How To Test Temperature Of Oil . Heat the oil and then dip the wooden object into the oil; If the oil starts to bubble constantly, then it is hot enough to fry. Using wood is also a good way to test the temperature of your oil, if you don't have a thermometer. You can find deep fry thermometers online or at most home goods stores. And for most recipes, i recommend that the oil should be at a temp between 360f/182c to 375f/190c with some exceptions (samosas or kachoris for eg. To determine if oil is hot enough for frying, use a thermometer to check for a temperature between 350°f and 375°f. If you don’t have a deep fry thermometer, you can also use a candy thermometer. To do this, all you need is a wooden spoon or chopstick: Where you need to cook them low and slow so that the pastry isn’t raw from the inside). Honestly, the most accurate way to check if the oil is hot enough is with a thermometer. If you have a thermometer, just check the oil to find out the temperature. Using a thermometer is the most accurate way to check if your oil is hot enough for frying. The ideal oil temperature for most frying is between 350. The ideal temperature for most frying is between 350 and.
from www.bestsynthetic.com
If you have a thermometer, just check the oil to find out the temperature. To determine if oil is hot enough for frying, use a thermometer to check for a temperature between 350°f and 375°f. Using a thermometer is the most accurate way to check if your oil is hot enough for frying. If you don’t have a deep fry thermometer, you can also use a candy thermometer. Using wood is also a good way to test the temperature of your oil, if you don't have a thermometer. And for most recipes, i recommend that the oil should be at a temp between 360f/182c to 375f/190c with some exceptions (samosas or kachoris for eg. Honestly, the most accurate way to check if the oil is hot enough is with a thermometer. The ideal oil temperature for most frying is between 350. Heat the oil and then dip the wooden object into the oil; You can find deep fry thermometers online or at most home goods stores.
AMSOIL Synthetic Motor Oil
How To Test Temperature Of Oil To determine if oil is hot enough for frying, use a thermometer to check for a temperature between 350°f and 375°f. Honestly, the most accurate way to check if the oil is hot enough is with a thermometer. Using a thermometer is the most accurate way to check if your oil is hot enough for frying. And for most recipes, i recommend that the oil should be at a temp between 360f/182c to 375f/190c with some exceptions (samosas or kachoris for eg. You can find deep fry thermometers online or at most home goods stores. If the oil starts to bubble constantly, then it is hot enough to fry. Using wood is also a good way to test the temperature of your oil, if you don't have a thermometer. The ideal temperature for most frying is between 350 and. To do this, all you need is a wooden spoon or chopstick: Where you need to cook them low and slow so that the pastry isn’t raw from the inside). The ideal oil temperature for most frying is between 350. If you don’t have a deep fry thermometer, you can also use a candy thermometer. To determine if oil is hot enough for frying, use a thermometer to check for a temperature between 350°f and 375°f. If you have a thermometer, just check the oil to find out the temperature. Heat the oil and then dip the wooden object into the oil;
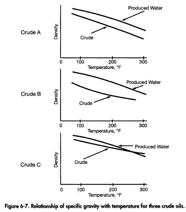
From www.oilngasprocess.com
Temperature Effects Oil & Gas Process Engineering How To Test Temperature Of Oil Heat the oil and then dip the wooden object into the oil; If the oil starts to bubble constantly, then it is hot enough to fry. If you don’t have a deep fry thermometer, you can also use a candy thermometer. If you have a thermometer, just check the oil to find out the temperature. To determine if oil is. How To Test Temperature Of Oil.
From outdoordriving.com
What Should Oil Temperature Be Outdoor Driving How To Test Temperature Of Oil Using wood is also a good way to test the temperature of your oil, if you don't have a thermometer. If you don’t have a deep fry thermometer, you can also use a candy thermometer. Using a thermometer is the most accurate way to check if your oil is hot enough for frying. You can find deep fry thermometers online. How To Test Temperature Of Oil.
From generalaviationnews.com
What is the best oil temperature for my engine? — General Aviation News How To Test Temperature Of Oil To determine if oil is hot enough for frying, use a thermometer to check for a temperature between 350°f and 375°f. And for most recipes, i recommend that the oil should be at a temp between 360f/182c to 375f/190c with some exceptions (samosas or kachoris for eg. The ideal temperature for most frying is between 350 and. Heat the oil. How To Test Temperature Of Oil.
From www.hardlinecrawlers.com
TH350 where can i measure oil temperature HardlineCrawlers How To Test Temperature Of Oil To determine if oil is hot enough for frying, use a thermometer to check for a temperature between 350°f and 375°f. Honestly, the most accurate way to check if the oil is hot enough is with a thermometer. The ideal temperature for most frying is between 350 and. If the oil starts to bubble constantly, then it is hot enough. How To Test Temperature Of Oil.
From jauch9nwgaragerepair.z13.web.core.windows.net
Engine Oil Temperature Range Chart How To Test Temperature Of Oil To do this, all you need is a wooden spoon or chopstick: If you have a thermometer, just check the oil to find out the temperature. And for most recipes, i recommend that the oil should be at a temp between 360f/182c to 375f/190c with some exceptions (samosas or kachoris for eg. If you don’t have a deep fry thermometer,. How To Test Temperature Of Oil.
From www.researchgate.net
Oil outflow temperature and oil supply temperature of the test engine How To Test Temperature Of Oil You can find deep fry thermometers online or at most home goods stores. Using a thermometer is the most accurate way to check if your oil is hot enough for frying. The ideal oil temperature for most frying is between 350. Heat the oil and then dip the wooden object into the oil; If you have a thermometer, just check. How To Test Temperature Of Oil.
From www.researchgate.net
Melting Point of Common Oils Melting Temperature Download Table How To Test Temperature Of Oil And for most recipes, i recommend that the oil should be at a temp between 360f/182c to 375f/190c with some exceptions (samosas or kachoris for eg. To do this, all you need is a wooden spoon or chopstick: Using a thermometer is the most accurate way to check if your oil is hot enough for frying. Honestly, the most accurate. How To Test Temperature Of Oil.
From spece30.com
Oil temperature chart Oiling System SpecE30 Community Forum How To Test Temperature Of Oil You can find deep fry thermometers online or at most home goods stores. The ideal temperature for most frying is between 350 and. To determine if oil is hot enough for frying, use a thermometer to check for a temperature between 350°f and 375°f. Using wood is also a good way to test the temperature of your oil, if you. How To Test Temperature Of Oil.
From www.engineeringtoolbox.com
Fuel Oils Densities vs. Temperature How To Test Temperature Of Oil Using wood is also a good way to test the temperature of your oil, if you don't have a thermometer. The ideal temperature for most frying is between 350 and. And for most recipes, i recommend that the oil should be at a temp between 360f/182c to 375f/190c with some exceptions (samosas or kachoris for eg. Where you need to. How To Test Temperature Of Oil.
From www.youtube.com
Installing Gauges (boost, oil temperature, oil pressure) YouTube How To Test Temperature Of Oil To determine if oil is hot enough for frying, use a thermometer to check for a temperature between 350°f and 375°f. If you don’t have a deep fry thermometer, you can also use a candy thermometer. And for most recipes, i recommend that the oil should be at a temp between 360f/182c to 375f/190c with some exceptions (samosas or kachoris. How To Test Temperature Of Oil.
From www.youtube.com
How To See Oil Temp On Your BMW YouTube How To Test Temperature Of Oil Heat the oil and then dip the wooden object into the oil; The ideal temperature for most frying is between 350 and. If you have a thermometer, just check the oil to find out the temperature. And for most recipes, i recommend that the oil should be at a temp between 360f/182c to 375f/190c with some exceptions (samosas or kachoris. How To Test Temperature Of Oil.
From www.pinterest.co.uk
Guide to cooking oils. Make sure you know what temperature to heat up How To Test Temperature Of Oil Using a thermometer is the most accurate way to check if your oil is hot enough for frying. Heat the oil and then dip the wooden object into the oil; If the oil starts to bubble constantly, then it is hot enough to fry. Where you need to cook them low and slow so that the pastry isn’t raw from. How To Test Temperature Of Oil.
From skywagoncity.com
Oil Temp. Indicator — Skywagon City How To Test Temperature Of Oil You can find deep fry thermometers online or at most home goods stores. And for most recipes, i recommend that the oil should be at a temp between 360f/182c to 375f/190c with some exceptions (samosas or kachoris for eg. To do this, all you need is a wooden spoon or chopstick: Using a thermometer is the most accurate way to. How To Test Temperature Of Oil.
From www.merlinmotorsport.co.uk
Racetech Dual Oil Pressure and Oil Temperature Gauge from Merlin Motorsport How To Test Temperature Of Oil If you have a thermometer, just check the oil to find out the temperature. To do this, all you need is a wooden spoon or chopstick: And for most recipes, i recommend that the oil should be at a temp between 360f/182c to 375f/190c with some exceptions (samosas or kachoris for eg. To determine if oil is hot enough for. How To Test Temperature Of Oil.
From vietnamtransformer.com
Oil and Winding temperature Indicator of the transformer How To Test Temperature Of Oil Using wood is also a good way to test the temperature of your oil, if you don't have a thermometer. If you don’t have a deep fry thermometer, you can also use a candy thermometer. To determine if oil is hot enough for frying, use a thermometer to check for a temperature between 350°f and 375°f. Using a thermometer is. How To Test Temperature Of Oil.
From www.youtube.com
Installing An Oil Temperature Gauge In The VW Bug And A Short Test How To Test Temperature Of Oil If you don’t have a deep fry thermometer, you can also use a candy thermometer. The ideal temperature for most frying is between 350 and. If you have a thermometer, just check the oil to find out the temperature. And for most recipes, i recommend that the oil should be at a temp between 360f/182c to 375f/190c with some exceptions. How To Test Temperature Of Oil.
From www.azom.com
Oils and Determining The Viscosity Temperature Dependence Of Engine Oils How To Test Temperature Of Oil To determine if oil is hot enough for frying, use a thermometer to check for a temperature between 350°f and 375°f. If the oil starts to bubble constantly, then it is hot enough to fry. Honestly, the most accurate way to check if the oil is hot enough is with a thermometer. The ideal oil temperature for most frying is. How To Test Temperature Of Oil.
From revelatoralf.com
How To Make An Oil Temperature Dipstick For Harley Davidson M8 Engine How To Test Temperature Of Oil And for most recipes, i recommend that the oil should be at a temp between 360f/182c to 375f/190c with some exceptions (samosas or kachoris for eg. You can find deep fry thermometers online or at most home goods stores. Where you need to cook them low and slow so that the pastry isn’t raw from the inside). If the oil. How To Test Temperature Of Oil.
From www.youtube.com
Oil Temperature Sensor P0196 / P0197 / P0198 How to Test and Replace How To Test Temperature Of Oil To determine if oil is hot enough for frying, use a thermometer to check for a temperature between 350°f and 375°f. If you have a thermometer, just check the oil to find out the temperature. The ideal oil temperature for most frying is between 350. Heat the oil and then dip the wooden object into the oil; And for most. How To Test Temperature Of Oil.
From levelmeters.com
with temperature oil level indicators level gauge How To Test Temperature Of Oil Where you need to cook them low and slow so that the pastry isn’t raw from the inside). If you have a thermometer, just check the oil to find out the temperature. You can find deep fry thermometers online or at most home goods stores. And for most recipes, i recommend that the oil should be at a temp between. How To Test Temperature Of Oil.
From www.syntheticoil.me
What is a Normal Engine Oil Temperature? Synthetic Oil. Me How To Test Temperature Of Oil To determine if oil is hot enough for frying, use a thermometer to check for a temperature between 350°f and 375°f. If you don’t have a deep fry thermometer, you can also use a candy thermometer. The ideal temperature for most frying is between 350 and. If the oil starts to bubble constantly, then it is hot enough to fry.. How To Test Temperature Of Oil.
From www.bestsynthetic.com
AMSOIL Synthetic Motor Oil How To Test Temperature Of Oil And for most recipes, i recommend that the oil should be at a temp between 360f/182c to 375f/190c with some exceptions (samosas or kachoris for eg. The ideal oil temperature for most frying is between 350. To do this, all you need is a wooden spoon or chopstick: If you have a thermometer, just check the oil to find out. How To Test Temperature Of Oil.
From www.thespruceeats.com
How to Tell If Cooking Oil Is Hot Enough for Frying How To Test Temperature Of Oil Using a thermometer is the most accurate way to check if your oil is hot enough for frying. To determine if oil is hot enough for frying, use a thermometer to check for a temperature between 350°f and 375°f. And for most recipes, i recommend that the oil should be at a temp between 360f/182c to 375f/190c with some exceptions. How To Test Temperature Of Oil.
From shop.classicinstruments.com
Classic Instruments Store / Traditional 2 5/8" Oil Temperature Gauge How To Test Temperature Of Oil You can find deep fry thermometers online or at most home goods stores. Using wood is also a good way to test the temperature of your oil, if you don't have a thermometer. Honestly, the most accurate way to check if the oil is hot enough is with a thermometer. To do this, all you need is a wooden spoon. How To Test Temperature Of Oil.
From webmotor.org
Motor Oil Viscosity Chart Temperature How To Test Temperature Of Oil And for most recipes, i recommend that the oil should be at a temp between 360f/182c to 375f/190c with some exceptions (samosas or kachoris for eg. To determine if oil is hot enough for frying, use a thermometer to check for a temperature between 350°f and 375°f. Using a thermometer is the most accurate way to check if your oil. How To Test Temperature Of Oil.
From wiringdiagram.2bitboer.com
Smiths Temperature Gauge Wiring Diagram Wiring Diagram How To Test Temperature Of Oil The ideal temperature for most frying is between 350 and. If you have a thermometer, just check the oil to find out the temperature. Where you need to cook them low and slow so that the pastry isn’t raw from the inside). The ideal oil temperature for most frying is between 350. If you don’t have a deep fry thermometer,. How To Test Temperature Of Oil.
From www.engineeringtoolbox.com
Density of fuel oils as function of temperature How To Test Temperature Of Oil Heat the oil and then dip the wooden object into the oil; Using a thermometer is the most accurate way to check if your oil is hot enough for frying. To do this, all you need is a wooden spoon or chopstick: You can find deep fry thermometers online or at most home goods stores. Using wood is also a. How To Test Temperature Of Oil.
From kus-usa.com
Oil Temperature Gauge CPYR Temperature Monitor KUS Americas, Inc. How To Test Temperature Of Oil Using wood is also a good way to test the temperature of your oil, if you don't have a thermometer. Honestly, the most accurate way to check if the oil is hot enough is with a thermometer. Where you need to cook them low and slow so that the pastry isn’t raw from the inside). Heat the oil and then. How To Test Temperature Of Oil.
From www.engineeringtoolbox.com
Density of fuel oils as function of temperature How To Test Temperature Of Oil Where you need to cook them low and slow so that the pastry isn’t raw from the inside). The ideal oil temperature for most frying is between 350. You can find deep fry thermometers online or at most home goods stores. And for most recipes, i recommend that the oil should be at a temp between 360f/182c to 375f/190c with. How To Test Temperature Of Oil.
From aboutengineoils.com
What is P0198? Engine Oil Temperature Sensor How To Test Temperature Of Oil Heat the oil and then dip the wooden object into the oil; Honestly, the most accurate way to check if the oil is hot enough is with a thermometer. You can find deep fry thermometers online or at most home goods stores. And for most recipes, i recommend that the oil should be at a temp between 360f/182c to 375f/190c. How To Test Temperature Of Oil.
From enchartedcook.com
Cooking Oil Smoking Points and Flavor Neutrality Chart Encharted Cook How To Test Temperature Of Oil If you don’t have a deep fry thermometer, you can also use a candy thermometer. If the oil starts to bubble constantly, then it is hot enough to fry. Honestly, the most accurate way to check if the oil is hot enough is with a thermometer. And for most recipes, i recommend that the oil should be at a temp. How To Test Temperature Of Oil.
From carpassionate.com
How Engine Oil Works, Choosing the Right Oil, and More… How To Test Temperature Of Oil Using a thermometer is the most accurate way to check if your oil is hot enough for frying. To determine if oil is hot enough for frying, use a thermometer to check for a temperature between 350°f and 375°f. Honestly, the most accurate way to check if the oil is hot enough is with a thermometer. The ideal oil temperature. How To Test Temperature Of Oil.
From www.ardantrafo.com
Winding and oil temperature indicators Ardan Transformers How To Test Temperature Of Oil Where you need to cook them low and slow so that the pastry isn’t raw from the inside). You can find deep fry thermometers online or at most home goods stores. If you have a thermometer, just check the oil to find out the temperature. The ideal oil temperature for most frying is between 350. And for most recipes, i. How To Test Temperature Of Oil.
From www.drillanddriver.com
Normal Oil Temp Understanding Ideal Engine Temperatures Drill and Driver How To Test Temperature Of Oil To do this, all you need is a wooden spoon or chopstick: If the oil starts to bubble constantly, then it is hot enough to fry. The ideal oil temperature for most frying is between 350. You can find deep fry thermometers online or at most home goods stores. Heat the oil and then dip the wooden object into the. How To Test Temperature Of Oil.
From www.motortrend.com
What Is The Optimum Engine Oil Temperature? Hot Rod Magazine How To Test Temperature Of Oil To determine if oil is hot enough for frying, use a thermometer to check for a temperature between 350°f and 375°f. The ideal temperature for most frying is between 350 and. If the oil starts to bubble constantly, then it is hot enough to fry. And for most recipes, i recommend that the oil should be at a temp between. How To Test Temperature Of Oil.