A 1000Kg Car Is Pulling A 300 Kg Trailer Together . together the car and trailer move forward with an acceleration of $2.15 \mathrm{m} / \mathrm{s}^{2}.$ ignore. a 1,000kg car is pulling a 300kg trailer. To determine the net force on. Together, the car and trailer move forward with an acceleration of 2.15 m/s 2. neglecting frictional forces on the trailer, determine (a) the net force on the car, (b) the net force on the trailer, (c) the magnitude. given that the mass (m) of the car and the trailer combined is 1000 kg (car) + 300 kg (trailer) = 1300 kg and the. The force exerted by the car is given by $f = ma$,. the car is moving with an acceleration of $2.15 \, m/s^2$ and it is pulling a trailer of mass $300 \, kg$. Together, the car and trailer have an acceleration of $2.15 \mathrm{~m} /. Choose the + x direction to be horizontal and forward with the + y vertical and upward. The net force on a trailer is equal to its weight, which is 2940 n.
from quizlet.com
a 1,000kg car is pulling a 300kg trailer. The net force on a trailer is equal to its weight, which is 2940 n. neglecting frictional forces on the trailer, determine (a) the net force on the car, (b) the net force on the trailer, (c) the magnitude. together the car and trailer move forward with an acceleration of $2.15 \mathrm{m} / \mathrm{s}^{2}.$ ignore. the car is moving with an acceleration of $2.15 \, m/s^2$ and it is pulling a trailer of mass $300 \, kg$. Choose the + x direction to be horizontal and forward with the + y vertical and upward. Together, the car and trailer have an acceleration of $2.15 \mathrm{~m} /. Together, the car and trailer move forward with an acceleration of 2.15 m/s 2. given that the mass (m) of the car and the trailer combined is 1000 kg (car) + 300 kg (trailer) = 1300 kg and the. To determine the net force on.
A 1 000kg car is pulling a 300kg trailer. Together, the ca Quizlet
A 1000Kg Car Is Pulling A 300 Kg Trailer Together the car is moving with an acceleration of $2.15 \, m/s^2$ and it is pulling a trailer of mass $300 \, kg$. Together, the car and trailer have an acceleration of $2.15 \mathrm{~m} /. The force exerted by the car is given by $f = ma$,. given that the mass (m) of the car and the trailer combined is 1000 kg (car) + 300 kg (trailer) = 1300 kg and the. Choose the + x direction to be horizontal and forward with the + y vertical and upward. a 1,000kg car is pulling a 300kg trailer. together the car and trailer move forward with an acceleration of $2.15 \mathrm{m} / \mathrm{s}^{2}.$ ignore. The net force on a trailer is equal to its weight, which is 2940 n. To determine the net force on. the car is moving with an acceleration of $2.15 \, m/s^2$ and it is pulling a trailer of mass $300 \, kg$. Together, the car and trailer move forward with an acceleration of 2.15 m/s 2. neglecting frictional forces on the trailer, determine (a) the net force on the car, (b) the net force on the trailer, (c) the magnitude.
From www.numerade.com
SOLVED A 1500kg car is pulling a 350kg trailer. Together the car and A 1000Kg Car Is Pulling A 300 Kg Trailer Together Choose the + x direction to be horizontal and forward with the + y vertical and upward. To determine the net force on. Together, the car and trailer move forward with an acceleration of 2.15 m/s 2. a 1,000kg car is pulling a 300kg trailer. The force exerted by the car is given by $f = ma$,. neglecting. A 1000Kg Car Is Pulling A 300 Kg Trailer Together.
From www.chegg.com
Solved A 1000−kg truck is pulling a 300−kg trailer. A 1000Kg Car Is Pulling A 300 Kg Trailer Together Choose the + x direction to be horizontal and forward with the + y vertical and upward. To determine the net force on. Together, the car and trailer have an acceleration of $2.15 \mathrm{~m} /. given that the mass (m) of the car and the trailer combined is 1000 kg (car) + 300 kg (trailer) = 1300 kg and. A 1000Kg Car Is Pulling A 300 Kg Trailer Together.
From www.bartleby.com
A 1 000kg car is pulling a 300kg trailer. Together, the car and A 1000Kg Car Is Pulling A 300 Kg Trailer Together To determine the net force on. given that the mass (m) of the car and the trailer combined is 1000 kg (car) + 300 kg (trailer) = 1300 kg and the. neglecting frictional forces on the trailer, determine (a) the net force on the car, (b) the net force on the trailer, (c) the magnitude. a 1,000kg. A 1000Kg Car Is Pulling A 300 Kg Trailer Together.
From www.fastmelbournetowing.com.au
Car & Caravan Towing Capacity (and Weights) Explained A 1000Kg Car Is Pulling A 300 Kg Trailer Together together the car and trailer move forward with an acceleration of $2.15 \mathrm{m} / \mathrm{s}^{2}.$ ignore. To determine the net force on. Together, the car and trailer have an acceleration of $2.15 \mathrm{~m} /. neglecting frictional forces on the trailer, determine (a) the net force on the car, (b) the net force on the trailer, (c) the magnitude.. A 1000Kg Car Is Pulling A 300 Kg Trailer Together.
From www.crossroadstrailers.com
Can My Car Haul that Trailer? How to Choose the Right Trailer for your A 1000Kg Car Is Pulling A 300 Kg Trailer Together neglecting frictional forces on the trailer, determine (a) the net force on the car, (b) the net force on the trailer, (c) the magnitude. The net force on a trailer is equal to its weight, which is 2940 n. The force exerted by the car is given by $f = ma$,. Together, the car and trailer move forward with. A 1000Kg Car Is Pulling A 300 Kg Trailer Together.
From www.chegg.com
Solved A 1000−kg truck is pulling a 300kg trailer. A 1000Kg Car Is Pulling A 300 Kg Trailer Together given that the mass (m) of the car and the trailer combined is 1000 kg (car) + 300 kg (trailer) = 1300 kg and the. together the car and trailer move forward with an acceleration of $2.15 \mathrm{m} / \mathrm{s}^{2}.$ ignore. To determine the net force on. the car is moving with an acceleration of $2.15 \,. A 1000Kg Car Is Pulling A 300 Kg Trailer Together.
From www.numerade.com
SOLVEDA 1000kg car is pulling a 300kg trailer. Together, the car and A 1000Kg Car Is Pulling A 300 Kg Trailer Together the car is moving with an acceleration of $2.15 \, m/s^2$ and it is pulling a trailer of mass $300 \, kg$. The force exerted by the car is given by $f = ma$,. To determine the net force on. Together, the car and trailer move forward with an acceleration of 2.15 m/s 2. a 1,000kg car is. A 1000Kg Car Is Pulling A 300 Kg Trailer Together.
From www.numerade.com
SOLVED Q3) A truck is pulling a 300 kg log (large branch of a tree A 1000Kg Car Is Pulling A 300 Kg Trailer Together The net force on a trailer is equal to its weight, which is 2940 n. given that the mass (m) of the car and the trailer combined is 1000 kg (car) + 300 kg (trailer) = 1300 kg and the. Choose the + x direction to be horizontal and forward with the + y vertical and upward. Together, the. A 1000Kg Car Is Pulling A 300 Kg Trailer Together.
From www.motorpoint.co.uk
10 of the best cars for towing caravans in 2024 Motorpoint A 1000Kg Car Is Pulling A 300 Kg Trailer Together Together, the car and trailer have an acceleration of $2.15 \mathrm{~m} /. a 1,000kg car is pulling a 300kg trailer. neglecting frictional forces on the trailer, determine (a) the net force on the car, (b) the net force on the trailer, (c) the magnitude. together the car and trailer move forward with an acceleration of $2.15 \mathrm{m}. A 1000Kg Car Is Pulling A 300 Kg Trailer Together.
From www.numerade.com
SOLVED A 1 000kg car is pulling a 300kg trailer. Together, the car A 1000Kg Car Is Pulling A 300 Kg Trailer Together To determine the net force on. given that the mass (m) of the car and the trailer combined is 1000 kg (car) + 300 kg (trailer) = 1300 kg and the. the car is moving with an acceleration of $2.15 \, m/s^2$ and it is pulling a trailer of mass $300 \, kg$. Together, the car and trailer. A 1000Kg Car Is Pulling A 300 Kg Trailer Together.
From www.chegg.com
Solved A 1000−kg truck is pulling a 300−kg trailer. A 1000Kg Car Is Pulling A 300 Kg Trailer Together neglecting frictional forces on the trailer, determine (a) the net force on the car, (b) the net force on the trailer, (c) the magnitude. a 1,000kg car is pulling a 300kg trailer. To determine the net force on. Together, the car and trailer move forward with an acceleration of 2.15 m/s 2. the car is moving with. A 1000Kg Car Is Pulling A 300 Kg Trailer Together.
From www.coursehero.com
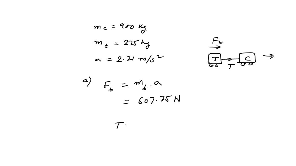
[Solved] A 900 kg car is pulling a 275 kg trailer. Together, the car A 1000Kg Car Is Pulling A 300 Kg Trailer Together neglecting frictional forces on the trailer, determine (a) the net force on the car, (b) the net force on the trailer, (c) the magnitude. Choose the + x direction to be horizontal and forward with the + y vertical and upward. Together, the car and trailer move forward with an acceleration of 2.15 m/s 2. the car is. A 1000Kg Car Is Pulling A 300 Kg Trailer Together.
From quizlet.com
A 1 000kg car is pulling a 300kg trailer. Together, the ca Quizlet A 1000Kg Car Is Pulling A 300 Kg Trailer Together given that the mass (m) of the car and the trailer combined is 1000 kg (car) + 300 kg (trailer) = 1300 kg and the. the car is moving with an acceleration of $2.15 \, m/s^2$ and it is pulling a trailer of mass $300 \, kg$. Together, the car and trailer have an acceleration of $2.15 \mathrm{~m}. A 1000Kg Car Is Pulling A 300 Kg Trailer Together.
From www.chegg.com
Solved 1. A 1000−kg car is pulling a 300−kg trailer. A 1000Kg Car Is Pulling A 300 Kg Trailer Together Together, the car and trailer move forward with an acceleration of 2.15 m/s 2. To determine the net force on. Choose the + x direction to be horizontal and forward with the + y vertical and upward. a 1,000kg car is pulling a 300kg trailer. neglecting frictional forces on the trailer, determine (a) the net force on the. A 1000Kg Car Is Pulling A 300 Kg Trailer Together.
From www.youtube.com
Dynamics Car Towing a Trailer Friction Example for Year 11 Physics A 1000Kg Car Is Pulling A 300 Kg Trailer Together the car is moving with an acceleration of $2.15 \, m/s^2$ and it is pulling a trailer of mass $300 \, kg$. given that the mass (m) of the car and the trailer combined is 1000 kg (car) + 300 kg (trailer) = 1300 kg and the. The force exerted by the car is given by $f =. A 1000Kg Car Is Pulling A 300 Kg Trailer Together.
From www.chegg.com
Solved A 1310.7 kg car is pulling a 337.6 kg trailer. A 1000Kg Car Is Pulling A 300 Kg Trailer Together Together, the car and trailer move forward with an acceleration of 2.15 m/s 2. together the car and trailer move forward with an acceleration of $2.15 \mathrm{m} / \mathrm{s}^{2}.$ ignore. a 1,000kg car is pulling a 300kg trailer. Choose the + x direction to be horizontal and forward with the + y vertical and upward. To determine the. A 1000Kg Car Is Pulling A 300 Kg Trailer Together.
From www.numerade.com
SOLVED A 900 kg car is pulling a 275 kg trailer. Together, the car and A 1000Kg Car Is Pulling A 300 Kg Trailer Together neglecting frictional forces on the trailer, determine (a) the net force on the car, (b) the net force on the trailer, (c) the magnitude. given that the mass (m) of the car and the trailer combined is 1000 kg (car) + 300 kg (trailer) = 1300 kg and the. The force exerted by the car is given by. A 1000Kg Car Is Pulling A 300 Kg Trailer Together.
From www.chegg.com
Solved A truck is pulling a trailer (mass 1000 kg) down the A 1000Kg Car Is Pulling A 300 Kg Trailer Together the car is moving with an acceleration of $2.15 \, m/s^2$ and it is pulling a trailer of mass $300 \, kg$. Together, the car and trailer move forward with an acceleration of 2.15 m/s 2. The net force on a trailer is equal to its weight, which is 2940 n. together the car and trailer move forward. A 1000Kg Car Is Pulling A 300 Kg Trailer Together.
From www.numerade.com
SOLVED A car is pulling a trailer at a constant velocity of 60 km/hr A 1000Kg Car Is Pulling A 300 Kg Trailer Together Together, the car and trailer move forward with an acceleration of 2.15 m/s 2. the car is moving with an acceleration of $2.15 \, m/s^2$ and it is pulling a trailer of mass $300 \, kg$. Together, the car and trailer have an acceleration of $2.15 \mathrm{~m} /. Choose the + x direction to be horizontal and forward with. A 1000Kg Car Is Pulling A 300 Kg Trailer Together.
From blog.goodsam.com
Get the ultimate RV towing guide for 2018 — Trailer Life's Guide to Towing. A 1000Kg Car Is Pulling A 300 Kg Trailer Together The force exerted by the car is given by $f = ma$,. given that the mass (m) of the car and the trailer combined is 1000 kg (car) + 300 kg (trailer) = 1300 kg and the. Together, the car and trailer move forward with an acceleration of 2.15 m/s 2. together the car and trailer move forward. A 1000Kg Car Is Pulling A 300 Kg Trailer Together.
From www.chegg.com
Solved A 1180 kg car pulls a 300 kg trailer. The car exerts A 1000Kg Car Is Pulling A 300 Kg Trailer Together the car is moving with an acceleration of $2.15 \, m/s^2$ and it is pulling a trailer of mass $300 \, kg$. To determine the net force on. The force exerted by the car is given by $f = ma$,. The net force on a trailer is equal to its weight, which is 2940 n. together the car. A 1000Kg Car Is Pulling A 300 Kg Trailer Together.
From www.youtube.com
Heavy Lifting Trolley 1000kg SC1000SE YouTube A 1000Kg Car Is Pulling A 300 Kg Trailer Together The force exerted by the car is given by $f = ma$,. Together, the car and trailer move forward with an acceleration of 2.15 m/s 2. To determine the net force on. together the car and trailer move forward with an acceleration of $2.15 \mathrm{m} / \mathrm{s}^{2}.$ ignore. given that the mass (m) of the car and the. A 1000Kg Car Is Pulling A 300 Kg Trailer Together.
From www.pdffiller.com
Fillable Online A 1000kg car is pulling a 300kg trailer Fax Email A 1000Kg Car Is Pulling A 300 Kg Trailer Together a 1,000kg car is pulling a 300kg trailer. The net force on a trailer is equal to its weight, which is 2940 n. neglecting frictional forces on the trailer, determine (a) the net force on the car, (b) the net force on the trailer, (c) the magnitude. Together, the car and trailer have an acceleration of $2.15 \mathrm{~m}. A 1000Kg Car Is Pulling A 300 Kg Trailer Together.
From www.youtube.com
5.29 Mastering Physics Solution"A 1000 kg car traveling at a speed of A 1000Kg Car Is Pulling A 300 Kg Trailer Together The net force on a trailer is equal to its weight, which is 2940 n. To determine the net force on. Together, the car and trailer move forward with an acceleration of 2.15 m/s 2. together the car and trailer move forward with an acceleration of $2.15 \mathrm{m} / \mathrm{s}^{2}.$ ignore. a 1,000kg car is pulling a 300kg. A 1000Kg Car Is Pulling A 300 Kg Trailer Together.
From cartowdolly.com
How to Tow a Car Behind an RV Car Tow Dolly A 1000Kg Car Is Pulling A 300 Kg Trailer Together neglecting frictional forces on the trailer, determine (a) the net force on the car, (b) the net force on the trailer, (c) the magnitude. Choose the + x direction to be horizontal and forward with the + y vertical and upward. the car is moving with an acceleration of $2.15 \, m/s^2$ and it is pulling a trailer. A 1000Kg Car Is Pulling A 300 Kg Trailer Together.
From www.numerade.com
A 900 kg car is pulling a 275 kg trailer. Together, the car and trailer A 1000Kg Car Is Pulling A 300 Kg Trailer Together neglecting frictional forces on the trailer, determine (a) the net force on the car, (b) the net force on the trailer, (c) the magnitude. Together, the car and trailer move forward with an acceleration of 2.15 m/s 2. The force exerted by the car is given by $f = ma$,. given that the mass (m) of the car. A 1000Kg Car Is Pulling A 300 Kg Trailer Together.
From onmogul.com
5 Smart and Easy Tips for Towing a Trailer Mogul A 1000Kg Car Is Pulling A 300 Kg Trailer Together The net force on a trailer is equal to its weight, which is 2940 n. together the car and trailer move forward with an acceleration of $2.15 \mathrm{m} / \mathrm{s}^{2}.$ ignore. Together, the car and trailer have an acceleration of $2.15 \mathrm{~m} /. Choose the + x direction to be horizontal and forward with the + y vertical and. A 1000Kg Car Is Pulling A 300 Kg Trailer Together.
From solvedlib.com
9_ Atow truck (mass 1500 kg pulls a car (mass 1000 kg… SolvedLib A 1000Kg Car Is Pulling A 300 Kg Trailer Together Choose the + x direction to be horizontal and forward with the + y vertical and upward. given that the mass (m) of the car and the trailer combined is 1000 kg (car) + 300 kg (trailer) = 1300 kg and the. the car is moving with an acceleration of $2.15 \, m/s^2$ and it is pulling a. A 1000Kg Car Is Pulling A 300 Kg Trailer Together.
From circuitmanualkohler.z19.web.core.windows.net
Force Diagram Accelerating Car A 1000Kg Car Is Pulling A 300 Kg Trailer Together neglecting frictional forces on the trailer, determine (a) the net force on the car, (b) the net force on the trailer, (c) the magnitude. the car is moving with an acceleration of $2.15 \, m/s^2$ and it is pulling a trailer of mass $300 \, kg$. Together, the car and trailer have an acceleration of $2.15 \mathrm{~m} /.. A 1000Kg Car Is Pulling A 300 Kg Trailer Together.
From www.vrogue.co
Solved Fig 4 Below Shows A Car Of Mass 1000 Kg Towing vrogue.co A 1000Kg Car Is Pulling A 300 Kg Trailer Together The force exerted by the car is given by $f = ma$,. Choose the + x direction to be horizontal and forward with the + y vertical and upward. The net force on a trailer is equal to its weight, which is 2940 n. a 1,000kg car is pulling a 300kg trailer. the car is moving with an. A 1000Kg Car Is Pulling A 300 Kg Trailer Together.
From www.youtube.com
6 year old creating a new world record by pulling a 1000kg car YouTube A 1000Kg Car Is Pulling A 300 Kg Trailer Together The net force on a trailer is equal to its weight, which is 2940 n. To determine the net force on. together the car and trailer move forward with an acceleration of $2.15 \mathrm{m} / \mathrm{s}^{2}.$ ignore. The force exerted by the car is given by $f = ma$,. neglecting frictional forces on the trailer, determine (a) the. A 1000Kg Car Is Pulling A 300 Kg Trailer Together.
From www.chegg.com
Solved A 1000−kg truck is pulling a 300−kg trailer. A 1000Kg Car Is Pulling A 300 Kg Trailer Together The net force on a trailer is equal to its weight, which is 2940 n. neglecting frictional forces on the trailer, determine (a) the net force on the car, (b) the net force on the trailer, (c) the magnitude. The force exerted by the car is given by $f = ma$,. Choose the + x direction to be horizontal. A 1000Kg Car Is Pulling A 300 Kg Trailer Together.
From socratic.org
A 1000kg car, travelling east at 30.0m/s, collides with a 3000kg truck A 1000Kg Car Is Pulling A 300 Kg Trailer Together a 1,000kg car is pulling a 300kg trailer. together the car and trailer move forward with an acceleration of $2.15 \mathrm{m} / \mathrm{s}^{2}.$ ignore. Together, the car and trailer have an acceleration of $2.15 \mathrm{~m} /. the car is moving with an acceleration of $2.15 \, m/s^2$ and it is pulling a trailer of mass $300 \,. A 1000Kg Car Is Pulling A 300 Kg Trailer Together.
From www.vrogue.co
Solved Fig 4 Below Shows A Car Of Mass 1000 Kg Towing vrogue.co A 1000Kg Car Is Pulling A 300 Kg Trailer Together To determine the net force on. together the car and trailer move forward with an acceleration of $2.15 \mathrm{m} / \mathrm{s}^{2}.$ ignore. given that the mass (m) of the car and the trailer combined is 1000 kg (car) + 300 kg (trailer) = 1300 kg and the. Choose the + x direction to be horizontal and forward with. A 1000Kg Car Is Pulling A 300 Kg Trailer Together.
From www.numerade.com
SOLVED A 900 kg car is pulling a 275 kg trailer. Together, the car and A 1000Kg Car Is Pulling A 300 Kg Trailer Together neglecting frictional forces on the trailer, determine (a) the net force on the car, (b) the net force on the trailer, (c) the magnitude. Together, the car and trailer have an acceleration of $2.15 \mathrm{~m} /. The force exerted by the car is given by $f = ma$,. a 1,000kg car is pulling a 300kg trailer. The net. A 1000Kg Car Is Pulling A 300 Kg Trailer Together.