What Is The Resistance Of A Toaster If 120 V Produces A Current Of 4.5 A . What is the resistance of a toaster if 120 v produces a current of 5.0 a express your answer using two significant figures. Express your answer using two significant figures. We have a current four point six amperes and we're trying to find the resistance. V = i * r we can rearrange the formula to solve for r: Friendly tutor with sound knowledge on math and science. We know, v = i x r. R = v / i. In the given problem, we are having a toaster that is connected to our 1 20 volt supply and the current passing. Ohm's law is given by: What is the resistance of a toaster if 120 v produces a current of 4.5 a ? We can use ohm's law to solve this problem. According tto arms law, the voltage is equal to the product of. True, this poster is 8.0.
from www.numerade.com
We have a current four point six amperes and we're trying to find the resistance. What is the resistance of a toaster if 120 v produces a current of 5.0 a express your answer using two significant figures. According tto arms law, the voltage is equal to the product of. In the given problem, we are having a toaster that is connected to our 1 20 volt supply and the current passing. True, this poster is 8.0. Friendly tutor with sound knowledge on math and science. Ohm's law is given by: What is the resistance of a toaster if 120 v produces a current of 4.5 a ? Express your answer using two significant figures. R = v / i.
SOLVED(I) What is the resistance of a toaster if 120 V produces a
What Is The Resistance Of A Toaster If 120 V Produces A Current Of 4.5 A In the given problem, we are having a toaster that is connected to our 1 20 volt supply and the current passing. We have a current four point six amperes and we're trying to find the resistance. We can use ohm's law to solve this problem. According tto arms law, the voltage is equal to the product of. Friendly tutor with sound knowledge on math and science. True, this poster is 8.0. What is the resistance of a toaster if 120 v produces a current of 5.0 a express your answer using two significant figures. We know, v = i x r. What is the resistance of a toaster if 120 v produces a current of 4.5 a ? V = i * r we can rearrange the formula to solve for r: Express your answer using two significant figures. In the given problem, we are having a toaster that is connected to our 1 20 volt supply and the current passing. Ohm's law is given by: R = v / i.
From www.youtube.com
What is the resistance of a toaster if 120 V produces a current of 4.2 What Is The Resistance Of A Toaster If 120 V Produces A Current Of 4.5 A What is the resistance of a toaster if 120 v produces a current of 4.5 a ? True, this poster is 8.0. We know, v = i x r. V = i * r we can rearrange the formula to solve for r: Ohm's law is given by: We can use ohm's law to solve this problem. Express your answer. What Is The Resistance Of A Toaster If 120 V Produces A Current Of 4.5 A.
From www.numerade.com
SOLVED a.What is the resistance of one of the five parallel resistors What Is The Resistance Of A Toaster If 120 V Produces A Current Of 4.5 A Express your answer using two significant figures. What is the resistance of a toaster if 120 v produces a current of 4.5 a ? Friendly tutor with sound knowledge on math and science. Ohm's law is given by: What is the resistance of a toaster if 120 v produces a current of 5.0 a express your answer using two significant. What Is The Resistance Of A Toaster If 120 V Produces A Current Of 4.5 A.
From www.numerade.com
SOLVED(I) What is the resistance of a toaster if 120 V produces a What Is The Resistance Of A Toaster If 120 V Produces A Current Of 4.5 A Friendly tutor with sound knowledge on math and science. R = v / i. Ohm's law is given by: True, this poster is 8.0. Express your answer using two significant figures. What is the resistance of a toaster if 120 v produces a current of 5.0 a express your answer using two significant figures. In the given problem, we are. What Is The Resistance Of A Toaster If 120 V Produces A Current Of 4.5 A.
From www.coursehero.com
[Solved] 3. If a toaster produces 12 ohms of resistance in a 120volt What Is The Resistance Of A Toaster If 120 V Produces A Current Of 4.5 A What is the resistance of a toaster if 120 v produces a current of 4.5 a ? Express your answer using two significant figures. Friendly tutor with sound knowledge on math and science. What is the resistance of a toaster if 120 v produces a current of 5.0 a express your answer using two significant figures. We know, v =. What Is The Resistance Of A Toaster If 120 V Produces A Current Of 4.5 A.
From www.numerade.com
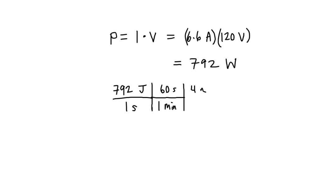
SOLVED A toaster operating on 120 V uses a current of 6.6 A. (a) What What Is The Resistance Of A Toaster If 120 V Produces A Current Of 4.5 A We know, v = i x r. In the given problem, we are having a toaster that is connected to our 1 20 volt supply and the current passing. What is the resistance of a toaster if 120 v produces a current of 4.5 a ? According tto arms law, the voltage is equal to the product of. Express your. What Is The Resistance Of A Toaster If 120 V Produces A Current Of 4.5 A.
From www.numerade.com
A 120 volt toaster has a resistance of 12 What must be the minimum What Is The Resistance Of A Toaster If 120 V Produces A Current Of 4.5 A R = v / i. Express your answer using two significant figures. We can use ohm's law to solve this problem. According tto arms law, the voltage is equal to the product of. We know, v = i x r. True, this poster is 8.0. What is the resistance of a toaster if 120 v produces a current of 4.5. What Is The Resistance Of A Toaster If 120 V Produces A Current Of 4.5 A.
From www.coursehero.com
[Solved] . 9. If a toaster produces 19 ohms of resistance in a 120volt What Is The Resistance Of A Toaster If 120 V Produces A Current Of 4.5 A What is the resistance of a toaster if 120 v produces a current of 5.0 a express your answer using two significant figures. In the given problem, we are having a toaster that is connected to our 1 20 volt supply and the current passing. Express your answer using two significant figures. We know, v = i x r. V. What Is The Resistance Of A Toaster If 120 V Produces A Current Of 4.5 A.
From www.numerade.com
SOLVED(I) What is the resistance of a toaster if 120 V produces a What Is The Resistance Of A Toaster If 120 V Produces A Current Of 4.5 A In the given problem, we are having a toaster that is connected to our 1 20 volt supply and the current passing. True, this poster is 8.0. Ohm's law is given by: We have a current four point six amperes and we're trying to find the resistance. What is the resistance of a toaster if 120 v produces a current. What Is The Resistance Of A Toaster If 120 V Produces A Current Of 4.5 A.
From www.numerade.com
SOLVED A toaster is rated at 600 W when connected to a 120V source What Is The Resistance Of A Toaster If 120 V Produces A Current Of 4.5 A V = i * r we can rearrange the formula to solve for r: What is the resistance of a toaster if 120 v produces a current of 5.0 a express your answer using two significant figures. True, this poster is 8.0. We know, v = i x r. Ohm's law is given by: According tto arms law, the voltage. What Is The Resistance Of A Toaster If 120 V Produces A Current Of 4.5 A.
From www.numerade.com
SOLVED Toaster oven is rated at 1800 W for operation at 120 V, 60 Hz What Is The Resistance Of A Toaster If 120 V Produces A Current Of 4.5 A True, this poster is 8.0. We know, v = i x r. V = i * r we can rearrange the formula to solve for r: Express your answer using two significant figures. In the given problem, we are having a toaster that is connected to our 1 20 volt supply and the current passing. Ohm's law is given by:. What Is The Resistance Of A Toaster If 120 V Produces A Current Of 4.5 A.
From www.toppr.com
3. A toaster toaster operating 240 V has a resistance of 120 32. The What Is The Resistance Of A Toaster If 120 V Produces A Current Of 4.5 A We know, v = i x r. R = v / i. We can use ohm's law to solve this problem. According tto arms law, the voltage is equal to the product of. We have a current four point six amperes and we're trying to find the resistance. True, this poster is 8.0. What is the resistance of a toaster. What Is The Resistance Of A Toaster If 120 V Produces A Current Of 4.5 A.
From www.numerade.com
SOLVED A toaster oven is rated at 1900 W for operation at 120 V, 60 Hz What Is The Resistance Of A Toaster If 120 V Produces A Current Of 4.5 A Express your answer using two significant figures. We have a current four point six amperes and we're trying to find the resistance. R = v / i. Ohm's law is given by: Friendly tutor with sound knowledge on math and science. In the given problem, we are having a toaster that is connected to our 1 20 volt supply and. What Is The Resistance Of A Toaster If 120 V Produces A Current Of 4.5 A.
From www.numerade.com
VIDEO solution 29.) What is the resistance of a toaster that draws a What Is The Resistance Of A Toaster If 120 V Produces A Current Of 4.5 A What is the resistance of a toaster if 120 v produces a current of 5.0 a express your answer using two significant figures. What is the resistance of a toaster if 120 v produces a current of 4.5 a ? Ohm's law is given by: Express your answer using two significant figures. We know, v = i x r. R. What Is The Resistance Of A Toaster If 120 V Produces A Current Of 4.5 A.
From www.numerade.com
A certain toaster has a heating element made of Nichrome resistance What Is The Resistance Of A Toaster If 120 V Produces A Current Of 4.5 A We can use ohm's law to solve this problem. Ohm's law is given by: We have a current four point six amperes and we're trying to find the resistance. True, this poster is 8.0. What is the resistance of a toaster if 120 v produces a current of 4.5 a ? According tto arms law, the voltage is equal to. What Is The Resistance Of A Toaster If 120 V Produces A Current Of 4.5 A.
From www.gauthmath.com
Solved If a toaster produces 12 ohms of resistance in a 120 volt What Is The Resistance Of A Toaster If 120 V Produces A Current Of 4.5 A True, this poster is 8.0. According tto arms law, the voltage is equal to the product of. Ohm's law is given by: In the given problem, we are having a toaster that is connected to our 1 20 volt supply and the current passing. We can use ohm's law to solve this problem. Friendly tutor with sound knowledge on math. What Is The Resistance Of A Toaster If 120 V Produces A Current Of 4.5 A.
From www.numerade.com
VIDEO solution A certain toaster has a heating element made of What Is The Resistance Of A Toaster If 120 V Produces A Current Of 4.5 A We can use ohm's law to solve this problem. V = i * r we can rearrange the formula to solve for r: What is the resistance of a toaster if 120 v produces a current of 4.5 a ? Friendly tutor with sound knowledge on math and science. True, this poster is 8.0. In the given problem, we are. What Is The Resistance Of A Toaster If 120 V Produces A Current Of 4.5 A.
From www.coursehero.com
[Solved] 3. If a toaster produces 12 ohms of resistance in a 120volt What Is The Resistance Of A Toaster If 120 V Produces A Current Of 4.5 A Friendly tutor with sound knowledge on math and science. We know, v = i x r. V = i * r we can rearrange the formula to solve for r: According tto arms law, the voltage is equal to the product of. We have a current four point six amperes and we're trying to find the resistance. Express your answer. What Is The Resistance Of A Toaster If 120 V Produces A Current Of 4.5 A.
From www.toppr.com
A certain toaster has a heating element made of Nichrome wire. When the What Is The Resistance Of A Toaster If 120 V Produces A Current Of 4.5 A According tto arms law, the voltage is equal to the product of. True, this poster is 8.0. We can use ohm's law to solve this problem. V = i * r we can rearrange the formula to solve for r: In the given problem, we are having a toaster that is connected to our 1 20 volt supply and the. What Is The Resistance Of A Toaster If 120 V Produces A Current Of 4.5 A.
From www.numerade.com
SOLVED What is the resistance of a toaster that draws a current of 12A What Is The Resistance Of A Toaster If 120 V Produces A Current Of 4.5 A According tto arms law, the voltage is equal to the product of. True, this poster is 8.0. What is the resistance of a toaster if 120 v produces a current of 4.5 a ? Friendly tutor with sound knowledge on math and science. We have a current four point six amperes and we're trying to find the resistance. Express your. What Is The Resistance Of A Toaster If 120 V Produces A Current Of 4.5 A.
From www.coursehero.com
[Solved] . 9. If a toaster produces 19 ohms of resistance in a 120volt What Is The Resistance Of A Toaster If 120 V Produces A Current Of 4.5 A R = v / i. V = i * r we can rearrange the formula to solve for r: Ohm's law is given by: We have a current four point six amperes and we're trying to find the resistance. Friendly tutor with sound knowledge on math and science. We know, v = i x r. We can use ohm's law. What Is The Resistance Of A Toaster If 120 V Produces A Current Of 4.5 A.
From www.chegg.com
Solved oblem 25.4 rt A What is the resistance of a toaster What Is The Resistance Of A Toaster If 120 V Produces A Current Of 4.5 A Ohm's law is given by: We know, v = i x r. We have a current four point six amperes and we're trying to find the resistance. V = i * r we can rearrange the formula to solve for r: We can use ohm's law to solve this problem. In the given problem, we are having a toaster that. What Is The Resistance Of A Toaster If 120 V Produces A Current Of 4.5 A.
From www.numerade.com
SOLVED(I) What is the resistance of a toaster if 120 V produces a What Is The Resistance Of A Toaster If 120 V Produces A Current Of 4.5 A Friendly tutor with sound knowledge on math and science. Ohm's law is given by: We can use ohm's law to solve this problem. According tto arms law, the voltage is equal to the product of. Express your answer using two significant figures. In the given problem, we are having a toaster that is connected to our 1 20 volt supply. What Is The Resistance Of A Toaster If 120 V Produces A Current Of 4.5 A.
From slideplayer.com
Current. ppt download What Is The Resistance Of A Toaster If 120 V Produces A Current Of 4.5 A R = v / i. Express your answer using two significant figures. Ohm's law is given by: True, this poster is 8.0. We have a current four point six amperes and we're trying to find the resistance. We can use ohm's law to solve this problem. We know, v = i x r. What is the resistance of a toaster. What Is The Resistance Of A Toaster If 120 V Produces A Current Of 4.5 A.
From solvedlib.com
What is the resistance of a toaster if 120 V produces… SolvedLib What Is The Resistance Of A Toaster If 120 V Produces A Current Of 4.5 A What is the resistance of a toaster if 120 v produces a current of 5.0 a express your answer using two significant figures. What is the resistance of a toaster if 120 v produces a current of 4.5 a ? R = v / i. Ohm's law is given by: We have a current four point six amperes and we're. What Is The Resistance Of A Toaster If 120 V Produces A Current Of 4.5 A.
From www.numerade.com
SOLVED Q1. What is the reciprocal of resistance? Q2. An electric What Is The Resistance Of A Toaster If 120 V Produces A Current Of 4.5 A According tto arms law, the voltage is equal to the product of. In the given problem, we are having a toaster that is connected to our 1 20 volt supply and the current passing. We know, v = i x r. What is the resistance of a toaster if 120 v produces a current of 5.0 a express your answer. What Is The Resistance Of A Toaster If 120 V Produces A Current Of 4.5 A.
From www.gauthmath.com
Solved If a toaster produces 12 ohms of resistance in a 120 volt What Is The Resistance Of A Toaster If 120 V Produces A Current Of 4.5 A Friendly tutor with sound knowledge on math and science. We have a current four point six amperes and we're trying to find the resistance. R = v / i. What is the resistance of a toaster if 120 v produces a current of 5.0 a express your answer using two significant figures. In the given problem, we are having a. What Is The Resistance Of A Toaster If 120 V Produces A Current Of 4.5 A.
From www.numerade.com
SOLVED 20. A toaster is rated at 550 W when connected to a 120 V What Is The Resistance Of A Toaster If 120 V Produces A Current Of 4.5 A What is the resistance of a toaster if 120 v produces a current of 5.0 a express your answer using two significant figures. Ohm's law is given by: According tto arms law, the voltage is equal to the product of. We know, v = i x r. We can use ohm's law to solve this problem. We have a current. What Is The Resistance Of A Toaster If 120 V Produces A Current Of 4.5 A.
From slideplayer.com
T Norah Ali Al moneef king Saud university ppt download What Is The Resistance Of A Toaster If 120 V Produces A Current Of 4.5 A R = v / i. What is the resistance of a toaster if 120 v produces a current of 5.0 a express your answer using two significant figures. Ohm's law is given by: What is the resistance of a toaster if 120 v produces a current of 4.5 a ? In the given problem, we are having a toaster that. What Is The Resistance Of A Toaster If 120 V Produces A Current Of 4.5 A.
From www.chegg.com
Solved oblem 25.4 rt A What is the resistance of a toaster What Is The Resistance Of A Toaster If 120 V Produces A Current Of 4.5 A Friendly tutor with sound knowledge on math and science. In the given problem, we are having a toaster that is connected to our 1 20 volt supply and the current passing. What is the resistance of a toaster if 120 v produces a current of 5.0 a express your answer using two significant figures. We know, v = i x. What Is The Resistance Of A Toaster If 120 V Produces A Current Of 4.5 A.
From www.numerade.com
SOLVED A toaster operating on 120 V uses a current of 6.7 A. (a) What What Is The Resistance Of A Toaster If 120 V Produces A Current Of 4.5 A R = v / i. What is the resistance of a toaster if 120 v produces a current of 4.5 a ? Friendly tutor with sound knowledge on math and science. Express your answer using two significant figures. We know, v = i x r. According tto arms law, the voltage is equal to the product of. We have a. What Is The Resistance Of A Toaster If 120 V Produces A Current Of 4.5 A.
From slideplayer.com
Circuits!. ppt download What Is The Resistance Of A Toaster If 120 V Produces A Current Of 4.5 A In the given problem, we are having a toaster that is connected to our 1 20 volt supply and the current passing. What is the resistance of a toaster if 120 v produces a current of 4.5 a ? True, this poster is 8.0. According tto arms law, the voltage is equal to the product of. What is the resistance. What Is The Resistance Of A Toaster If 120 V Produces A Current Of 4.5 A.
From www.coursehero.com
[Solved] 3) In the circuit below through the toaster A a current of7.5 What Is The Resistance Of A Toaster If 120 V Produces A Current Of 4.5 A True, this poster is 8.0. In the given problem, we are having a toaster that is connected to our 1 20 volt supply and the current passing. We can use ohm's law to solve this problem. We know, v = i x r. V = i * r we can rearrange the formula to solve for r: Ohm's law is. What Is The Resistance Of A Toaster If 120 V Produces A Current Of 4.5 A.
From brainly.in
electric toaster is treated 120 volt 1500 Watts what is the resistance What Is The Resistance Of A Toaster If 120 V Produces A Current Of 4.5 A We can use ohm's law to solve this problem. R = v / i. True, this poster is 8.0. Friendly tutor with sound knowledge on math and science. What is the resistance of a toaster if 120 v produces a current of 4.5 a ? What is the resistance of a toaster if 120 v produces a current of 5.0. What Is The Resistance Of A Toaster If 120 V Produces A Current Of 4.5 A.
From www.numerade.com
SOLVED ENV111 Ohm's Law Practice Worksheet An alarm clock draws 0.5 A What Is The Resistance Of A Toaster If 120 V Produces A Current Of 4.5 A We know, v = i x r. Friendly tutor with sound knowledge on math and science. V = i * r we can rearrange the formula to solve for r: Express your answer using two significant figures. What is the resistance of a toaster if 120 v produces a current of 5.0 a express your answer using two significant figures.. What Is The Resistance Of A Toaster If 120 V Produces A Current Of 4.5 A.
From www.coursehero.com
[Solved] . 9. If a toaster produces 19 ohms of resistance in a 120volt What Is The Resistance Of A Toaster If 120 V Produces A Current Of 4.5 A Ohm's law is given by: Express your answer using two significant figures. We can use ohm's law to solve this problem. What is the resistance of a toaster if 120 v produces a current of 5.0 a express your answer using two significant figures. According tto arms law, the voltage is equal to the product of. V = i *. What Is The Resistance Of A Toaster If 120 V Produces A Current Of 4.5 A.