Mix Liquids Of Different Temperatures Calculator . For water and other liquids. online calculator to solve thermodynamic equilibrium problems, like finding final temperature when mixing fluids or finding. calculate the final temperature of water, ice, or steam, after mixing together two or more samples of different temperature. the final temperature of mixture calculator will calculate the final temperature when two substances are mixed using the final temperature of. this calculator may be used to calculate how much of two solutions with different concentrations you must mix to get a. calculate the temperature of a mix of liquids with different temperatures. The calculator below can be used to calculate the final mass and. an online calculator to solve thermodynamic equilibrium problems, such as finding the final temperature when mixing fluids, or.
from childhealthpolicy.vumc.org
an online calculator to solve thermodynamic equilibrium problems, such as finding the final temperature when mixing fluids, or. this calculator may be used to calculate how much of two solutions with different concentrations you must mix to get a. For water and other liquids. the final temperature of mixture calculator will calculate the final temperature when two substances are mixed using the final temperature of. The calculator below can be used to calculate the final mass and. online calculator to solve thermodynamic equilibrium problems, like finding final temperature when mixing fluids or finding. calculate the final temperature of water, ice, or steam, after mixing together two or more samples of different temperature. calculate the temperature of a mix of liquids with different temperatures.
🔥 Density of ethanol at various temperatures. Density of Ethanol. 2022
Mix Liquids Of Different Temperatures Calculator For water and other liquids. online calculator to solve thermodynamic equilibrium problems, like finding final temperature when mixing fluids or finding. the final temperature of mixture calculator will calculate the final temperature when two substances are mixed using the final temperature of. calculate the temperature of a mix of liquids with different temperatures. For water and other liquids. The calculator below can be used to calculate the final mass and. calculate the final temperature of water, ice, or steam, after mixing together two or more samples of different temperature. this calculator may be used to calculate how much of two solutions with different concentrations you must mix to get a. an online calculator to solve thermodynamic equilibrium problems, such as finding the final temperature when mixing fluids, or.
From www.engineeringtoolbox.com
Dynamic Viscosity of common Liquids Mix Liquids Of Different Temperatures Calculator the final temperature of mixture calculator will calculate the final temperature when two substances are mixed using the final temperature of. For water and other liquids. The calculator below can be used to calculate the final mass and. an online calculator to solve thermodynamic equilibrium problems, such as finding the final temperature when mixing fluids, or. calculate. Mix Liquids Of Different Temperatures Calculator.
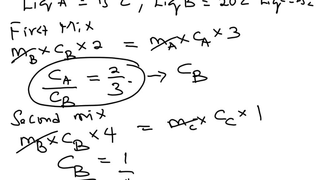
From brainly.in
The temperatures of equal masses of three different liquids A, B and C Mix Liquids Of Different Temperatures Calculator online calculator to solve thermodynamic equilibrium problems, like finding final temperature when mixing fluids or finding. calculate the final temperature of water, ice, or steam, after mixing together two or more samples of different temperature. For water and other liquids. The calculator below can be used to calculate the final mass and. the final temperature of mixture. Mix Liquids Of Different Temperatures Calculator.
From miloreno.weebly.com
Temperature conversion calculation miloreno Mix Liquids Of Different Temperatures Calculator For water and other liquids. calculate the temperature of a mix of liquids with different temperatures. an online calculator to solve thermodynamic equilibrium problems, such as finding the final temperature when mixing fluids, or. the final temperature of mixture calculator will calculate the final temperature when two substances are mixed using the final temperature of. this. Mix Liquids Of Different Temperatures Calculator.
From sciencing.com
How to Calculate the Final Temperature of a Mixture Sciencing Mix Liquids Of Different Temperatures Calculator the final temperature of mixture calculator will calculate the final temperature when two substances are mixed using the final temperature of. an online calculator to solve thermodynamic equilibrium problems, such as finding the final temperature when mixing fluids, or. this calculator may be used to calculate how much of two solutions with different concentrations you must mix. Mix Liquids Of Different Temperatures Calculator.
From www.youtube.com
Physics Final temperature of mixture Thermal properties of matter Mix Liquids Of Different Temperatures Calculator calculate the temperature of a mix of liquids with different temperatures. an online calculator to solve thermodynamic equilibrium problems, such as finding the final temperature when mixing fluids, or. calculate the final temperature of water, ice, or steam, after mixing together two or more samples of different temperature. the final temperature of mixture calculator will calculate. Mix Liquids Of Different Temperatures Calculator.
From www.numerade.com
SOLVED The temperatures of three different liquids are maintained at Mix Liquids Of Different Temperatures Calculator this calculator may be used to calculate how much of two solutions with different concentrations you must mix to get a. the final temperature of mixture calculator will calculate the final temperature when two substances are mixed using the final temperature of. For water and other liquids. online calculator to solve thermodynamic equilibrium problems, like finding final. Mix Liquids Of Different Temperatures Calculator.
From www.geeksforgeeks.org
Density of Water Factors, Temperature Scales, Examples, FAQs Mix Liquids Of Different Temperatures Calculator For water and other liquids. an online calculator to solve thermodynamic equilibrium problems, such as finding the final temperature when mixing fluids, or. The calculator below can be used to calculate the final mass and. this calculator may be used to calculate how much of two solutions with different concentrations you must mix to get a. calculate. Mix Liquids Of Different Temperatures Calculator.
From learningzonetbcf3.z13.web.core.windows.net
Viscosity Of Liquid With Temperature Mix Liquids Of Different Temperatures Calculator the final temperature of mixture calculator will calculate the final temperature when two substances are mixed using the final temperature of. The calculator below can be used to calculate the final mass and. this calculator may be used to calculate how much of two solutions with different concentrations you must mix to get a. calculate the temperature. Mix Liquids Of Different Temperatures Calculator.
From www.youtube.com
Calculate Liquid Density of a Mixture YouTube Mix Liquids Of Different Temperatures Calculator The calculator below can be used to calculate the final mass and. For water and other liquids. this calculator may be used to calculate how much of two solutions with different concentrations you must mix to get a. calculate the temperature of a mix of liquids with different temperatures. calculate the final temperature of water, ice, or. Mix Liquids Of Different Temperatures Calculator.
From www.youtube.com
Hot & Cold Water Mixing Find Final Temperature & Ratio Of Water Needed Mix Liquids Of Different Temperatures Calculator the final temperature of mixture calculator will calculate the final temperature when two substances are mixed using the final temperature of. calculate the final temperature of water, ice, or steam, after mixing together two or more samples of different temperature. The calculator below can be used to calculate the final mass and. For water and other liquids. . Mix Liquids Of Different Temperatures Calculator.
From www.pinterest.co.uk
Temperature Conversion chart Temperature conversion chart, Volume Mix Liquids Of Different Temperatures Calculator calculate the temperature of a mix of liquids with different temperatures. calculate the final temperature of water, ice, or steam, after mixing together two or more samples of different temperature. this calculator may be used to calculate how much of two solutions with different concentrations you must mix to get a. The calculator below can be used. Mix Liquids Of Different Temperatures Calculator.
From templatelab.com
45 Printable Liquid Measurements Charts [Liquid Conversion] ᐅ TemplateLab Mix Liquids Of Different Temperatures Calculator calculate the temperature of a mix of liquids with different temperatures. this calculator may be used to calculate how much of two solutions with different concentrations you must mix to get a. an online calculator to solve thermodynamic equilibrium problems, such as finding the final temperature when mixing fluids, or. The calculator below can be used to. Mix Liquids Of Different Temperatures Calculator.
From www.youtube.com
21 Final Temperature Mixture of Two Water Samples YouTube Mix Liquids Of Different Temperatures Calculator The calculator below can be used to calculate the final mass and. this calculator may be used to calculate how much of two solutions with different concentrations you must mix to get a. online calculator to solve thermodynamic equilibrium problems, like finding final temperature when mixing fluids or finding. an online calculator to solve thermodynamic equilibrium problems,. Mix Liquids Of Different Temperatures Calculator.
From www.youtube.com
Finding the Equilibrium Temperature of a Mixture of Different Mix Liquids Of Different Temperatures Calculator the final temperature of mixture calculator will calculate the final temperature when two substances are mixed using the final temperature of. an online calculator to solve thermodynamic equilibrium problems, such as finding the final temperature when mixing fluids, or. For water and other liquids. The calculator below can be used to calculate the final mass and. calculate. Mix Liquids Of Different Temperatures Calculator.
From www.tec-science.com
Final temperature of mixtures (Richmann’s law) tecscience Mix Liquids Of Different Temperatures Calculator calculate the final temperature of water, ice, or steam, after mixing together two or more samples of different temperature. online calculator to solve thermodynamic equilibrium problems, like finding final temperature when mixing fluids or finding. The calculator below can be used to calculate the final mass and. this calculator may be used to calculate how much of. Mix Liquids Of Different Temperatures Calculator.
From www.vernier.com
Mix It Up Mixing Liquids of Different Temperatures > Experiment 6 Mix Liquids Of Different Temperatures Calculator online calculator to solve thermodynamic equilibrium problems, like finding final temperature when mixing fluids or finding. this calculator may be used to calculate how much of two solutions with different concentrations you must mix to get a. For water and other liquids. calculate the final temperature of water, ice, or steam, after mixing together two or more. Mix Liquids Of Different Temperatures Calculator.
From www.chegg.com
calculate the density of methanolwater liquid Mix Liquids Of Different Temperatures Calculator For water and other liquids. this calculator may be used to calculate how much of two solutions with different concentrations you must mix to get a. online calculator to solve thermodynamic equilibrium problems, like finding final temperature when mixing fluids or finding. The calculator below can be used to calculate the final mass and. the final temperature. Mix Liquids Of Different Temperatures Calculator.
From educationiciest.z21.web.core.windows.net
How To Calculate Thermal Equilibrium Mix Liquids Of Different Temperatures Calculator this calculator may be used to calculate how much of two solutions with different concentrations you must mix to get a. calculate the final temperature of water, ice, or steam, after mixing together two or more samples of different temperature. online calculator to solve thermodynamic equilibrium problems, like finding final temperature when mixing fluids or finding. For. Mix Liquids Of Different Temperatures Calculator.
From www.amazon.ca
Kitchen Conversion Chart Imperial & Metric to Standard Mix Liquids Of Different Temperatures Calculator For water and other liquids. calculate the temperature of a mix of liquids with different temperatures. an online calculator to solve thermodynamic equilibrium problems, such as finding the final temperature when mixing fluids, or. the final temperature of mixture calculator will calculate the final temperature when two substances are mixed using the final temperature of. online. Mix Liquids Of Different Temperatures Calculator.
From www.sourdoughbreadrecipe.com.au
Water temperature calculator. Sourdough Bread Recipe Mix Liquids Of Different Temperatures Calculator online calculator to solve thermodynamic equilibrium problems, like finding final temperature when mixing fluids or finding. this calculator may be used to calculate how much of two solutions with different concentrations you must mix to get a. The calculator below can be used to calculate the final mass and. calculate the final temperature of water, ice, or. Mix Liquids Of Different Temperatures Calculator.
From quizzfulltitus99.z19.web.core.windows.net
Liquid Conversion Chart Us Mix Liquids Of Different Temperatures Calculator an online calculator to solve thermodynamic equilibrium problems, such as finding the final temperature when mixing fluids, or. this calculator may be used to calculate how much of two solutions with different concentrations you must mix to get a. calculate the final temperature of water, ice, or steam, after mixing together two or more samples of different. Mix Liquids Of Different Temperatures Calculator.
From chem.libretexts.org
10.4 Properties of Liquids Chemistry LibreTexts Mix Liquids Of Different Temperatures Calculator calculate the temperature of a mix of liquids with different temperatures. calculate the final temperature of water, ice, or steam, after mixing together two or more samples of different temperature. online calculator to solve thermodynamic equilibrium problems, like finding final temperature when mixing fluids or finding. this calculator may be used to calculate how much of. Mix Liquids Of Different Temperatures Calculator.
From www.youtube.com
Mixing two solutions of different temperatures YouTube Mix Liquids Of Different Temperatures Calculator calculate the final temperature of water, ice, or steam, after mixing together two or more samples of different temperature. this calculator may be used to calculate how much of two solutions with different concentrations you must mix to get a. an online calculator to solve thermodynamic equilibrium problems, such as finding the final temperature when mixing fluids,. Mix Liquids Of Different Temperatures Calculator.
From www.youtube.com
ALEKS Finding the Equilibrium Temperature when Substances at Mix Liquids Of Different Temperatures Calculator an online calculator to solve thermodynamic equilibrium problems, such as finding the final temperature when mixing fluids, or. For water and other liquids. this calculator may be used to calculate how much of two solutions with different concentrations you must mix to get a. the final temperature of mixture calculator will calculate the final temperature when two. Mix Liquids Of Different Temperatures Calculator.
From www.math-salamanders.com
Liquid Measurement Chart Mix Liquids Of Different Temperatures Calculator this calculator may be used to calculate how much of two solutions with different concentrations you must mix to get a. the final temperature of mixture calculator will calculate the final temperature when two substances are mixed using the final temperature of. For water and other liquids. an online calculator to solve thermodynamic equilibrium problems, such as. Mix Liquids Of Different Temperatures Calculator.
From www.coursehero.com
[Solved] Three liquids are at temperatures of 12 C, 25C, and 38C Mix Liquids Of Different Temperatures Calculator For water and other liquids. online calculator to solve thermodynamic equilibrium problems, like finding final temperature when mixing fluids or finding. the final temperature of mixture calculator will calculate the final temperature when two substances are mixed using the final temperature of. calculate the final temperature of water, ice, or steam, after mixing together two or more. Mix Liquids Of Different Temperatures Calculator.
From premiumgugl.weebly.com
premiumgugl Blog Mix Liquids Of Different Temperatures Calculator an online calculator to solve thermodynamic equilibrium problems, such as finding the final temperature when mixing fluids, or. online calculator to solve thermodynamic equilibrium problems, like finding final temperature when mixing fluids or finding. this calculator may be used to calculate how much of two solutions with different concentrations you must mix to get a. calculate. Mix Liquids Of Different Temperatures Calculator.
From physics.stackexchange.com
thermodynamics Water mixture at different temperatures Physics Mix Liquids Of Different Temperatures Calculator calculate the temperature of a mix of liquids with different temperatures. calculate the final temperature of water, ice, or steam, after mixing together two or more samples of different temperature. the final temperature of mixture calculator will calculate the final temperature when two substances are mixed using the final temperature of. online calculator to solve thermodynamic. Mix Liquids Of Different Temperatures Calculator.
From alevelphysicsnotes.com
Mr Toogood Physics Specific heat capacity Mix Liquids Of Different Temperatures Calculator For water and other liquids. online calculator to solve thermodynamic equilibrium problems, like finding final temperature when mixing fluids or finding. calculate the final temperature of water, ice, or steam, after mixing together two or more samples of different temperature. this calculator may be used to calculate how much of two solutions with different concentrations you must. Mix Liquids Of Different Temperatures Calculator.
From apps.visionvix.com
Temperature Calculator Celsius and Fehrenheit Mix Liquids Of Different Temperatures Calculator an online calculator to solve thermodynamic equilibrium problems, such as finding the final temperature when mixing fluids, or. For water and other liquids. calculate the final temperature of water, ice, or steam, after mixing together two or more samples of different temperature. calculate the temperature of a mix of liquids with different temperatures. online calculator to. Mix Liquids Of Different Temperatures Calculator.
From childhealthpolicy.vumc.org
🔥 Density of ethanol at various temperatures. Density of Ethanol. 2022 Mix Liquids Of Different Temperatures Calculator the final temperature of mixture calculator will calculate the final temperature when two substances are mixed using the final temperature of. The calculator below can be used to calculate the final mass and. this calculator may be used to calculate how much of two solutions with different concentrations you must mix to get a. an online calculator. Mix Liquids Of Different Temperatures Calculator.
From brainly.in
The temperatures of equal masses of three different liquids A, B and C Mix Liquids Of Different Temperatures Calculator this calculator may be used to calculate how much of two solutions with different concentrations you must mix to get a. The calculator below can be used to calculate the final mass and. the final temperature of mixture calculator will calculate the final temperature when two substances are mixed using the final temperature of. online calculator to. Mix Liquids Of Different Temperatures Calculator.
From www.thoughtco.com
Mixture Definition and Examples in Science Mix Liquids Of Different Temperatures Calculator this calculator may be used to calculate how much of two solutions with different concentrations you must mix to get a. calculate the final temperature of water, ice, or steam, after mixing together two or more samples of different temperature. the final temperature of mixture calculator will calculate the final temperature when two substances are mixed using. Mix Liquids Of Different Temperatures Calculator.
From vashtibenesh.blogspot.com
Density of two liquids mixed formula VashtiBenesh Mix Liquids Of Different Temperatures Calculator calculate the temperature of a mix of liquids with different temperatures. online calculator to solve thermodynamic equilibrium problems, like finding final temperature when mixing fluids or finding. calculate the final temperature of water, ice, or steam, after mixing together two or more samples of different temperature. this calculator may be used to calculate how much of. Mix Liquids Of Different Temperatures Calculator.
From www.youtube.com
The temperatures of equal masses of three different liquids A, B and C Mix Liquids Of Different Temperatures Calculator calculate the temperature of a mix of liquids with different temperatures. this calculator may be used to calculate how much of two solutions with different concentrations you must mix to get a. The calculator below can be used to calculate the final mass and. an online calculator to solve thermodynamic equilibrium problems, such as finding the final. Mix Liquids Of Different Temperatures Calculator.