Accounting+ Trophy Guide . welcome to metagame's accounting+ ps4 trophy guide and walkthrough! — accounting+ 100% achievement guide. — how many accounting+ trophies are there? Find out how to obtain all achievements in accounting+. find out the best tips and tricks for unlocking all the trophies for accounting+ in the most comprehensive trophy guide on the internet. this guide provides a quick overview of the game with a detailed description for every trophy. There are 16 trophies to unlock in accounting+. Follow this guide to find everything you need to earn.
from www.studocu.com
— how many accounting+ trophies are there? find out the best tips and tricks for unlocking all the trophies for accounting+ in the most comprehensive trophy guide on the internet. There are 16 trophies to unlock in accounting+. Follow this guide to find everything you need to earn. welcome to metagame's accounting+ ps4 trophy guide and walkthrough! — accounting+ 100% achievement guide. Find out how to obtain all achievements in accounting+. this guide provides a quick overview of the game with a detailed description for every trophy.
Introduction+to+Accounting+2+Investments Introduction to Accounting 2
Accounting+ Trophy Guide Find out how to obtain all achievements in accounting+. — how many accounting+ trophies are there? — accounting+ 100% achievement guide. find out the best tips and tricks for unlocking all the trophies for accounting+ in the most comprehensive trophy guide on the internet. this guide provides a quick overview of the game with a detailed description for every trophy. Find out how to obtain all achievements in accounting+. There are 16 trophies to unlock in accounting+. welcome to metagame's accounting+ ps4 trophy guide and walkthrough! Follow this guide to find everything you need to earn.
From gamecraves.com
Accounting+ Trickshots DLC Trophy Guide Game Craves Accounting+ Trophy Guide welcome to metagame's accounting+ ps4 trophy guide and walkthrough! find out the best tips and tricks for unlocking all the trophies for accounting+ in the most comprehensive trophy guide on the internet. There are 16 trophies to unlock in accounting+. — accounting+ 100% achievement guide. — how many accounting+ trophies are there? Find out how to. Accounting+ Trophy Guide.
From www.yekbot.com
A Little to the Left Cupboards and Drawers Walkthrough Guide Accounting+ Trophy Guide Follow this guide to find everything you need to earn. welcome to metagame's accounting+ ps4 trophy guide and walkthrough! find out the best tips and tricks for unlocking all the trophies for accounting+ in the most comprehensive trophy guide on the internet. There are 16 trophies to unlock in accounting+. — how many accounting+ trophies are there?. Accounting+ Trophy Guide.
From www.prnewswire.com
Cherry Bekaert Joins Accounting+ to Advance Diversity, Equity, and Accounting+ Trophy Guide There are 16 trophies to unlock in accounting+. Find out how to obtain all achievements in accounting+. Follow this guide to find everything you need to earn. welcome to metagame's accounting+ ps4 trophy guide and walkthrough! find out the best tips and tricks for unlocking all the trophies for accounting+ in the most comprehensive trophy guide on the. Accounting+ Trophy Guide.
From www.reddit.com
[Fall Guys] r/Trophies Accounting+ Trophy Guide Follow this guide to find everything you need to earn. this guide provides a quick overview of the game with a detailed description for every trophy. — accounting+ 100% achievement guide. There are 16 trophies to unlock in accounting+. welcome to metagame's accounting+ ps4 trophy guide and walkthrough! — how many accounting+ trophies are there? . Accounting+ Trophy Guide.
From www.dualshockers.com
Squanch Games Reveals Accounting+ for PlayStation VR at TGA 2017 Accounting+ Trophy Guide welcome to metagame's accounting+ ps4 trophy guide and walkthrough! Find out how to obtain all achievements in accounting+. find out the best tips and tricks for unlocking all the trophies for accounting+ in the most comprehensive trophy guide on the internet. Follow this guide to find everything you need to earn. this guide provides a quick overview. Accounting+ Trophy Guide.
From gamelevate.com
FF7 Rebirth Trophy Guide Accounting+ Trophy Guide — how many accounting+ trophies are there? Follow this guide to find everything you need to earn. Find out how to obtain all achievements in accounting+. this guide provides a quick overview of the game with a detailed description for every trophy. There are 16 trophies to unlock in accounting+. — accounting+ 100% achievement guide. welcome. Accounting+ Trophy Guide.
From www.scribd.com
Chapter+13 +problems +accounting+230 PDF Stocks Treasury Stock Accounting+ Trophy Guide Find out how to obtain all achievements in accounting+. this guide provides a quick overview of the game with a detailed description for every trophy. There are 16 trophies to unlock in accounting+. Follow this guide to find everything you need to earn. — accounting+ 100% achievement guide. welcome to metagame's accounting+ ps4 trophy guide and walkthrough!. Accounting+ Trophy Guide.
From platprices.com
Gabbuchi Trophy Guides and PSN Price History Accounting+ Trophy Guide There are 16 trophies to unlock in accounting+. Find out how to obtain all achievements in accounting+. — how many accounting+ trophies are there? Follow this guide to find everything you need to earn. find out the best tips and tricks for unlocking all the trophies for accounting+ in the most comprehensive trophy guide on the internet. . Accounting+ Trophy Guide.
From mp1st.com
Accounting PSVR Revealed, Coming This Year to PS VR Accounting+ Trophy Guide welcome to metagame's accounting+ ps4 trophy guide and walkthrough! There are 16 trophies to unlock in accounting+. this guide provides a quick overview of the game with a detailed description for every trophy. Follow this guide to find everything you need to earn. find out the best tips and tricks for unlocking all the trophies for accounting+. Accounting+ Trophy Guide.
From www.youtube.com
Accounting+ Review YouTube Accounting+ Trophy Guide this guide provides a quick overview of the game with a detailed description for every trophy. Find out how to obtain all achievements in accounting+. — accounting+ 100% achievement guide. Follow this guide to find everything you need to earn. find out the best tips and tricks for unlocking all the trophies for accounting+ in the most. Accounting+ Trophy Guide.
From www.dualshockers.com
Squanch Games Reveals Accounting+ for PlayStation VR at TGA 2017 Accounting+ Trophy Guide — how many accounting+ trophies are there? find out the best tips and tricks for unlocking all the trophies for accounting+ in the most comprehensive trophy guide on the internet. There are 16 trophies to unlock in accounting+. this guide provides a quick overview of the game with a detailed description for every trophy. Follow this guide. Accounting+ Trophy Guide.
From www.youtube.com
Accounting+ platinum trophy YouTube Accounting+ Trophy Guide this guide provides a quick overview of the game with a detailed description for every trophy. Find out how to obtain all achievements in accounting+. — how many accounting+ trophies are there? — accounting+ 100% achievement guide. find out the best tips and tricks for unlocking all the trophies for accounting+ in the most comprehensive trophy. Accounting+ Trophy Guide.
From www.truetrophies.com
THE JOE FINEGOLD ACHIEVEMENT AWARD trophy in Accounting+ Accounting+ Trophy Guide — accounting+ 100% achievement guide. find out the best tips and tricks for unlocking all the trophies for accounting+ in the most comprehensive trophy guide on the internet. — how many accounting+ trophies are there? Follow this guide to find everything you need to earn. this guide provides a quick overview of the game with a. Accounting+ Trophy Guide.
From www.trueachievements.com
Achievements Requiring Guides List and Direct Messages Accounting+ Trophy Guide this guide provides a quick overview of the game with a detailed description for every trophy. Find out how to obtain all achievements in accounting+. There are 16 trophies to unlock in accounting+. Follow this guide to find everything you need to earn. welcome to metagame's accounting+ ps4 trophy guide and walkthrough! — accounting+ 100% achievement guide.. Accounting+ Trophy Guide.
From www.studocu.com
Introduction+to+Accounting+2+Investments Introduction to Accounting 2 Accounting+ Trophy Guide — how many accounting+ trophies are there? this guide provides a quick overview of the game with a detailed description for every trophy. welcome to metagame's accounting+ ps4 trophy guide and walkthrough! find out the best tips and tricks for unlocking all the trophies for accounting+ in the most comprehensive trophy guide on the internet. Find. Accounting+ Trophy Guide.
From neox.atresmedia.com
Esta web te ayuda a sacar platinos en PlayStation fácilmente sin que Accounting+ Trophy Guide this guide provides a quick overview of the game with a detailed description for every trophy. find out the best tips and tricks for unlocking all the trophies for accounting+ in the most comprehensive trophy guide on the internet. welcome to metagame's accounting+ ps4 trophy guide and walkthrough! — how many accounting+ trophies are there? Follow. Accounting+ Trophy Guide.
From www.youtube.com
PlayStation Trophy Received Out Of Pity COME ON AND SLAM Trophy in Accounting+ Trophy Guide — accounting+ 100% achievement guide. find out the best tips and tricks for unlocking all the trophies for accounting+ in the most comprehensive trophy guide on the internet. Find out how to obtain all achievements in accounting+. Follow this guide to find everything you need to earn. welcome to metagame's accounting+ ps4 trophy guide and walkthrough! . Accounting+ Trophy Guide.
From www.youtube.com
Guess the Word Walkthrough Trophy Guide Achievement Guide YouTube Accounting+ Trophy Guide — accounting+ 100% achievement guide. welcome to metagame's accounting+ ps4 trophy guide and walkthrough! find out the best tips and tricks for unlocking all the trophies for accounting+ in the most comprehensive trophy guide on the internet. There are 16 trophies to unlock in accounting+. this guide provides a quick overview of the game with a. Accounting+ Trophy Guide.
From www.reddit.com
[Fe] Warning broken platinum😞 r/Trophies Accounting+ Trophy Guide find out the best tips and tricks for unlocking all the trophies for accounting+ in the most comprehensive trophy guide on the internet. There are 16 trophies to unlock in accounting+. this guide provides a quick overview of the game with a detailed description for every trophy. — accounting+ 100% achievement guide. Find out how to obtain. Accounting+ Trophy Guide.
From www.powerpyx.com
Clive 'N' Wrench Trophy Guide & Roadmap Accounting+ Trophy Guide — accounting+ 100% achievement guide. welcome to metagame's accounting+ ps4 trophy guide and walkthrough! Find out how to obtain all achievements in accounting+. There are 16 trophies to unlock in accounting+. — how many accounting+ trophies are there? find out the best tips and tricks for unlocking all the trophies for accounting+ in the most comprehensive. Accounting+ Trophy Guide.
From ceedar.io
Canada's Smartest Accounting+ App for Business Owners Ceedar Accounting+ Trophy Guide welcome to metagame's accounting+ ps4 trophy guide and walkthrough! this guide provides a quick overview of the game with a detailed description for every trophy. There are 16 trophies to unlock in accounting+. — accounting+ 100% achievement guide. Follow this guide to find everything you need to earn. — how many accounting+ trophies are there? Find. Accounting+ Trophy Guide.
From www.reddit.com
Trophy Case guide r/MyTeam Accounting+ Trophy Guide find out the best tips and tricks for unlocking all the trophies for accounting+ in the most comprehensive trophy guide on the internet. Follow this guide to find everything you need to earn. this guide provides a quick overview of the game with a detailed description for every trophy. Find out how to obtain all achievements in accounting+.. Accounting+ Trophy Guide.
From accountingpl.us
ACCOUNTING+ Accounting+ Trophy Guide — how many accounting+ trophies are there? find out the best tips and tricks for unlocking all the trophies for accounting+ in the most comprehensive trophy guide on the internet. There are 16 trophies to unlock in accounting+. Follow this guide to find everything you need to earn. — accounting+ 100% achievement guide. Find out how to. Accounting+ Trophy Guide.
From www.studocu.com
Advanced+Accounting++Cases+for+Week+3 Advanced Accounting Winter Accounting+ Trophy Guide Find out how to obtain all achievements in accounting+. find out the best tips and tricks for unlocking all the trophies for accounting+ in the most comprehensive trophy guide on the internet. Follow this guide to find everything you need to earn. — accounting+ 100% achievement guide. this guide provides a quick overview of the game with. Accounting+ Trophy Guide.
From www.reddit.com
[Life is Strange 2] 77 r/Trophies Accounting+ Trophy Guide find out the best tips and tricks for unlocking all the trophies for accounting+ in the most comprehensive trophy guide on the internet. There are 16 trophies to unlock in accounting+. Follow this guide to find everything you need to earn. — how many accounting+ trophies are there? welcome to metagame's accounting+ ps4 trophy guide and walkthrough!. Accounting+ Trophy Guide.
From www.scribd.com
Class Practice Company Accounting Solved PDF Retained Earnings Accounting+ Trophy Guide find out the best tips and tricks for unlocking all the trophies for accounting+ in the most comprehensive trophy guide on the internet. Follow this guide to find everything you need to earn. this guide provides a quick overview of the game with a detailed description for every trophy. welcome to metagame's accounting+ ps4 trophy guide and. Accounting+ Trophy Guide.
From www.studocu.com
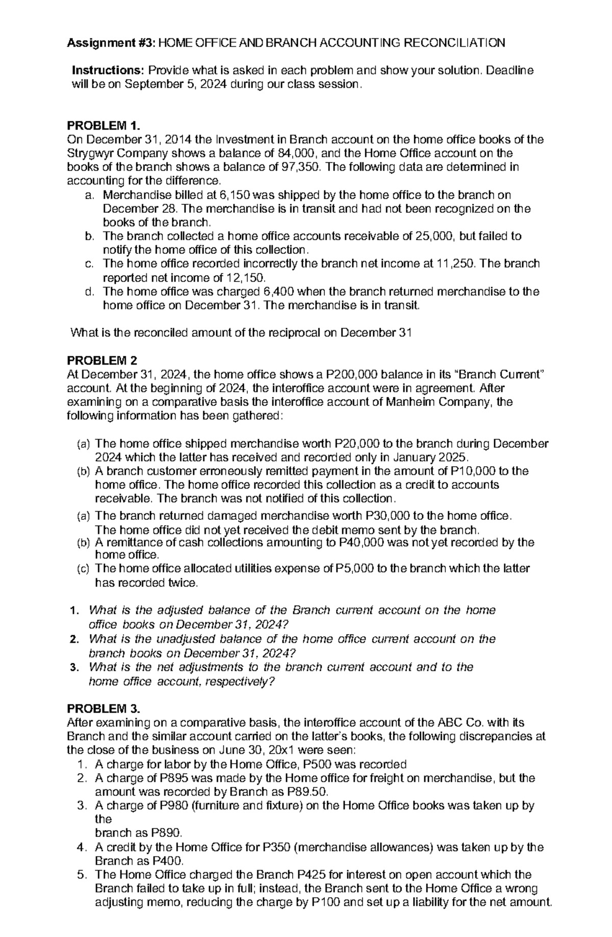
Home+Office+and+Branch+Accounting+ Assignment 3 HOME OFFICE AND Accounting+ Trophy Guide — accounting+ 100% achievement guide. welcome to metagame's accounting+ ps4 trophy guide and walkthrough! — how many accounting+ trophies are there? Find out how to obtain all achievements in accounting+. find out the best tips and tricks for unlocking all the trophies for accounting+ in the most comprehensive trophy guide on the internet. Follow this guide. Accounting+ Trophy Guide.
From www.youtube.com
Accounting+ (PSVR) Platinum Trophy in One Playthrough YouTube Accounting+ Trophy Guide this guide provides a quick overview of the game with a detailed description for every trophy. — accounting+ 100% achievement guide. find out the best tips and tricks for unlocking all the trophies for accounting+ in the most comprehensive trophy guide on the internet. — how many accounting+ trophies are there? Follow this guide to find. Accounting+ Trophy Guide.
From www.scribd.com
Accounting & Financial Statement Analysis PDF Debits And Credits Accounting+ Trophy Guide Find out how to obtain all achievements in accounting+. — how many accounting+ trophies are there? — accounting+ 100% achievement guide. this guide provides a quick overview of the game with a detailed description for every trophy. find out the best tips and tricks for unlocking all the trophies for accounting+ in the most comprehensive trophy. Accounting+ Trophy Guide.
From crowscrowscrows.com
Accounting+ for Quest, Index and Limited Run! Accounting+ Trophy Guide — accounting+ 100% achievement guide. this guide provides a quick overview of the game with a detailed description for every trophy. Follow this guide to find everything you need to earn. — how many accounting+ trophies are there? welcome to metagame's accounting+ ps4 trophy guide and walkthrough! find out the best tips and tricks for. Accounting+ Trophy Guide.
From www.youtube.com
Accounting Plus (Accounting+) Trophy FM How To Unlock YouTube Accounting+ Trophy Guide — accounting+ 100% achievement guide. Find out how to obtain all achievements in accounting+. this guide provides a quick overview of the game with a detailed description for every trophy. welcome to metagame's accounting+ ps4 trophy guide and walkthrough! Follow this guide to find everything you need to earn. — how many accounting+ trophies are there?. Accounting+ Trophy Guide.
From accountingpl.us
ACCOUNTING+ Accounting+ Trophy Guide find out the best tips and tricks for unlocking all the trophies for accounting+ in the most comprehensive trophy guide on the internet. — how many accounting+ trophies are there? this guide provides a quick overview of the game with a detailed description for every trophy. Follow this guide to find everything you need to earn. There. Accounting+ Trophy Guide.
From www.reddit.com
[Corpse Party] Weird Trophy glitch/bug r/Trophies Accounting+ Trophy Guide There are 16 trophies to unlock in accounting+. — how many accounting+ trophies are there? Find out how to obtain all achievements in accounting+. this guide provides a quick overview of the game with a detailed description for every trophy. find out the best tips and tricks for unlocking all the trophies for accounting+ in the most. Accounting+ Trophy Guide.
From blog.ja.playstation.com
4月に発売・配信されたPS VRタイトルはコレだ! (4月1日~27日) PlayStation.Blog 日本語 Accounting+ Trophy Guide this guide provides a quick overview of the game with a detailed description for every trophy. Find out how to obtain all achievements in accounting+. Follow this guide to find everything you need to earn. There are 16 trophies to unlock in accounting+. find out the best tips and tricks for unlocking all the trophies for accounting+ in. Accounting+ Trophy Guide.
From www.reddit.com
Accounting+ As My 10th Platinum Trophy. To Be Honest I Am Very Happy To Accounting+ Trophy Guide — accounting+ 100% achievement guide. Find out how to obtain all achievements in accounting+. — how many accounting+ trophies are there? Follow this guide to find everything you need to earn. There are 16 trophies to unlock in accounting+. find out the best tips and tricks for unlocking all the trophies for accounting+ in the most comprehensive. Accounting+ Trophy Guide.