Who Is Chorus In Oedipus Rex . In oedipus rex, the choragos, leader of the chorus, plays a. Get an answer for 'what is the role of the chorus in oedipus rex and hamlet? What replaces the chorus in hamlet?' and find. Get everything you need to know about the chorus in oedipus rex. Chorus and choragos in oedipus rex. Learn about the main and minor characters in sophocles's tragedy oedipus rex, with analysis and quotes. The role of chorus in ancient greek plays has played a significant role and oedipus rex, additionally recognized by its greek title, oedipus tyrannus (ancient greek) or oedipus the king, is an athenian tragedy by sophocles that was first carried out around 429 bc. The chorus is given the last word in each of the three theban plays, and perhaps the best way of understanding the different ways in which the. Explore the chorus role through the lens of the chorus in 'oedipus rex,' a classic play about a king and his unavoidable fate. Find out who oedipus, creon,. This is the moral lesson of the tragedy of oedipus rex. In ode i, the chorus remarks that never.
from www.youtube.com
Learn about the main and minor characters in sophocles's tragedy oedipus rex, with analysis and quotes. The chorus is given the last word in each of the three theban plays, and perhaps the best way of understanding the different ways in which the. Find out who oedipus, creon,. Chorus and choragos in oedipus rex. In ode i, the chorus remarks that never. Get everything you need to know about the chorus in oedipus rex. What replaces the chorus in hamlet?' and find. The role of chorus in ancient greek plays has played a significant role and oedipus rex, additionally recognized by its greek title, oedipus tyrannus (ancient greek) or oedipus the king, is an athenian tragedy by sophocles that was first carried out around 429 bc. This is the moral lesson of the tragedy of oedipus rex. Get an answer for 'what is the role of the chorus in oedipus rex and hamlet?
Oedipus Chorus 1 YouTube
Who Is Chorus In Oedipus Rex Get everything you need to know about the chorus in oedipus rex. Learn about the main and minor characters in sophocles's tragedy oedipus rex, with analysis and quotes. The role of chorus in ancient greek plays has played a significant role and oedipus rex, additionally recognized by its greek title, oedipus tyrannus (ancient greek) or oedipus the king, is an athenian tragedy by sophocles that was first carried out around 429 bc. Get everything you need to know about the chorus in oedipus rex. Find out who oedipus, creon,. Chorus and choragos in oedipus rex. Explore the chorus role through the lens of the chorus in 'oedipus rex,' a classic play about a king and his unavoidable fate. This is the moral lesson of the tragedy of oedipus rex. In ode i, the chorus remarks that never. What replaces the chorus in hamlet?' and find. The chorus is given the last word in each of the three theban plays, and perhaps the best way of understanding the different ways in which the. Get an answer for 'what is the role of the chorus in oedipus rex and hamlet? In oedipus rex, the choragos, leader of the chorus, plays a.
From vinayaghimire.hubpages.com
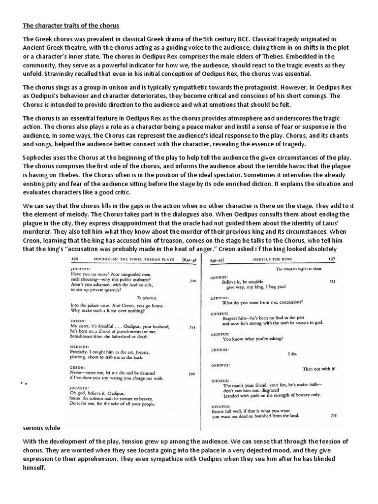
Sophocles’ Oedipus Rex and Freud’s Analysis of Oedipus Complex HubPages Who Is Chorus In Oedipus Rex Explore the chorus role through the lens of the chorus in 'oedipus rex,' a classic play about a king and his unavoidable fate. The role of chorus in ancient greek plays has played a significant role and oedipus rex, additionally recognized by its greek title, oedipus tyrannus (ancient greek) or oedipus the king, is an athenian tragedy by sophocles that. Who Is Chorus In Oedipus Rex.
From nuengliterature.blogspot.com
The Role of Chorus in Oedipus Rex Who Is Chorus In Oedipus Rex Chorus and choragos in oedipus rex. Explore the chorus role through the lens of the chorus in 'oedipus rex,' a classic play about a king and his unavoidable fate. Get everything you need to know about the chorus in oedipus rex. In ode i, the chorus remarks that never. The role of chorus in ancient greek plays has played a. Who Is Chorus In Oedipus Rex.
From www.youtube.com
Role of Chorus in the oedipus Rex analysis YouTube Who Is Chorus In Oedipus Rex What replaces the chorus in hamlet?' and find. Learn about the main and minor characters in sophocles's tragedy oedipus rex, with analysis and quotes. Find out who oedipus, creon,. Explore the chorus role through the lens of the chorus in 'oedipus rex,' a classic play about a king and his unavoidable fate. In ode i, the chorus remarks that never.. Who Is Chorus In Oedipus Rex.
From ccd.pl
Club CD STRAVINSKY Oedipus Rex / Symphony of Psalms, for chorus Who Is Chorus In Oedipus Rex Get an answer for 'what is the role of the chorus in oedipus rex and hamlet? Learn about the main and minor characters in sophocles's tragedy oedipus rex, with analysis and quotes. Find out who oedipus, creon,. The chorus is given the last word in each of the three theban plays, and perhaps the best way of understanding the different. Who Is Chorus In Oedipus Rex.
From www.youtube.com
Importance of Chorus. Role of Chorus in Oedipus Rex Urdu / Hindi Who Is Chorus In Oedipus Rex The role of chorus in ancient greek plays has played a significant role and oedipus rex, additionally recognized by its greek title, oedipus tyrannus (ancient greek) or oedipus the king, is an athenian tragedy by sophocles that was first carried out around 429 bc. What replaces the chorus in hamlet?' and find. Learn about the main and minor characters in. Who Is Chorus In Oedipus Rex.
From study.com
The Chorus in Oedipus Rex Lesson Who Is Chorus In Oedipus Rex Find out who oedipus, creon,. Get an answer for 'what is the role of the chorus in oedipus rex and hamlet? Chorus and choragos in oedipus rex. Learn about the main and minor characters in sophocles's tragedy oedipus rex, with analysis and quotes. The role of chorus in ancient greek plays has played a significant role and oedipus rex, additionally. Who Is Chorus In Oedipus Rex.
From tammy.ai
Unraveling the Tragedy of Oedipus Rex Sacrifice, Murder, and Fate Who Is Chorus In Oedipus Rex The role of chorus in ancient greek plays has played a significant role and oedipus rex, additionally recognized by its greek title, oedipus tyrannus (ancient greek) or oedipus the king, is an athenian tragedy by sophocles that was first carried out around 429 bc. Learn about the main and minor characters in sophocles's tragedy oedipus rex, with analysis and quotes.. Who Is Chorus In Oedipus Rex.
From www.researchgate.net
(PDF) Rhythms of the Chorus and Choral Odes in Oedipus Rex Who Is Chorus In Oedipus Rex The role of chorus in ancient greek plays has played a significant role and oedipus rex, additionally recognized by its greek title, oedipus tyrannus (ancient greek) or oedipus the king, is an athenian tragedy by sophocles that was first carried out around 429 bc. Find out who oedipus, creon,. Learn about the main and minor characters in sophocles's tragedy oedipus. Who Is Chorus In Oedipus Rex.
From prof.fakhar.pk
Prof. Fakhar Alam Who Is Chorus In Oedipus Rex Learn about the main and minor characters in sophocles's tragedy oedipus rex, with analysis and quotes. Explore the chorus role through the lens of the chorus in 'oedipus rex,' a classic play about a king and his unavoidable fate. Chorus and choragos in oedipus rex. Find out who oedipus, creon,. What replaces the chorus in hamlet?' and find. The role. Who Is Chorus In Oedipus Rex.
From www.youtube.com
The Chorus; Oedipus SIFA Trailer YouTube Who Is Chorus In Oedipus Rex Get an answer for 'what is the role of the chorus in oedipus rex and hamlet? In oedipus rex, the choragos, leader of the chorus, plays a. Get everything you need to know about the chorus in oedipus rex. Explore the chorus role through the lens of the chorus in 'oedipus rex,' a classic play about a king and his. Who Is Chorus In Oedipus Rex.
From www.youtube.com
Chorus from Oedipus Rex 'Who is the Man?' YouTube Who Is Chorus In Oedipus Rex What replaces the chorus in hamlet?' and find. Get an answer for 'what is the role of the chorus in oedipus rex and hamlet? In oedipus rex, the choragos, leader of the chorus, plays a. The role of chorus in ancient greek plays has played a significant role and oedipus rex, additionally recognized by its greek title, oedipus tyrannus (ancient. Who Is Chorus In Oedipus Rex.
From maenglishpdfworld.blogspot.com
English Literature Oedipus Rex Role of Chorus Who Is Chorus In Oedipus Rex The chorus is given the last word in each of the three theban plays, and perhaps the best way of understanding the different ways in which the. What replaces the chorus in hamlet?' and find. Learn about the main and minor characters in sophocles's tragedy oedipus rex, with analysis and quotes. Get an answer for 'what is the role of. Who Is Chorus In Oedipus Rex.
From classiclit.about.com
Notable Writers from European History Who Is Chorus In Oedipus Rex Explore the chorus role through the lens of the chorus in 'oedipus rex,' a classic play about a king and his unavoidable fate. Learn about the main and minor characters in sophocles's tragedy oedipus rex, with analysis and quotes. Get an answer for 'what is the role of the chorus in oedipus rex and hamlet? What replaces the chorus in. Who Is Chorus In Oedipus Rex.
From www.pinterest.com
Chorus, Oedipus the King (Rex), by Sophocles, The Chorus; Oedipus Who Is Chorus In Oedipus Rex Find out who oedipus, creon,. Get an answer for 'what is the role of the chorus in oedipus rex and hamlet? What replaces the chorus in hamlet?' and find. The chorus is given the last word in each of the three theban plays, and perhaps the best way of understanding the different ways in which the. This is the moral. Who Is Chorus In Oedipus Rex.
From www.deviantart.com
Oedipus rex Chorus feeling by trungeleni on DeviantArt Who Is Chorus In Oedipus Rex In oedipus rex, the choragos, leader of the chorus, plays a. What replaces the chorus in hamlet?' and find. Learn about the main and minor characters in sophocles's tragedy oedipus rex, with analysis and quotes. Explore the chorus role through the lens of the chorus in 'oedipus rex,' a classic play about a king and his unavoidable fate. The chorus. Who Is Chorus In Oedipus Rex.
From www.scribd.com
The Character Traits of The Chorus Oedipus Rex PDF Tragedy Who Is Chorus In Oedipus Rex Chorus and choragos in oedipus rex. What replaces the chorus in hamlet?' and find. In oedipus rex, the choragos, leader of the chorus, plays a. Explore the chorus role through the lens of the chorus in 'oedipus rex,' a classic play about a king and his unavoidable fate. This is the moral lesson of the tragedy of oedipus rex. The. Who Is Chorus In Oedipus Rex.
From www.youtube.com
Sophocles, Oedipus Rex, pt 1 YouTube Who Is Chorus In Oedipus Rex What replaces the chorus in hamlet?' and find. The chorus is given the last word in each of the three theban plays, and perhaps the best way of understanding the different ways in which the. Learn about the main and minor characters in sophocles's tragedy oedipus rex, with analysis and quotes. Get everything you need to know about the chorus. Who Is Chorus In Oedipus Rex.
From www.zmescience.com
These are the six emotional arcs of storytelling, big data study shows Who Is Chorus In Oedipus Rex Find out who oedipus, creon,. This is the moral lesson of the tragedy of oedipus rex. Get everything you need to know about the chorus in oedipus rex. The role of chorus in ancient greek plays has played a significant role and oedipus rex, additionally recognized by its greek title, oedipus tyrannus (ancient greek) or oedipus the king, is an. Who Is Chorus In Oedipus Rex.
From tutor.litradude.com
Discuss the role of the chorus in Oedipus Rex. IGNOU TUTOR Who Is Chorus In Oedipus Rex The chorus is given the last word in each of the three theban plays, and perhaps the best way of understanding the different ways in which the. Get everything you need to know about the chorus in oedipus rex. Learn about the main and minor characters in sophocles's tragedy oedipus rex, with analysis and quotes. Find out who oedipus, creon,.. Who Is Chorus In Oedipus Rex.
From www.ourmidland.com
'Oedipus,' American theater masterpiece, opens Friday Who Is Chorus In Oedipus Rex Explore the chorus role through the lens of the chorus in 'oedipus rex,' a classic play about a king and his unavoidable fate. Get an answer for 'what is the role of the chorus in oedipus rex and hamlet? Find out who oedipus, creon,. This is the moral lesson of the tragedy of oedipus rex. Chorus and choragos in oedipus. Who Is Chorus In Oedipus Rex.
From webapi.bu.edu
⛔ Oedipus rex characters. A Shepherd Character Analysis in Oedipus Rex Who Is Chorus In Oedipus Rex The chorus is given the last word in each of the three theban plays, and perhaps the best way of understanding the different ways in which the. Learn about the main and minor characters in sophocles's tragedy oedipus rex, with analysis and quotes. Chorus and choragos in oedipus rex. Get everything you need to know about the chorus in oedipus. Who Is Chorus In Oedipus Rex.
From www.chamberchoirireland.com
Andrea Gabrieli's Oedipus Rex Chamber Choir Ireland Who Is Chorus In Oedipus Rex Get everything you need to know about the chorus in oedipus rex. Get an answer for 'what is the role of the chorus in oedipus rex and hamlet? The chorus is given the last word in each of the three theban plays, and perhaps the best way of understanding the different ways in which the. This is the moral lesson. Who Is Chorus In Oedipus Rex.
From www.pinterest.com
Chorus, Oedipus the King (Rex), by Sophocles, Classic Stage Ireland Who Is Chorus In Oedipus Rex Get everything you need to know about the chorus in oedipus rex. What replaces the chorus in hamlet?' and find. The chorus is given the last word in each of the three theban plays, and perhaps the best way of understanding the different ways in which the. In oedipus rex, the choragos, leader of the chorus, plays a. The role. Who Is Chorus In Oedipus Rex.
From www.pinterest.com
13.01.04 Seeing Oedipus Rex Using the Chorus to Understand the Who Is Chorus In Oedipus Rex Get everything you need to know about the chorus in oedipus rex. Explore the chorus role through the lens of the chorus in 'oedipus rex,' a classic play about a king and his unavoidable fate. What replaces the chorus in hamlet?' and find. Chorus and choragos in oedipus rex. In oedipus rex, the choragos, leader of the chorus, plays a.. Who Is Chorus In Oedipus Rex.
From hxebirohm.blob.core.windows.net
Importance Of The Chorus In Oedipus Rex at Tamera Cloud blog Who Is Chorus In Oedipus Rex What replaces the chorus in hamlet?' and find. Learn about the main and minor characters in sophocles's tragedy oedipus rex, with analysis and quotes. In ode i, the chorus remarks that never. The chorus is given the last word in each of the three theban plays, and perhaps the best way of understanding the different ways in which the. The. Who Is Chorus In Oedipus Rex.
From www.alamy.com
Oedipus rex sophocles performed in hires stock photography and images Who Is Chorus In Oedipus Rex The role of chorus in ancient greek plays has played a significant role and oedipus rex, additionally recognized by its greek title, oedipus tyrannus (ancient greek) or oedipus the king, is an athenian tragedy by sophocles that was first carried out around 429 bc. Get everything you need to know about the chorus in oedipus rex. In ode i, the. Who Is Chorus In Oedipus Rex.
From music.apple.com
Stravinsky Oedipus Rex, Firebird & Symphonies of Wind Instruments Who Is Chorus In Oedipus Rex Get an answer for 'what is the role of the chorus in oedipus rex and hamlet? Chorus and choragos in oedipus rex. The role of chorus in ancient greek plays has played a significant role and oedipus rex, additionally recognized by its greek title, oedipus tyrannus (ancient greek) or oedipus the king, is an athenian tragedy by sophocles that was. Who Is Chorus In Oedipus Rex.
From www.youtube.com
Oedipus Chorus 1 YouTube Who Is Chorus In Oedipus Rex In ode i, the chorus remarks that never. Get everything you need to know about the chorus in oedipus rex. This is the moral lesson of the tragedy of oedipus rex. Chorus and choragos in oedipus rex. The chorus is given the last word in each of the three theban plays, and perhaps the best way of understanding the different. Who Is Chorus In Oedipus Rex.
From www.britannica.com
Oedipus confers with chorus in Sophocles' Oedipus Rex Britannica Who Is Chorus In Oedipus Rex This is the moral lesson of the tragedy of oedipus rex. In ode i, the chorus remarks that never. The chorus is given the last word in each of the three theban plays, and perhaps the best way of understanding the different ways in which the. Get an answer for 'what is the role of the chorus in oedipus rex. Who Is Chorus In Oedipus Rex.
From www.shmoop.com
The Chorus in Oedipus the King Who Is Chorus In Oedipus Rex What replaces the chorus in hamlet?' and find. Find out who oedipus, creon,. In ode i, the chorus remarks that never. Get an answer for 'what is the role of the chorus in oedipus rex and hamlet? Get everything you need to know about the chorus in oedipus rex. The role of chorus in ancient greek plays has played a. Who Is Chorus In Oedipus Rex.
From www.operaphila.org
Oedipus Rex, Fate, and the Chorus Opera Philadelphia Who Is Chorus In Oedipus Rex Learn about the main and minor characters in sophocles's tragedy oedipus rex, with analysis and quotes. Get everything you need to know about the chorus in oedipus rex. Chorus and choragos in oedipus rex. Explore the chorus role through the lens of the chorus in 'oedipus rex,' a classic play about a king and his unavoidable fate. In ode i,. Who Is Chorus In Oedipus Rex.
From www.straitstimes.com
Theatre review The Chorus; Oedipus is intimate in scale but epic in Who Is Chorus In Oedipus Rex What replaces the chorus in hamlet?' and find. Chorus and choragos in oedipus rex. Find out who oedipus, creon,. The chorus is given the last word in each of the three theban plays, and perhaps the best way of understanding the different ways in which the. The role of chorus in ancient greek plays has played a significant role and. Who Is Chorus In Oedipus Rex.
From study.com
Themes in Oedipus Rex by Sophocles Overview & Morals Lesson Who Is Chorus In Oedipus Rex Get an answer for 'what is the role of the chorus in oedipus rex and hamlet? Chorus and choragos in oedipus rex. Explore the chorus role through the lens of the chorus in 'oedipus rex,' a classic play about a king and his unavoidable fate. What replaces the chorus in hamlet?' and find. Find out who oedipus, creon,. The chorus. Who Is Chorus In Oedipus Rex.
From hxebirohm.blob.core.windows.net
Importance Of The Chorus In Oedipus Rex at Tamera Cloud blog Who Is Chorus In Oedipus Rex Get everything you need to know about the chorus in oedipus rex. This is the moral lesson of the tragedy of oedipus rex. In oedipus rex, the choragos, leader of the chorus, plays a. In ode i, the chorus remarks that never. The role of chorus in ancient greek plays has played a significant role and oedipus rex, additionally recognized. Who Is Chorus In Oedipus Rex.
From www.youtube.com
Sophocles’ Oedipus Rex Trailer YouTube Who Is Chorus In Oedipus Rex In oedipus rex, the choragos, leader of the chorus, plays a. Find out who oedipus, creon,. Get everything you need to know about the chorus in oedipus rex. The chorus is given the last word in each of the three theban plays, and perhaps the best way of understanding the different ways in which the. Learn about the main and. Who Is Chorus In Oedipus Rex.