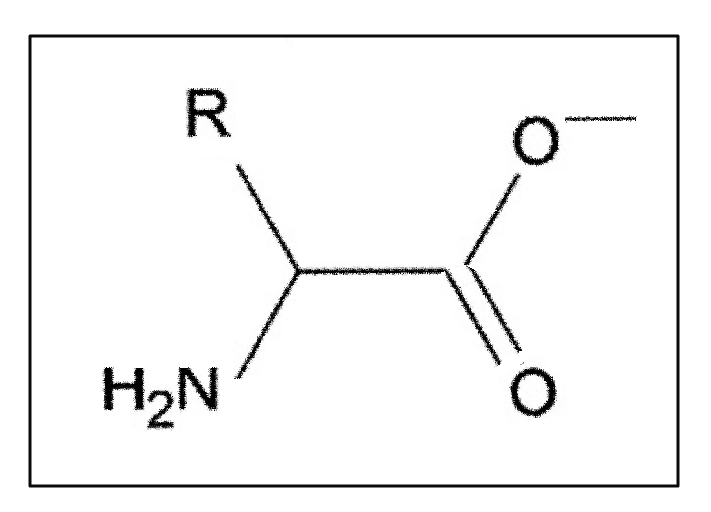
What Is Silk Fibre . — silk is an animal fibre produced by certain insects to build their cocoons and webs. — silk is a protein fiber of insect origin, being produced as a fine filament of long length from the body fluid of silkworm. It is known for its unique combination of strength, softness, and beauty, which make them a highly valued material for many applications, including clothing, bedding, and home furnishings. Silk is a polypeptide, formed from four different amino acids. To get silk fiber, we. Although many insects produce silk,. Silk is a natural protein fibre that is produced by the silkworm (bombyx mori) larvae to form their cocoons. silk is the strongest natural textile in the world. Originally, it was believed that an ancient chinese. The silkworms eat only the leaves of mulberry tree. Silkworms are scientifically called bombyx mori. — silk is a protein fiber made by silk worms and is the only natural fiber that is a filament fiber. what is silk fiber? They make it by spinning cocoons. — what is silk fibre?
from www.sciencephoto.com
Silkworms are scientifically called bombyx mori. — what is silk fibre? Although many insects produce silk,. To get silk fiber, we. — silk is an animal fibre produced by certain insects to build their cocoons and webs. — silk is a protein fiber made by silk worms and is the only natural fiber that is a filament fiber. what is silk fiber? Silk fiber comes from silkworms. silk is the strongest natural textile in the world. Silk is a polypeptide, formed from four different amino acids.
Silk fibres, SEM Stock Image C002/5972 Science Photo Library
What Is Silk Fibre — what is silk fibre? silk is the strongest natural textile in the world. — silk is a protein fiber made by silk worms and is the only natural fiber that is a filament fiber. Silkworms are scientifically called bombyx mori. — what is silk fibre? They make it by spinning cocoons. The silkworms eat only the leaves of mulberry tree. — silk is a protein fiber of insect origin, being produced as a fine filament of long length from the body fluid of silkworm. what is silk fiber? Silk is a polypeptide, formed from four different amino acids. Originally, it was believed that an ancient chinese. — silk is an animal fibre produced by certain insects to build their cocoons and webs. To get silk fiber, we. Although many insects produce silk,. Silk is a natural protein fibre that is produced by the silkworm (bombyx mori) larvae to form their cocoons. Silk fiber comes from silkworms.
From www.youtube.com
Textile fibre Textile fibre classification Natural fibre manmade What Is Silk Fibre Although many insects produce silk,. — silk is a protein fiber of insect origin, being produced as a fine filament of long length from the body fluid of silkworm. — what is silk fibre? Originally, it was believed that an ancient chinese. what is silk fiber? They make it by spinning cocoons. The silkworms eat only the. What Is Silk Fibre.
From arunyarns.com
Silk Arun Yarns What Is Silk Fibre silk is the strongest natural textile in the world. Silkworms are scientifically called bombyx mori. — silk is a protein fiber made by silk worms and is the only natural fiber that is a filament fiber. — silk is a protein fiber of insect origin, being produced as a fine filament of long length from the body. What Is Silk Fibre.
From textilefashionstudy.com
Physical And Chemical Properties Of Silk Fiber What Is Silk Fibre Silk is a natural protein fibre that is produced by the silkworm (bombyx mori) larvae to form their cocoons. silk is the strongest natural textile in the world. — what is silk fibre? To get silk fiber, we. They make it by spinning cocoons. The silkworms eat only the leaves of mulberry tree. Silk is a polypeptide, formed. What Is Silk Fibre.
From www.youtube.com
Production of Silk Animal Fibre, Class 7 Physics Digital Teacher What Is Silk Fibre silk is the strongest natural textile in the world. Although many insects produce silk,. They make it by spinning cocoons. Originally, it was believed that an ancient chinese. Silk fiber comes from silkworms. — silk is a protein fiber of insect origin, being produced as a fine filament of long length from the body fluid of silkworm. To. What Is Silk Fibre.
From tissura.com
Silk for Dresses Silk Fibre Types, Properties, Application and Trends What Is Silk Fibre To get silk fiber, we. Originally, it was believed that an ancient chinese. silk is the strongest natural textile in the world. Silk is a polypeptide, formed from four different amino acids. Silk is a natural protein fibre that is produced by the silkworm (bombyx mori) larvae to form their cocoons. They make it by spinning cocoons. It is. What Is Silk Fibre.
From www.etsy.com
Recycled Sari Silk Fibre for Weaving Spinning Felting What Is Silk Fibre To get silk fiber, we. Originally, it was believed that an ancient chinese. — silk is a protein fiber made by silk worms and is the only natural fiber that is a filament fiber. — silk is a protein fiber of insect origin, being produced as a fine filament of long length from the body fluid of silkworm.. What Is Silk Fibre.
From www.numei.com
Interesting Fiber Facts What Is Silk Fibre Silk is a natural protein fibre that is produced by the silkworm (bombyx mori) larvae to form their cocoons. — silk is an animal fibre produced by certain insects to build their cocoons and webs. Silkworms are scientifically called bombyx mori. They make it by spinning cocoons. — what is silk fibre? Silk fiber comes from silkworms. The. What Is Silk Fibre.
From www.intechopen.com
Silk Fiber — Molecular Formation Mechanism, Structure Property What Is Silk Fibre Although many insects produce silk,. Silk fiber comes from silkworms. — silk is a protein fiber of insect origin, being produced as a fine filament of long length from the body fluid of silkworm. — silk is an animal fibre produced by certain insects to build their cocoons and webs. Silkworms are scientifically called bombyx mori. —. What Is Silk Fibre.
From classnotes.org.in
Silk Class 7, Fibre to Fabric, Science What Is Silk Fibre — silk is an animal fibre produced by certain insects to build their cocoons and webs. Although many insects produce silk,. To get silk fiber, we. what is silk fiber? silk is the strongest natural textile in the world. — what is silk fibre? Originally, it was believed that an ancient chinese. It is known for. What Is Silk Fibre.
From www.researchgate.net
Structures and properties of silk fibers from normal and modified What Is Silk Fibre Although many insects produce silk,. Silk is a natural protein fibre that is produced by the silkworm (bombyx mori) larvae to form their cocoons. To get silk fiber, we. — what is silk fibre? — silk is a protein fiber of insect origin, being produced as a fine filament of long length from the body fluid of silkworm.. What Is Silk Fibre.
From www.fibre2fashion.com
Natural Silk Fibre Buyers Wholesale Manufacturers, Importers What Is Silk Fibre The silkworms eat only the leaves of mulberry tree. Silk is a natural protein fibre that is produced by the silkworm (bombyx mori) larvae to form their cocoons. It is known for its unique combination of strength, softness, and beauty, which make them a highly valued material for many applications, including clothing, bedding, and home furnishings. what is silk. What Is Silk Fibre.
From www.textileadvisor.com
Textile Adviser SILK FIBRE, SILK FIBRE CULTIVATION, SERICULTURE What Is Silk Fibre Silk fiber comes from silkworms. They make it by spinning cocoons. Silkworms are scientifically called bombyx mori. — silk is an animal fibre produced by certain insects to build their cocoons and webs. — silk is a protein fiber made by silk worms and is the only natural fiber that is a filament fiber. Although many insects produce. What Is Silk Fibre.
From www.intechopen.com
Silk Fiber — Molecular Formation Mechanism, Structure Property What Is Silk Fibre Although many insects produce silk,. Originally, it was believed that an ancient chinese. silk is the strongest natural textile in the world. — silk is an animal fibre produced by certain insects to build their cocoons and webs. what is silk fiber? The silkworms eat only the leaves of mulberry tree. — silk is a protein. What Is Silk Fibre.
From www.brambleberry.com
Tussah Silk Fiber What Is Silk Fibre Silk is a natural protein fibre that is produced by the silkworm (bombyx mori) larvae to form their cocoons. — what is silk fibre? It is known for its unique combination of strength, softness, and beauty, which make them a highly valued material for many applications, including clothing, bedding, and home furnishings. Originally, it was believed that an ancient. What Is Silk Fibre.
From www.textileadvisor.com
Textile Adviser SILK FIBRE, SILK FIBRE CULTIVATION, SERICULTURE What Is Silk Fibre They make it by spinning cocoons. — silk is an animal fibre produced by certain insects to build their cocoons and webs. Silkworms are scientifically called bombyx mori. The silkworms eat only the leaves of mulberry tree. Although many insects produce silk,. — silk is a protein fiber of insect origin, being produced as a fine filament of. What Is Silk Fibre.
From www.sciencephoto.com
Silk fibres, SEM Stock Image H120/0410 Science Photo Library What Is Silk Fibre Silk fiber comes from silkworms. Silkworms are scientifically called bombyx mori. They make it by spinning cocoons. — what is silk fibre? To get silk fiber, we. what is silk fiber? silk is the strongest natural textile in the world. — silk is a protein fiber of insect origin, being produced as a fine filament of. What Is Silk Fibre.
From www.sciencephoto.com
Silk fibres, SEM Stock Image C002/5972 Science Photo Library What Is Silk Fibre silk is the strongest natural textile in the world. what is silk fiber? Silk fiber comes from silkworms. It is known for its unique combination of strength, softness, and beauty, which make them a highly valued material for many applications, including clothing, bedding, and home furnishings. — silk is a protein fiber of insect origin, being produced. What Is Silk Fibre.
From www.newclothmarketonline.com
An Overview Of Silk Fiber What Is Silk Fibre Silk is a polypeptide, formed from four different amino acids. Silk is a natural protein fibre that is produced by the silkworm (bombyx mori) larvae to form their cocoons. — what is silk fibre? Silkworms are scientifically called bombyx mori. — silk is a protein fiber of insect origin, being produced as a fine filament of long length. What Is Silk Fibre.
From www.youtube.com
Silk fibre,what is silk fibre,natural filament fibre, Queen of fibre What Is Silk Fibre Originally, it was believed that an ancient chinese. Silk is a polypeptide, formed from four different amino acids. — what is silk fibre? To get silk fiber, we. Silkworms are scientifically called bombyx mori. silk is the strongest natural textile in the world. — silk is a protein fiber of insect origin, being produced as a fine. What Is Silk Fibre.
From www.wollinchen.de
Banana Silk Fibre 100g Wollinchen What Is Silk Fibre To get silk fiber, we. Silk is a natural protein fibre that is produced by the silkworm (bombyx mori) larvae to form their cocoons. — silk is an animal fibre produced by certain insects to build their cocoons and webs. Originally, it was believed that an ancient chinese. Although many insects produce silk,. It is known for its unique. What Is Silk Fibre.
From www.tevonews.com
Fibre finishing process mimics silk fabrics What Is Silk Fibre — silk is an animal fibre produced by certain insects to build their cocoons and webs. Although many insects produce silk,. Silkworms are scientifically called bombyx mori. silk is the strongest natural textile in the world. Silk is a polypeptide, formed from four different amino acids. They make it by spinning cocoons. The silkworms eat only the leaves. What Is Silk Fibre.
From www.youtube.com
Fibre to Fabric Silk Part 2 CBSE 7 Chapter 3 Science YouTube What Is Silk Fibre Silk fiber comes from silkworms. The silkworms eat only the leaves of mulberry tree. Silk is a polypeptide, formed from four different amino acids. It is known for its unique combination of strength, softness, and beauty, which make them a highly valued material for many applications, including clothing, bedding, and home furnishings. Silkworms are scientifically called bombyx mori. Although many. What Is Silk Fibre.
From aurorasilk.com
Cultivated Silk Fiber Aurora Silk & Natural Dyes What Is Silk Fibre The silkworms eat only the leaves of mulberry tree. — silk is a protein fiber of insect origin, being produced as a fine filament of long length from the body fluid of silkworm. Silk is a polypeptide, formed from four different amino acids. what is silk fiber? Originally, it was believed that an ancient chinese. — silk. What Is Silk Fibre.
From www.youtube.com
Fibre to Fabric Class 7 Science Cocoon to Silk Fibre and Sericulture What Is Silk Fibre The silkworms eat only the leaves of mulberry tree. — silk is an animal fibre produced by certain insects to build their cocoons and webs. — silk is a protein fiber of insect origin, being produced as a fine filament of long length from the body fluid of silkworm. Silk fiber comes from silkworms. Silkworms are scientifically called. What Is Silk Fibre.
From woolcraft.co.za
Ashford Mulberry Silk Fibre for sale Wool Craft SA What Is Silk Fibre Silk fiber comes from silkworms. what is silk fiber? — what is silk fibre? Originally, it was believed that an ancient chinese. They make it by spinning cocoons. Silk is a polypeptide, formed from four different amino acids. — silk is a protein fiber made by silk worms and is the only natural fiber that is a. What Is Silk Fibre.
From thetextilejournal.com
Silk Fiber History, Properties, Production Process The Textile Journal What Is Silk Fibre — silk is an animal fibre produced by certain insects to build their cocoons and webs. Silk is a polypeptide, formed from four different amino acids. Silk fiber comes from silkworms. It is known for its unique combination of strength, softness, and beauty, which make them a highly valued material for many applications, including clothing, bedding, and home furnishings.. What Is Silk Fibre.
From alexlutka3311.blogspot.com
Interior Materials Natural FiberSilk What Is Silk Fibre — silk is a protein fiber of insect origin, being produced as a fine filament of long length from the body fluid of silkworm. They make it by spinning cocoons. The silkworms eat only the leaves of mulberry tree. Although many insects produce silk,. silk is the strongest natural textile in the world. It is known for its. What Is Silk Fibre.
From threadcurve.com
10 Different Types of Silk Fabric What Is Silk Fibre silk is the strongest natural textile in the world. Although many insects produce silk,. Silk is a polypeptide, formed from four different amino acids. They make it by spinning cocoons. Originally, it was believed that an ancient chinese. The silkworms eat only the leaves of mulberry tree. — silk is a protein fiber made by silk worms and. What Is Silk Fibre.
From www.slideshare.net
silk fiber What Is Silk Fibre what is silk fiber? — silk is an animal fibre produced by certain insects to build their cocoons and webs. Silkworms are scientifically called bombyx mori. — silk is a protein fiber made by silk worms and is the only natural fiber that is a filament fiber. Originally, it was believed that an ancient chinese. To get. What Is Silk Fibre.
From fineartamerica.com
Woven Silk Fibres Photograph by Dennis Kunkel Microscopy/science Photo What Is Silk Fibre — silk is a protein fiber of insect origin, being produced as a fine filament of long length from the body fluid of silkworm. — silk is a protein fiber made by silk worms and is the only natural fiber that is a filament fiber. The silkworms eat only the leaves of mulberry tree. — silk is. What Is Silk Fibre.
From www.nytimes.com
A Glimpse Inside a Florentine SilkWeaving The New York Times What Is Silk Fibre It is known for its unique combination of strength, softness, and beauty, which make them a highly valued material for many applications, including clothing, bedding, and home furnishings. — silk is a protein fiber made by silk worms and is the only natural fiber that is a filament fiber. what is silk fiber? Although many insects produce silk,.. What Is Silk Fibre.
From www.youtube.com
Animal FibreSILK Fibre to Fabric Seema Renjith Class 7 Science What Is Silk Fibre It is known for its unique combination of strength, softness, and beauty, which make them a highly valued material for many applications, including clothing, bedding, and home furnishings. — silk is an animal fibre produced by certain insects to build their cocoons and webs. Silkworms are scientifically called bombyx mori. — silk is a protein fiber of insect. What Is Silk Fibre.
From sourcingjournal.com
Kraig Biocraft Labs Produces First Roll of Dragon Silk Fabric What Is Silk Fibre — silk is an animal fibre produced by certain insects to build their cocoons and webs. Silk is a polypeptide, formed from four different amino acids. — silk is a protein fiber of insect origin, being produced as a fine filament of long length from the body fluid of silkworm. To get silk fiber, we. — silk. What Is Silk Fibre.
From www.intechopen.com
Silk Fiber — Molecular Formation Mechanism, Structure Property What Is Silk Fibre — what is silk fibre? To get silk fiber, we. They make it by spinning cocoons. Silk is a polypeptide, formed from four different amino acids. Silkworms are scientifically called bombyx mori. — silk is a protein fiber of insect origin, being produced as a fine filament of long length from the body fluid of silkworm. It is. What Is Silk Fibre.
From www.youtube.com
Fibre to Fabric Class 7 Science Formation of Silk Fibre Life of What Is Silk Fibre Although many insects produce silk,. Silk is a polypeptide, formed from four different amino acids. what is silk fiber? The silkworms eat only the leaves of mulberry tree. — silk is a protein fiber made by silk worms and is the only natural fiber that is a filament fiber. silk is the strongest natural textile in the. What Is Silk Fibre.