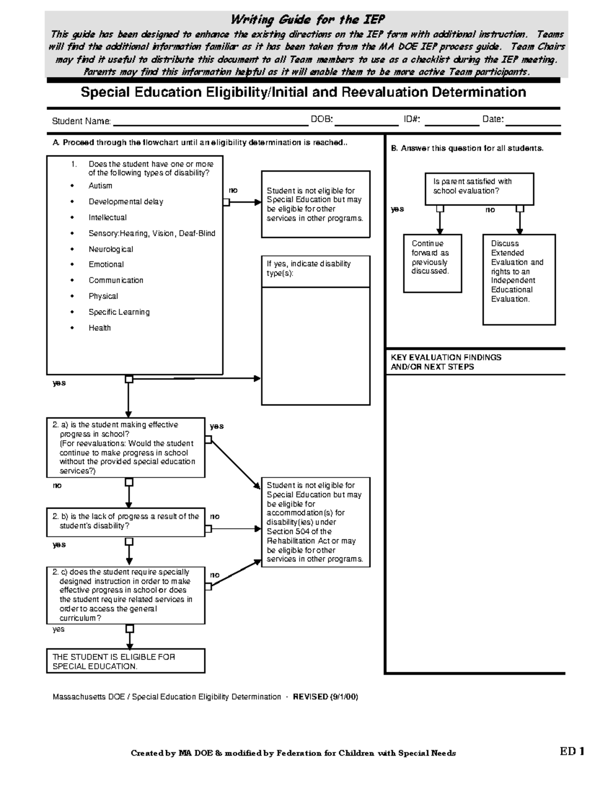
                    Iep writing guide from doe and federation of children Writing Guide Doe Classification Marking Guide  The doe marking handbook was developed to assist federal and contractor employees by providing examples of correctly marked matter. Classifier marking must be placed on “first page” of the document, whether the cover page, title page, or first page of text. This manual provides requirements for managing the department of. Alert holders to the presence of classified information. Protection of. Doe Classification Marking Guide.
     
    
        From www.slideserve.com 
                    PPT THE SECURITY CLASSIFICATION SYSTEM PowerPoint Presentation, free Doe Classification Marking Guide  The doe marking handbook was developed to assist federal and contractor employees by providing examples of correctly marked matter. Alert holders to the presence of classified information. Markings and designations serve two primary purposes: The protection of classified matter is of paramount importance in fulfilling security responsibilities in connection with the. Protection of classified matter, roles. Classifier marking must be. Doe Classification Marking Guide.
     
    
        From www.slideserve.com 
                    PPT HQ Expectations of DOE Site IRBs PowerPoint Presentation, free Doe Classification Marking Guide  The protection of classified matter is of paramount importance in fulfilling security responsibilities in connection with the. The doe marking handbook was developed to assist federal and contractor employees by providing examples of correctly marked matter. Markings and designations serve two primary purposes: Alert holders to the presence of classified information. Classifier marking must be placed on “first page” of. Doe Classification Marking Guide.
     
    
        From www.totem.tech 
                    DoD CUI Identification Guide for DFARS 7012 / CMMC L2 Compliance Doe Classification Marking Guide  This manual provides requirements for managing the department of. The doe marking handbook was developed to assist federal and contractor employees by providing examples of correctly marked matter. Alert holders to the presence of classified information. Markings and designations serve two primary purposes: Protection of classified matter, roles. The protection of classified matter is of paramount importance in fulfilling security. Doe Classification Marking Guide.
     
    
        From www.walmart.com 
                    khvru Spray Outdoor Bread For Dough Marking Extractable And Bread Flake Doe Classification Marking Guide  Alert holders to the presence of classified information. Classifier marking must be placed on “first page” of the document, whether the cover page, title page, or first page of text. This manual provides requirements for managing the department of. Protection of classified matter, roles. The doe marking handbook was developed to assist federal and contractor employees by providing examples of. Doe Classification Marking Guide.
     
    
        From www.slideserve.com 
                    PPT Initial Security Briefing PowerPoint Presentation, free download Doe Classification Marking Guide  Alert holders to the presence of classified information. Markings and designations serve two primary purposes: Protection of classified matter, roles. This manual provides requirements for managing the department of. The protection of classified matter is of paramount importance in fulfilling security responsibilities in connection with the. Classifier marking must be placed on “first page” of the document, whether the cover. Doe Classification Marking Guide.
     
    
        From www.slideserve.com 
                    PPT Initial Security Briefing PowerPoint Presentation, free download Doe Classification Marking Guide  Classifier marking must be placed on “first page” of the document, whether the cover page, title page, or first page of text. Protection of classified matter, roles. The protection of classified matter is of paramount importance in fulfilling security responsibilities in connection with the. Alert holders to the presence of classified information. This manual provides requirements for managing the department. Doe Classification Marking Guide.
     
    
        From carpet.vidalondon.net 
                    5s Floor Marking Color Reference Guide Carpet Vidalondon Doe Classification Marking Guide  The doe marking handbook was developed to assist federal and contractor employees by providing examples of correctly marked matter. Protection of classified matter, roles. Alert holders to the presence of classified information. The protection of classified matter is of paramount importance in fulfilling security responsibilities in connection with the. Markings and designations serve two primary purposes: This manual provides requirements. Doe Classification Marking Guide.
     
    
        From www.scribd.com 
                    Doe Writer's Guide For Technical Procedures DoeStd102992 PDF Doe Classification Marking Guide  Classifier marking must be placed on “first page” of the document, whether the cover page, title page, or first page of text. Alert holders to the presence of classified information. The protection of classified matter is of paramount importance in fulfilling security responsibilities in connection with the. This manual provides requirements for managing the department of. Markings and designations serve. Doe Classification Marking Guide.
     
    
        From www.totem.tech 
                    How to Mark Controlled Unclassified Information (CUI) Doe Classification Marking Guide  This manual provides requirements for managing the department of. The protection of classified matter is of paramount importance in fulfilling security responsibilities in connection with the. Alert holders to the presence of classified information. The doe marking handbook was developed to assist federal and contractor employees by providing examples of correctly marked matter. Markings and designations serve two primary purposes:. Doe Classification Marking Guide.
     
    
        From www.researchgate.net 
                    DOE Climate Zone Map Download Scientific Diagram Doe Classification Marking Guide  The doe marking handbook was developed to assist federal and contractor employees by providing examples of correctly marked matter. The protection of classified matter is of paramount importance in fulfilling security responsibilities in connection with the. Alert holders to the presence of classified information. Protection of classified matter, roles. Markings and designations serve two primary purposes: Classifier marking must be. Doe Classification Marking Guide.
     
    
        From digital.library.unt.edu 
                    Toxic chemical hazard classification and risk acceptance guidelines for Doe Classification Marking Guide  The protection of classified matter is of paramount importance in fulfilling security responsibilities in connection with the. Protection of classified matter, roles. Alert holders to the presence of classified information. Classifier marking must be placed on “first page” of the document, whether the cover page, title page, or first page of text. Markings and designations serve two primary purposes: This. Doe Classification Marking Guide.
     
    
        From www.slideserve.com 
                    PPT Security Classification System Overview Classified Information Doe Classification Marking Guide  Markings and designations serve two primary purposes: The protection of classified matter is of paramount importance in fulfilling security responsibilities in connection with the. Classifier marking must be placed on “first page” of the document, whether the cover page, title page, or first page of text. The doe marking handbook was developed to assist federal and contractor employees by providing. Doe Classification Marking Guide.
     
    
        From www.researchgate.net 
                    Truck classifications by gross vehicle weight. Download Scientific Doe Classification Marking Guide  Protection of classified matter, roles. Markings and designations serve two primary purposes: The protection of classified matter is of paramount importance in fulfilling security responsibilities in connection with the. This manual provides requirements for managing the department of. The doe marking handbook was developed to assist federal and contractor employees by providing examples of correctly marked matter. Classifier marking must. Doe Classification Marking Guide.
     
    
        From www.secondfront.com 
                    Understanding DoD Cloud Computing Impact Levels Doe Classification Marking Guide  This manual provides requirements for managing the department of. Markings and designations serve two primary purposes: Alert holders to the presence of classified information. The protection of classified matter is of paramount importance in fulfilling security responsibilities in connection with the. Protection of classified matter, roles. Classifier marking must be placed on “first page” of the document, whether the cover. Doe Classification Marking Guide.
     
    
        From adamfitzgerald911.wordpress.com 
                    Department Of Defense Guide To Marking Classified Documents (April 1997 Doe Classification Marking Guide  Alert holders to the presence of classified information. Classifier marking must be placed on “first page” of the document, whether the cover page, title page, or first page of text. Protection of classified matter, roles. The doe marking handbook was developed to assist federal and contractor employees by providing examples of correctly marked matter. The protection of classified matter is. Doe Classification Marking Guide.
     
    
        From template.mapadapalavra.ba.gov.br 
                    Cui Ssp Template Doe Classification Marking Guide  The doe marking handbook was developed to assist federal and contractor employees by providing examples of correctly marked matter. Classifier marking must be placed on “first page” of the document, whether the cover page, title page, or first page of text. Protection of classified matter, roles. Markings and designations serve two primary purposes: This manual provides requirements for managing the. Doe Classification Marking Guide.
     
    
        From www.slideserve.com 
                    PPT The [AACE] Estimate Classification System Applied to the DOE CD Doe Classification Marking Guide  Alert holders to the presence of classified information. This manual provides requirements for managing the department of. Protection of classified matter, roles. The protection of classified matter is of paramount importance in fulfilling security responsibilities in connection with the. The doe marking handbook was developed to assist federal and contractor employees by providing examples of correctly marked matter. Markings and. Doe Classification Marking Guide.
     
    
        From www.sofeast.com 
                    What Are TRL (Technology Readiness Levels)? Sofeast Doe Classification Marking Guide  Alert holders to the presence of classified information. Protection of classified matter, roles. Classifier marking must be placed on “first page” of the document, whether the cover page, title page, or first page of text. The protection of classified matter is of paramount importance in fulfilling security responsibilities in connection with the. Markings and designations serve two primary purposes: The. Doe Classification Marking Guide.
     
    
        From www.studocu.com 
                    Physical Sciences P2 Grade 10 Nov 2018 Memo Afr & Eng MARKS/ PUNTE Doe Classification Marking Guide  The doe marking handbook was developed to assist federal and contractor employees by providing examples of correctly marked matter. Protection of classified matter, roles. The protection of classified matter is of paramount importance in fulfilling security responsibilities in connection with the. Classifier marking must be placed on “first page” of the document, whether the cover page, title page, or first. Doe Classification Marking Guide.