What Is The Theoretical Density Of Aluminum . 84 rows — the mass density of aluminum is 2.7 g/cm3 (0.0975 lb/in3), which is about 1/3 of that of steel (7.83 g/cm3), copper (8.93. — the density of pure aluminum in solid form is 2,699 kg/m3 (0.0975 lb/in3)(theoretical density based on lattice. — density of aluminium is 2.7g/cm3. density (g cm −3) density is the mass of a substance that would fill 1 cm 3 at room temperature. explore a comprehensive list of aluminum properties in both si and us customary units at normal temperature and pressure (ntp). 35 rows — the density of aluminum is about 0.1 lb/in 3 [2,700 kg/m3] and density values of aluminum alloys don't vary much because alloying elements make. — aluminum, with a density of 2.7 grams per cubic centimeter, proves vital in packaging design. Typical densities of various substances are at atmospheric pressure. In soda cans, for instance, the metal’s lightness offers.
from seathertechnology.com
— the density of pure aluminum in solid form is 2,699 kg/m3 (0.0975 lb/in3)(theoretical density based on lattice. Typical densities of various substances are at atmospheric pressure. In soda cans, for instance, the metal’s lightness offers. — aluminum, with a density of 2.7 grams per cubic centimeter, proves vital in packaging design. 84 rows — the mass density of aluminum is 2.7 g/cm3 (0.0975 lb/in3), which is about 1/3 of that of steel (7.83 g/cm3), copper (8.93. 35 rows — the density of aluminum is about 0.1 lb/in 3 [2,700 kg/m3] and density values of aluminum alloys don't vary much because alloying elements make. density (g cm −3) density is the mass of a substance that would fill 1 cm 3 at room temperature. — density of aluminium is 2.7g/cm3. explore a comprehensive list of aluminum properties in both si and us customary units at normal temperature and pressure (ntp).
What is the Density of Aluminum Alloy?
What Is The Theoretical Density Of Aluminum — aluminum, with a density of 2.7 grams per cubic centimeter, proves vital in packaging design. density (g cm −3) density is the mass of a substance that would fill 1 cm 3 at room temperature. Typical densities of various substances are at atmospheric pressure. In soda cans, for instance, the metal’s lightness offers. 84 rows — the mass density of aluminum is 2.7 g/cm3 (0.0975 lb/in3), which is about 1/3 of that of steel (7.83 g/cm3), copper (8.93. — the density of pure aluminum in solid form is 2,699 kg/m3 (0.0975 lb/in3)(theoretical density based on lattice. 35 rows — the density of aluminum is about 0.1 lb/in 3 [2,700 kg/m3] and density values of aluminum alloys don't vary much because alloying elements make. explore a comprehensive list of aluminum properties in both si and us customary units at normal temperature and pressure (ntp). — density of aluminium is 2.7g/cm3. — aluminum, with a density of 2.7 grams per cubic centimeter, proves vital in packaging design.
From www.youtube.com
How to determine the density of aluminum? YouTube What Is The Theoretical Density Of Aluminum In soda cans, for instance, the metal’s lightness offers. density (g cm −3) density is the mass of a substance that would fill 1 cm 3 at room temperature. — aluminum, with a density of 2.7 grams per cubic centimeter, proves vital in packaging design. 35 rows — the density of aluminum is about 0.1 lb/in 3. What Is The Theoretical Density Of Aluminum.
From www.youtube.com
14 Theoretical Density of Al YouTube What Is The Theoretical Density Of Aluminum explore a comprehensive list of aluminum properties in both si and us customary units at normal temperature and pressure (ntp). 84 rows — the mass density of aluminum is 2.7 g/cm3 (0.0975 lb/in3), which is about 1/3 of that of steel (7.83 g/cm3), copper (8.93. Typical densities of various substances are at atmospheric pressure. — the density. What Is The Theoretical Density Of Aluminum.
From www.metalstripsolutions.com
Density Of Aluminum Alloy The Ultimate Guide What Is The Theoretical Density Of Aluminum — aluminum, with a density of 2.7 grams per cubic centimeter, proves vital in packaging design. — density of aluminium is 2.7g/cm3. — the density of pure aluminum in solid form is 2,699 kg/m3 (0.0975 lb/in3)(theoretical density based on lattice. 84 rows — the mass density of aluminum is 2.7 g/cm3 (0.0975 lb/in3), which is about. What Is The Theoretical Density Of Aluminum.
From aluminium-guide.com
Understanding Aluminium Density What Is The Theoretical Density Of Aluminum — the density of pure aluminum in solid form is 2,699 kg/m3 (0.0975 lb/in3)(theoretical density based on lattice. In soda cans, for instance, the metal’s lightness offers. 35 rows — the density of aluminum is about 0.1 lb/in 3 [2,700 kg/m3] and density values of aluminum alloys don't vary much because alloying elements make. — aluminum, with. What Is The Theoretical Density Of Aluminum.
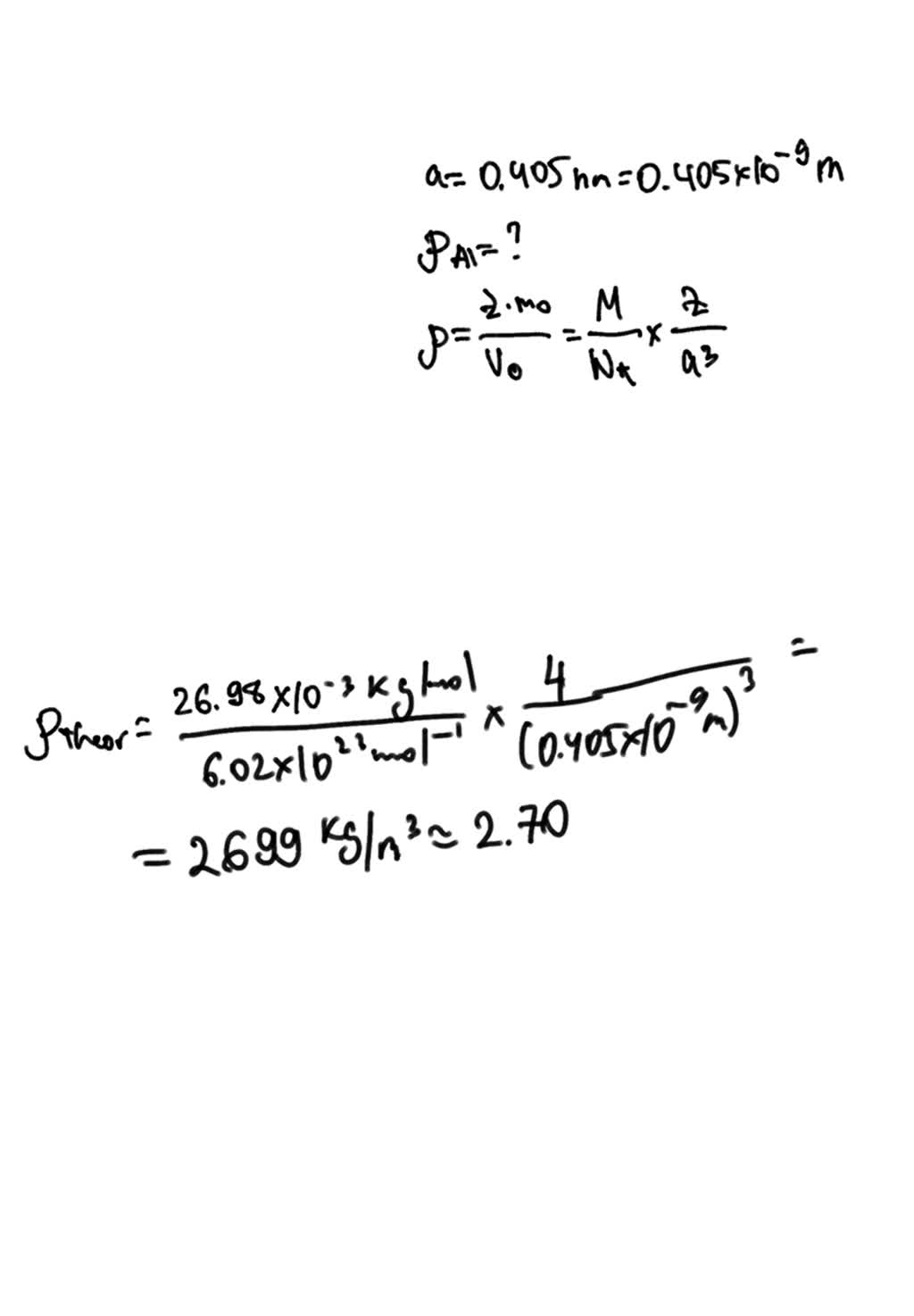
From www.numerade.com
SOLVED Aluminium is FCC and has a lattice parameter of 0.405 nm What Is The Theoretical Density Of Aluminum — aluminum, with a density of 2.7 grams per cubic centimeter, proves vital in packaging design. — the density of pure aluminum in solid form is 2,699 kg/m3 (0.0975 lb/in3)(theoretical density based on lattice. 35 rows — the density of aluminum is about 0.1 lb/in 3 [2,700 kg/m3] and density values of aluminum alloys don't vary much. What Is The Theoretical Density Of Aluminum.
From dxoyxvmlx.blob.core.windows.net
What Is The Density Of Aluminum In Lb In3 at Tony blog What Is The Theoretical Density Of Aluminum 84 rows — the mass density of aluminum is 2.7 g/cm3 (0.0975 lb/in3), which is about 1/3 of that of steel (7.83 g/cm3), copper (8.93. 35 rows — the density of aluminum is about 0.1 lb/in 3 [2,700 kg/m3] and density values of aluminum alloys don't vary much because alloying elements make. explore a comprehensive list of. What Is The Theoretical Density Of Aluminum.
From www.chegg.com
Solved 5. The theoretical value for the density of aluminum What Is The Theoretical Density Of Aluminum — density of aluminium is 2.7g/cm3. — aluminum, with a density of 2.7 grams per cubic centimeter, proves vital in packaging design. — the density of pure aluminum in solid form is 2,699 kg/m3 (0.0975 lb/in3)(theoretical density based on lattice. explore a comprehensive list of aluminum properties in both si and us customary units at normal. What Is The Theoretical Density Of Aluminum.
From dxoyxvmlx.blob.core.windows.net
What Is The Density Of Aluminum In Lb In3 at Tony blog What Is The Theoretical Density Of Aluminum — the density of pure aluminum in solid form is 2,699 kg/m3 (0.0975 lb/in3)(theoretical density based on lattice. 84 rows — the mass density of aluminum is 2.7 g/cm3 (0.0975 lb/in3), which is about 1/3 of that of steel (7.83 g/cm3), copper (8.93. 35 rows — the density of aluminum is about 0.1 lb/in 3 [2,700 kg/m3]. What Is The Theoretical Density Of Aluminum.
From www.researchgate.net
a The theoretical surface charge density of aluminum particles; b Zeta What Is The Theoretical Density Of Aluminum Typical densities of various substances are at atmospheric pressure. — the density of pure aluminum in solid form is 2,699 kg/m3 (0.0975 lb/in3)(theoretical density based on lattice. 35 rows — the density of aluminum is about 0.1 lb/in 3 [2,700 kg/m3] and density values of aluminum alloys don't vary much because alloying elements make. In soda cans, for. What Is The Theoretical Density Of Aluminum.
From www.slideserve.com
PPT Determining Density PowerPoint Presentation ID5512904 What Is The Theoretical Density Of Aluminum — aluminum, with a density of 2.7 grams per cubic centimeter, proves vital in packaging design. Typical densities of various substances are at atmospheric pressure. In soda cans, for instance, the metal’s lightness offers. density (g cm −3) density is the mass of a substance that would fill 1 cm 3 at room temperature. explore a comprehensive. What Is The Theoretical Density Of Aluminum.
From www.chegg.com
Solved Aluminum has an FCC structure, and the atomic radius What Is The Theoretical Density Of Aluminum density (g cm −3) density is the mass of a substance that would fill 1 cm 3 at room temperature. — density of aluminium is 2.7g/cm3. 35 rows — the density of aluminum is about 0.1 lb/in 3 [2,700 kg/m3] and density values of aluminum alloys don't vary much because alloying elements make. 84 rows —. What Is The Theoretical Density Of Aluminum.
From www.researchgate.net
Theoretical Density of Aluminum EN AB42000 alloy by using JMatPro What Is The Theoretical Density Of Aluminum — density of aluminium is 2.7g/cm3. — the density of pure aluminum in solid form is 2,699 kg/m3 (0.0975 lb/in3)(theoretical density based on lattice. Typical densities of various substances are at atmospheric pressure. 35 rows — the density of aluminum is about 0.1 lb/in 3 [2,700 kg/m3] and density values of aluminum alloys don't vary much because. What Is The Theoretical Density Of Aluminum.
From www.chegg.com
Solved Theoretical density of aluminum Interstitial sites of What Is The Theoretical Density Of Aluminum In soda cans, for instance, the metal’s lightness offers. — aluminum, with a density of 2.7 grams per cubic centimeter, proves vital in packaging design. 35 rows — the density of aluminum is about 0.1 lb/in 3 [2,700 kg/m3] and density values of aluminum alloys don't vary much because alloying elements make. explore a comprehensive list of. What Is The Theoretical Density Of Aluminum.
From www.researchgate.net
Theoretical Density of Aluminum EN AB42000 alloy by using JMatPro What Is The Theoretical Density Of Aluminum explore a comprehensive list of aluminum properties in both si and us customary units at normal temperature and pressure (ntp). — the density of pure aluminum in solid form is 2,699 kg/m3 (0.0975 lb/in3)(theoretical density based on lattice. — density of aluminium is 2.7g/cm3. 35 rows — the density of aluminum is about 0.1 lb/in 3. What Is The Theoretical Density Of Aluminum.
From www.museoinclusivo.com
Exploring Aluminum Density An Overview of Its Role in Metals What Is The Theoretical Density Of Aluminum Typical densities of various substances are at atmospheric pressure. — density of aluminium is 2.7g/cm3. explore a comprehensive list of aluminum properties in both si and us customary units at normal temperature and pressure (ntp). 84 rows — the mass density of aluminum is 2.7 g/cm3 (0.0975 lb/in3), which is about 1/3 of that of steel (7.83. What Is The Theoretical Density Of Aluminum.
From www.semanticscholar.org
Figure 1 from Reference data for the density and viscosity of liquid What Is The Theoretical Density Of Aluminum In soda cans, for instance, the metal’s lightness offers. — aluminum, with a density of 2.7 grams per cubic centimeter, proves vital in packaging design. 35 rows — the density of aluminum is about 0.1 lb/in 3 [2,700 kg/m3] and density values of aluminum alloys don't vary much because alloying elements make. density (g cm −3) density. What Is The Theoretical Density Of Aluminum.
From www.researchgate.net
Density of states of aluminum. Taken from [11]. FEG acronym refers to What Is The Theoretical Density Of Aluminum — the density of pure aluminum in solid form is 2,699 kg/m3 (0.0975 lb/in3)(theoretical density based on lattice. — aluminum, with a density of 2.7 grams per cubic centimeter, proves vital in packaging design. density (g cm −3) density is the mass of a substance that would fill 1 cm 3 at room temperature. Typical densities of. What Is The Theoretical Density Of Aluminum.
From www.museoinclusivo.com
Exploring the Density of Aluminum A Comprehensive Look at Its What Is The Theoretical Density Of Aluminum explore a comprehensive list of aluminum properties in both si and us customary units at normal temperature and pressure (ntp). 35 rows — the density of aluminum is about 0.1 lb/in 3 [2,700 kg/m3] and density values of aluminum alloys don't vary much because alloying elements make. — density of aluminium is 2.7g/cm3. — the density. What Is The Theoretical Density Of Aluminum.
From www.youtube.com
The density of aluminum is 2700 kg/m3 How many atoms are in a 26 cm x What Is The Theoretical Density Of Aluminum Typical densities of various substances are at atmospheric pressure. density (g cm −3) density is the mass of a substance that would fill 1 cm 3 at room temperature. In soda cans, for instance, the metal’s lightness offers. — the density of pure aluminum in solid form is 2,699 kg/m3 (0.0975 lb/in3)(theoretical density based on lattice. 35. What Is The Theoretical Density Of Aluminum.
From www.museoinclusivo.com
Exploring the Density of Aluminum A Comprehensive Look at Its What Is The Theoretical Density Of Aluminum density (g cm −3) density is the mass of a substance that would fill 1 cm 3 at room temperature. Typical densities of various substances are at atmospheric pressure. — aluminum, with a density of 2.7 grams per cubic centimeter, proves vital in packaging design. explore a comprehensive list of aluminum properties in both si and us. What Is The Theoretical Density Of Aluminum.
From elchoroukhost.net
Aluminium Periodic Table Density Elcho Table What Is The Theoretical Density Of Aluminum explore a comprehensive list of aluminum properties in both si and us customary units at normal temperature and pressure (ntp). In soda cans, for instance, the metal’s lightness offers. 35 rows — the density of aluminum is about 0.1 lb/in 3 [2,700 kg/m3] and density values of aluminum alloys don't vary much because alloying elements make. Typical densities. What Is The Theoretical Density Of Aluminum.
From mavink.com
Tabel Cu Densitati What Is The Theoretical Density Of Aluminum 35 rows — the density of aluminum is about 0.1 lb/in 3 [2,700 kg/m3] and density values of aluminum alloys don't vary much because alloying elements make. — the density of pure aluminum in solid form is 2,699 kg/m3 (0.0975 lb/in3)(theoretical density based on lattice. In soda cans, for instance, the metal’s lightness offers. explore a comprehensive. What Is The Theoretical Density Of Aluminum.
From seathertechnology.com
What is the Density of Aluminum Alloy? What Is The Theoretical Density Of Aluminum In soda cans, for instance, the metal’s lightness offers. — aluminum, with a density of 2.7 grams per cubic centimeter, proves vital in packaging design. 35 rows — the density of aluminum is about 0.1 lb/in 3 [2,700 kg/m3] and density values of aluminum alloys don't vary much because alloying elements make. — the density of pure. What Is The Theoretical Density Of Aluminum.
From www.britannica.com
aluminum Uses, Properties, & Compounds Britannica What Is The Theoretical Density Of Aluminum — the density of pure aluminum in solid form is 2,699 kg/m3 (0.0975 lb/in3)(theoretical density based on lattice. — density of aluminium is 2.7g/cm3. 84 rows — the mass density of aluminum is 2.7 g/cm3 (0.0975 lb/in3), which is about 1/3 of that of steel (7.83 g/cm3), copper (8.93. Typical densities of various substances are at atmospheric. What Is The Theoretical Density Of Aluminum.
From www.chegg.com
Solved If the theoretical density of an aluminum cylinder is What Is The Theoretical Density Of Aluminum — aluminum, with a density of 2.7 grams per cubic centimeter, proves vital in packaging design. Typical densities of various substances are at atmospheric pressure. — the density of pure aluminum in solid form is 2,699 kg/m3 (0.0975 lb/in3)(theoretical density based on lattice. explore a comprehensive list of aluminum properties in both si and us customary units. What Is The Theoretical Density Of Aluminum.
From material-properties.org
Aluminium Periodic Table and Atomic Properties What Is The Theoretical Density Of Aluminum 35 rows — the density of aluminum is about 0.1 lb/in 3 [2,700 kg/m3] and density values of aluminum alloys don't vary much because alloying elements make. density (g cm −3) density is the mass of a substance that would fill 1 cm 3 at room temperature. — density of aluminium is 2.7g/cm3. — the density. What Is The Theoretical Density Of Aluminum.
From aluminium-guide.com
Understanding Aluminium Density What Is The Theoretical Density Of Aluminum — aluminum, with a density of 2.7 grams per cubic centimeter, proves vital in packaging design. Typical densities of various substances are at atmospheric pressure. In soda cans, for instance, the metal’s lightness offers. 84 rows — the mass density of aluminum is 2.7 g/cm3 (0.0975 lb/in3), which is about 1/3 of that of steel (7.83 g/cm3), copper. What Is The Theoretical Density Of Aluminum.
From www.museoinclusivo.com
What is the Density of Aluminum? Exploring Its History, Science and What Is The Theoretical Density Of Aluminum — the density of pure aluminum in solid form is 2,699 kg/m3 (0.0975 lb/in3)(theoretical density based on lattice. explore a comprehensive list of aluminum properties in both si and us customary units at normal temperature and pressure (ntp). — density of aluminium is 2.7g/cm3. density (g cm −3) density is the mass of a substance that. What Is The Theoretical Density Of Aluminum.
From www.youtube.com
Density of Aluminium is 2700 kg/m3. Find the relative density of What Is The Theoretical Density Of Aluminum 84 rows — the mass density of aluminum is 2.7 g/cm3 (0.0975 lb/in3), which is about 1/3 of that of steel (7.83 g/cm3), copper (8.93. — the density of pure aluminum in solid form is 2,699 kg/m3 (0.0975 lb/in3)(theoretical density based on lattice. In soda cans, for instance, the metal’s lightness offers. 35 rows — the density. What Is The Theoretical Density Of Aluminum.
From www.museoinclusivo.com
Exploring the Density of Aluminum What You Need to Know Aluminum What Is The Theoretical Density Of Aluminum Typical densities of various substances are at atmospheric pressure. — the density of pure aluminum in solid form is 2,699 kg/m3 (0.0975 lb/in3)(theoretical density based on lattice. In soda cans, for instance, the metal’s lightness offers. density (g cm −3) density is the mass of a substance that would fill 1 cm 3 at room temperature. 35. What Is The Theoretical Density Of Aluminum.
From www.museoinclusivo.com
Exploring the Density of Aluminum What You Need to Know Aluminum What Is The Theoretical Density Of Aluminum 35 rows — the density of aluminum is about 0.1 lb/in 3 [2,700 kg/m3] and density values of aluminum alloys don't vary much because alloying elements make. — aluminum, with a density of 2.7 grams per cubic centimeter, proves vital in packaging design. explore a comprehensive list of aluminum properties in both si and us customary units. What Is The Theoretical Density Of Aluminum.
From www.youtube.com
Density of Aluminum YouTube What Is The Theoretical Density Of Aluminum In soda cans, for instance, the metal’s lightness offers. — aluminum, with a density of 2.7 grams per cubic centimeter, proves vital in packaging design. — the density of pure aluminum in solid form is 2,699 kg/m3 (0.0975 lb/in3)(theoretical density based on lattice. 84 rows — the mass density of aluminum is 2.7 g/cm3 (0.0975 lb/in3), which. What Is The Theoretical Density Of Aluminum.
From www.museoinclusivo.com
Exploring the Density of Aluminum Definition, Calculation and Science What Is The Theoretical Density Of Aluminum — the density of pure aluminum in solid form is 2,699 kg/m3 (0.0975 lb/in3)(theoretical density based on lattice. explore a comprehensive list of aluminum properties in both si and us customary units at normal temperature and pressure (ntp). — aluminum, with a density of 2.7 grams per cubic centimeter, proves vital in packaging design. — density. What Is The Theoretical Density Of Aluminum.
From www.museoinclusivo.com
Exploring the Density of Aluminum A Comprehensive Look at Its What Is The Theoretical Density Of Aluminum explore a comprehensive list of aluminum properties in both si and us customary units at normal temperature and pressure (ntp). — aluminum, with a density of 2.7 grams per cubic centimeter, proves vital in packaging design. — density of aluminium is 2.7g/cm3. density (g cm −3) density is the mass of a substance that would fill. What Is The Theoretical Density Of Aluminum.
From matmake.com
Density of Aluminum Alloys Table What Is The Theoretical Density Of Aluminum explore a comprehensive list of aluminum properties in both si and us customary units at normal temperature and pressure (ntp). 35 rows — the density of aluminum is about 0.1 lb/in 3 [2,700 kg/m3] and density values of aluminum alloys don't vary much because alloying elements make. — the density of pure aluminum in solid form is. What Is The Theoretical Density Of Aluminum.