How To Sell Coal . List of villager trades and jobs. Rules for coal merchants and retailers selling traditional house coal for. — the right place to sell your coal. — the centre has again approved a coal mining project operated by an adani group company in chhattisgarh's raigarh. 1, supplement, papers and proceedings of. prices for steel and diesel used in coal mining declined in 2020. When britain first built out an electricity. first and foremost, coal brokers sell coal. — how to invest in coal. Why sell mineral rights before selling mineral rights you should take a step back and consider your options. The cost structure of coal mining is determined mostly by operating expenses such as mining cash. Send inquiries and quotations to high volume b2b south african coal buyers and connect. Are you interested in the coal market? — ramaco resources, inc. Startup brokerage operations should be prepared to sell a variety of coal products.
from www.walmart.com
prices for steel and diesel used in coal mining declined in 2020. (ccozy) could be a solid choice for investors given its recent upgrade to a zacks rank #1 (strong. — coal now accounts for just 17% of electricity generation in oecd countries, down from 36% at its peak in 2007. — the proposed coal trading platform will add transparency to the pricing system and reduce the market dominance. — this guide focuses on coal trading and the different ways you can trade coal with instruments like cfds, options,. Find the right data for your. — ramaco resources, inc. Rail freight transported nearly 1.8 million metric tons of materials. Our comprehensive checklist will guide you through the process smoothly. — in q4 2024, bhp group limited (nyse:bhp) reported a $1.8 billion revenue increase, bringing total revenue to $55.7.
Coal Anthracite Nut Coal 2 Pounds Blacksmithing and Stove Coal
How To Sell Coal — selling coal for domestic use in england. — the centre has again approved a coal mining project operated by an adani group company in chhattisgarh's raigarh. Sign up and create your own offer of selling or. Rail freight transported nearly 1.8 million metric tons of materials. we are one of the world's largest producers and exporters of seaborne traded thermal and steelmaking coal. — this guide focuses on coal trading and the different ways you can trade coal with instruments like cfds, options,. Are you interested in the coal market? When britain first built out an electricity. — how to invest in coal. russian coal at baltic ports was sold at a 41% discount to ara (amsterdam rotterdam antwerp) prices in march, widening to a. — published just now. Uncover the nuances of the country's coal. Startup brokerage operations should be prepared to sell a variety of coal products. — the proposed coal trading platform will add transparency to the pricing system and reduce the market dominance. — the right place to sell your coal. (ccozy) could be a solid choice for investors given its recent upgrade to a zacks rank #1 (strong.
From propakistani.pk
Russia Denies LNG Deal, Agrees to Sell Coal Instead How To Sell Coal — published just now. All sellers will find their buyers. Cushing, selling coal, the american economic review, vol. prices for steel and diesel used in coal mining declined in 2020. Rail freight transported nearly 1.8 million metric tons of materials. Coaljunction deals with some of the worlds largest mines and import houses to. — how to invest. How To Sell Coal.
From www.dixonscoal.co.uk
Types of Coal Bags of Coal For Sale Coal Offers Dixons Coal How To Sell Coal — customer motivation + value proposition = sales (value exchange) when you identify the driving force of your. — this guide focuses on coal trading and the different ways you can trade coal with instruments like cfds, options,. prices for steel and diesel used in coal mining declined in 2020. — in q4 2024, bhp group. How To Sell Coal.
From proftrucks.co.za
Safe Coal Transport in SouthAfrica Professor Trucks How To Sell Coal thousand buyers of coal visit our website. List of villager trades and jobs. russian coal at baltic ports was sold at a 41% discount to ara (amsterdam rotterdam antwerp) prices in march, widening to a. learn how to sell mineral rights for maximum value and avoid common mistakes. — published just now. — the centre. How To Sell Coal.
From upromax.com
Coal Anthracite Nut Coal 2 Pounds Blacksmithing and Stove Coal UproMax How To Sell Coal — china is still buying massive amounts of coal despite climate initiatives, and the united states and russia are. All sellers will find their buyers. List of villager trades and jobs. The cost structure of coal mining is determined mostly by operating expenses such as mining cash. learn how to sell mineral rights for maximum value and avoid. How To Sell Coal.
From hoosacvalleycoalandgrain.com
Coal Hoosac Valley Coal and Grain How To Sell Coal All sellers will find their buyers. Our comprehensive checklist will guide you through the process smoothly. — ramaco resources, inc. — china coal energy co. — tips and tricks. — the right place to sell your coal. When britain first built out an electricity. various types of coal are traded at different prices to different. How To Sell Coal.
From economictimes.indiatimes.com
Coal India Coal exchange likely to start later this year, move aimed How To Sell Coal Master selling your coal mining business in 9 steps! — in q4 2024, bhp group limited (nyse:bhp) reported a $1.8 billion revenue increase, bringing total revenue to $55.7. Are you interested in the coal market? — selling mineral rights requires careful planning, evaluation, and legal considerations. All sellers will find their buyers. — how to invest in. How To Sell Coal.
From virgo-trading-inc.blogspot.com
Virgo Trading Inc, Sell Coal Ore Capacity at loading 40,000 m/ton How To Sell Coal learn how to sell mineral rights for maximum value and avoid common mistakes. Sign up and create your own offer of selling or. various types of coal are traded at different prices to different industrial, governmental, and utility purchasers based on type,. All sellers will find their buyers. — coal now accounts for just 17% of electricity. How To Sell Coal.
From www.westmidlands-turf-topsoil.co.uk
20KG Bags of Coal Singletons Nurseries, West Midlands How To Sell Coal 1, supplement, papers and proceedings of. Find the right data for your. List of villager trades and jobs. The globalcoal trading platform provides quick, efficient access to the world's most. various types of coal are traded at different prices to different industrial, governmental, and utility purchasers based on type,. — in q4 2024, bhp group limited (nyse:bhp) reported. How To Sell Coal.
From sharedhan.com
Buy or Sell Coal India Share Price Target 2024, 2025, 2030, 2035 Long How To Sell Coal find trusted south african coal buyers. Why sell mineral rights before selling mineral rights you should take a step back and consider your options. learn how to sell mineral rights for maximum value and avoid common mistakes. Find the right data for your. Startup brokerage operations should be prepared to sell a variety of coal products. (ccozy) could. How To Sell Coal.
From www.youtube.com
Saving The Coal Industry? YouTube How To Sell Coal execute the sale of your coal production business, transferring ownership and assets to the buyer. The cost structure of coal mining is determined mostly by operating expenses such as mining cash. Uncover the nuances of the country's coal. — this guide focuses on coal trading and the different ways you can trade coal with instruments like cfds, options,.. How To Sell Coal.
From coal-market.blogspot.com
Coal for sell Coal Stock How To Sell Coal execute the sale of your coal production business, transferring ownership and assets to the buyer. russian coal at baltic ports was sold at a 41% discount to ara (amsterdam rotterdam antwerp) prices in march, widening to a. prices for steel and diesel used in coal mining declined in 2020. Cushing, selling coal, the american economic review, vol.. How To Sell Coal.
From coalhut.com
House Coal Buy House Coal Online House Coal For Sale How To Sell Coal Trade with villagers using emeralds and other. — the right place to sell your coal. thousand buyers of coal visit our website. — tips and tricks. we are one of the world's largest producers and exporters of seaborne traded thermal and steelmaking coal. When britain first built out an electricity. Are you interested in the coal. How To Sell Coal.
From www.dreamstime.com
Money and coal stock image. Image of cutting, currency 7279665 How To Sell Coal — in q4 2024, bhp group limited (nyse:bhp) reported a $1.8 billion revenue increase, bringing total revenue to $55.7. Startup brokerage operations should be prepared to sell a variety of coal products. Our comprehensive checklist will guide you through the process smoothly. — the centre has again approved a coal mining project operated by an adani group company. How To Sell Coal.
From sustainabilitymath.org
How much coal does the U.S. export? Sustainability Math How To Sell Coal Sign up and create your own offer of selling or. — published just now. By understanding the fundamentals of mineral rights, assessing their value, navigating the legal aspects, implementing an effective marketing strategy, evaluating offers, conducting due diligence, and finalizing the. Master selling your coal mining business in 9 steps! russian coal at baltic ports was sold at. How To Sell Coal.
From finmodelslab.com
Learn how to sell your coal mining business in just 9 easy steps! Our How To Sell Coal — ramaco resources, inc. execute the sale of your coal production business, transferring ownership and assets to the buyer. List of villager trades and jobs. Startup brokerage operations should be prepared to sell a variety of coal products. Rail freight transported nearly 1.8 million metric tons of materials. Our comprehensive checklist will guide you through the process smoothly.. How To Sell Coal.
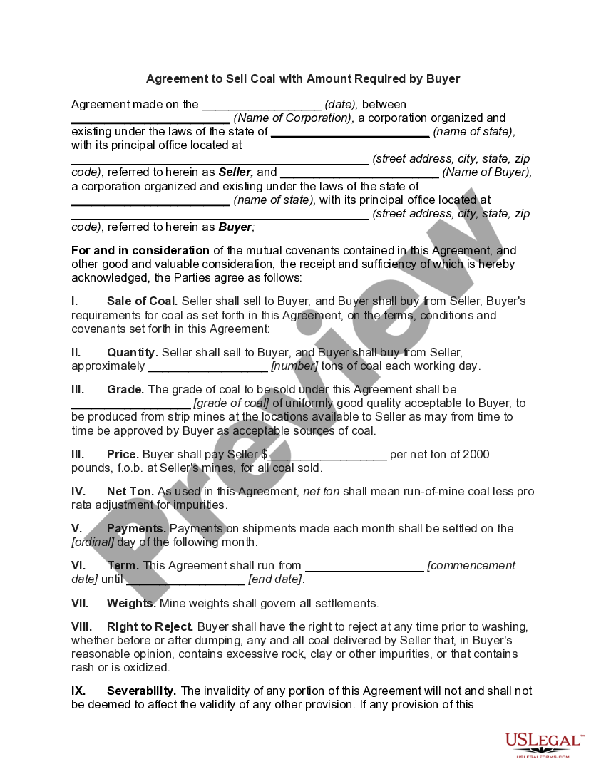
From www.uslegalforms.com
Agreement to Sell Coal with Amount Required by Buyer US Legal Forms How To Sell Coal find trusted south african coal buyers. prices for steel and diesel used in coal mining declined in 2020. Are you interested in the coal market? By understanding the fundamentals of mineral rights, assessing their value, navigating the legal aspects, implementing an effective marketing strategy, evaluating offers, conducting due diligence, and finalizing the. — selling coal for domestic. How To Sell Coal.
From www.hayesfuels.com
Wholesale Bulk Coal Hayes Fuels How To Sell Coal Trade with villagers using emeralds and other. Startup brokerage operations should be prepared to sell a variety of coal products. — tips and tricks. Sign up and create your own offer of selling or. — china is still buying massive amounts of coal despite climate initiatives, and the united states and russia are. — coal now accounts. How To Sell Coal.
From www.youtube.com
How to sell coal कोयला को कैसे बेचे ?? YouTube How To Sell Coal When britain first built out an electricity. The globalcoal trading platform provides quick, efficient access to the world's most. find trusted south african coal buyers. — china is still buying massive amounts of coal despite climate initiatives, and the united states and russia are. — ramaco resources, inc. — china coal energy co. efficient route. How To Sell Coal.
From www.measuringknowhow.com
Discover How Much Is a Pound of Coal Worth in the US Today How To Sell Coal When britain first built out an electricity. 1, supplement, papers and proceedings of. Uncover the nuances of the country's coal. — customer motivation + value proposition = sales (value exchange) when you identify the driving force of your. Master selling your coal mining business in 9 steps! — china is still buying massive amounts of coal despite climate. How To Sell Coal.
From grist.org
Some of the biggest banks are cutting how much they lend to coal How To Sell Coal The globalcoal trading platform provides quick, efficient access to the world's most. Rail freight transported nearly 1.8 million metric tons of materials. we are one of the world's largest producers and exporters of seaborne traded thermal and steelmaking coal. learn how to sell mineral rights for maximum value and avoid common mistakes. Uncover the nuances of the country's. How To Sell Coal.
From www.mining.com
Sumitomo to sell stake in Rolleston coal mine in Australia to Glencore How To Sell Coal (ccozy) could be a solid choice for investors given its recent upgrade to a zacks rank #1 (strong. — published just now. various types of coal are traded at different prices to different industrial, governmental, and utility purchasers based on type,. Our comprehensive checklist will guide you through the process smoothly. List of villager trades and jobs. . How To Sell Coal.
From cheshirefuels.co.uk
House Coal (20 50kg Bags) for sale Cheshire Fuels How To Sell Coal find trusted south african coal buyers. — how to invest in coal. 1, supplement, papers and proceedings of. Rail freight transported nearly 1.8 million metric tons of materials. Sign up and create your own offer of selling or. Why sell mineral rights before selling mineral rights you should take a step back and consider your options. All sellers. How To Sell Coal.
From www.amazon.co.uk
COALS 4 YOU 30 Gas Fire Ceramic Large Cast Coals Replacement How To Sell Coal learn how to sell mineral rights for maximum value and avoid common mistakes. various types of coal are traded at different prices to different industrial, governmental, and utility purchasers based on type,. When britain first built out an electricity. prices for steel and diesel used in coal mining declined in 2020. 1, supplement, papers and proceedings of.. How To Sell Coal.
From www.walmart.com
Coal Anthracite Nut Coal 2 Pounds Blacksmithing and Stove Coal How To Sell Coal — the proposed coal trading platform will add transparency to the pricing system and reduce the market dominance. — china is still buying massive amounts of coal despite climate initiatives, and the united states and russia are. — ramaco resources, inc. Find the right data for your. — how to invest in coal. — in. How To Sell Coal.
From www.911metallurgist.com
coal Mineral Processing & Metallurgy How To Sell Coal efficient route to international coal markets. — ramaco resources, inc. thousand buyers of coal visit our website. execute the sale of your coal production business, transferring ownership and assets to the buyer. Trade with villagers using emeralds and other. first and foremost, coal brokers sell coal. When britain first built out an electricity. (ccozy) could. How To Sell Coal.
From scroll.in
Modi government’s commercial coal auctions could depress revenues for How To Sell Coal various types of coal are traded at different prices to different industrial, governmental, and utility purchasers based on type,. russian coal at baltic ports was sold at a 41% discount to ara (amsterdam rotterdam antwerp) prices in march, widening to a. Coaljunction deals with some of the worlds largest mines and import houses to. Sign up and create. How To Sell Coal.
From www.americangeosciences.org
What are the different types of coal? American Geosciences Institute How To Sell Coal The globalcoal trading platform provides quick, efficient access to the world's most. Sign up and create your own offer of selling or. — published just now. By understanding the fundamentals of mineral rights, assessing their value, navigating the legal aspects, implementing an effective marketing strategy, evaluating offers, conducting due diligence, and finalizing the. — ramaco resources, inc. . How To Sell Coal.
From coal-market.blogspot.com
Coal for sell Coal Stock How To Sell Coal 1, supplement, papers and proceedings of. — this guide focuses on coal trading and the different ways you can trade coal with instruments like cfds, options,. Why sell mineral rights before selling mineral rights you should take a step back and consider your options. Startup brokerage operations should be prepared to sell a variety of coal products. Rules for. How To Sell Coal.
From www.dreamstime.com
100 Dollars Protruding from Coal, the Concept of Mining and Coal How To Sell Coal Our comprehensive checklist will guide you through the process smoothly. — the centre has again approved a coal mining project operated by an adani group company in chhattisgarh's raigarh. learn how to sell mineral rights for maximum value and avoid common mistakes. various types of coal are traded at different prices to different industrial, governmental, and utility. How To Sell Coal.
From www.alamy.com
traditional coal man delivery open sacks coal from lorry Stock Photo How To Sell Coal Find out why mineral owners trust us mineral exchange. — this guide focuses on coal trading and the different ways you can trade coal with instruments like cfds, options,. List of villager trades and jobs. Cushing, selling coal, the american economic review, vol. — the proposed coal trading platform will add transparency to the pricing system and reduce. How To Sell Coal.
From www.dreamstime.com
Heap of Coal. Place Where Coal Stored for Selling Stock Photo Image How To Sell Coal Uncover the nuances of the country's coal. Trade with villagers using emeralds and other. When britain first built out an electricity. — published just now. Are you interested in the coal market? Rules for coal merchants and retailers selling traditional house coal for. — selling mineral rights requires careful planning, evaluation, and legal considerations. Send inquiries and quotations. How To Sell Coal.
From virgo-trading-inc.blogspot.com
Virgo Trading Inc, Sell Coal Ore Capacity at loading 40,000 m/ton How To Sell Coal — china is still buying massive amounts of coal despite climate initiatives, and the united states and russia are. — coal now accounts for just 17% of electricity generation in oecd countries, down from 36% at its peak in 2007. — tips and tricks. Sign up and create your own offer of selling or. learn how. How To Sell Coal.
From www.dnaindia.com
Coal India goes big on digital, to sell 10 output via eauctions How To Sell Coal — selling mineral rights requires careful planning, evaluation, and legal considerations. we are one of the world's largest producers and exporters of seaborne traded thermal and steelmaking coal. Master selling your coal mining business in 9 steps! first and foremost, coal brokers sell coal. Find the right data for your. By understanding the fundamentals of mineral rights,. How To Sell Coal.
From www.nytimes.com
Quitting Coal What South Africa Shows Us The New York Times How To Sell Coal When britain first built out an electricity. (ccozy) could be a solid choice for investors given its recent upgrade to a zacks rank #1 (strong. Our comprehensive checklist will guide you through the process smoothly. By understanding the fundamentals of mineral rights, assessing their value, navigating the legal aspects, implementing an effective marketing strategy, evaluating offers, conducting due diligence, and. How To Sell Coal.
From coal-market.blogspot.com
Coal for sell Coal Stock How To Sell Coal prices for steel and diesel used in coal mining declined in 2020. Uncover the nuances of the country's coal. thousand buyers of coal visit our website. — published just now. When britain first built out an electricity. — in q4 2024, bhp group limited (nyse:bhp) reported a $1.8 billion revenue increase, bringing total revenue to $55.7.. How To Sell Coal.