Airport Runway Bearings . Airport runway designations are numbers based on the magnetic azimuth (compass bearing) in which a runway is oriented. In cases where runways run parallel to each other, they are designated with 'l' or 'r' to indicate which side they're on. Airport runways are numbered based on their compass bearings. Runways are usually numbered according to their direction, more precisely called runway magnetic bearing or qfu (see q codes). Runway numbers are determined by rounding the compass bearing of one runway end to the nearest 10 degrees and truncating the last digit, meaning runways are numbered from 1 to 36—as per. These markings are crucial because they indicate where you should stop your aircraft on a taxiway that’s situated near the approach or departure area of a runway. Yellow angles (left) highlight the “blast pad” paved to protect the ground; The primary factor that determines runway numbers is the magnetic bearing, or the direction, in which an aircraft would be heading when. These are painted in white on the end of the runway on both sides and are quite large in size. At certain airports, you’ll come across runway approach areas holding position markings. Some airports may renumber a pair of runways to avoid confusion, and, in some cases, use extra letters like 'c' or 'w.'
from www.dreamstime.com
Airport runway designations are numbers based on the magnetic azimuth (compass bearing) in which a runway is oriented. In cases where runways run parallel to each other, they are designated with 'l' or 'r' to indicate which side they're on. Airport runways are numbered based on their compass bearings. Runway numbers are determined by rounding the compass bearing of one runway end to the nearest 10 degrees and truncating the last digit, meaning runways are numbered from 1 to 36—as per. These are painted in white on the end of the runway on both sides and are quite large in size. Runways are usually numbered according to their direction, more precisely called runway magnetic bearing or qfu (see q codes). Some airports may renumber a pair of runways to avoid confusion, and, in some cases, use extra letters like 'c' or 'w.' Yellow angles (left) highlight the “blast pad” paved to protect the ground; These markings are crucial because they indicate where you should stop your aircraft on a taxiway that’s situated near the approach or departure area of a runway. The primary factor that determines runway numbers is the magnetic bearing, or the direction, in which an aircraft would be heading when.
Airport runway stock vector. Illustration of glide, bearings 36961602
Airport Runway Bearings These markings are crucial because they indicate where you should stop your aircraft on a taxiway that’s situated near the approach or departure area of a runway. In cases where runways run parallel to each other, they are designated with 'l' or 'r' to indicate which side they're on. Runway numbers are determined by rounding the compass bearing of one runway end to the nearest 10 degrees and truncating the last digit, meaning runways are numbered from 1 to 36—as per. Airport runway designations are numbers based on the magnetic azimuth (compass bearing) in which a runway is oriented. The primary factor that determines runway numbers is the magnetic bearing, or the direction, in which an aircraft would be heading when. Runways are usually numbered according to their direction, more precisely called runway magnetic bearing or qfu (see q codes). At certain airports, you’ll come across runway approach areas holding position markings. Airport runways are numbered based on their compass bearings. Yellow angles (left) highlight the “blast pad” paved to protect the ground; These are painted in white on the end of the runway on both sides and are quite large in size. These markings are crucial because they indicate where you should stop your aircraft on a taxiway that’s situated near the approach or departure area of a runway. Some airports may renumber a pair of runways to avoid confusion, and, in some cases, use extra letters like 'c' or 'w.'
From www.slideserve.com
PPT Landing Gear PowerPoint Presentation ID210310 Airport Runway Bearings In cases where runways run parallel to each other, they are designated with 'l' or 'r' to indicate which side they're on. Yellow angles (left) highlight the “blast pad” paved to protect the ground; The primary factor that determines runway numbers is the magnetic bearing, or the direction, in which an aircraft would be heading when. Some airports may renumber. Airport Runway Bearings.
From drivenheisenberg.blogspot.com
This Diagram Of Airport Runway Drivenheisenberg Airport Runway Bearings The primary factor that determines runway numbers is the magnetic bearing, or the direction, in which an aircraft would be heading when. Some airports may renumber a pair of runways to avoid confusion, and, in some cases, use extra letters like 'c' or 'w.' Runway numbers are determined by rounding the compass bearing of one runway end to the nearest. Airport Runway Bearings.
From inchbyinch.de
INCH Technical English runway Airport Runway Bearings Yellow angles (left) highlight the “blast pad” paved to protect the ground; These markings are crucial because they indicate where you should stop your aircraft on a taxiway that’s situated near the approach or departure area of a runway. At certain airports, you’ll come across runway approach areas holding position markings. These are painted in white on the end of. Airport Runway Bearings.
From ifunny.co
Airport runways are not numbered sequentially. They are numbered based Airport Runway Bearings Some airports may renumber a pair of runways to avoid confusion, and, in some cases, use extra letters like 'c' or 'w.' Runway numbers are determined by rounding the compass bearing of one runway end to the nearest 10 degrees and truncating the last digit, meaning runways are numbered from 1 to 36—as per. Airport runways are numbered based on. Airport Runway Bearings.
From www.slideserve.com
PPT Landing Gear PowerPoint Presentation ID210310 Airport Runway Bearings Some airports may renumber a pair of runways to avoid confusion, and, in some cases, use extra letters like 'c' or 'w.' Airport runways are numbered based on their compass bearings. Runways are usually numbered according to their direction, more precisely called runway magnetic bearing or qfu (see q codes). These are painted in white on the end of the. Airport Runway Bearings.
From www.youtube.com
Evaluation of Bearing Strength of Existing Airport Runway Pavements by Airport Runway Bearings Airport runway designations are numbers based on the magnetic azimuth (compass bearing) in which a runway is oriented. Yellow angles (left) highlight the “blast pad” paved to protect the ground; Airport runways are numbered based on their compass bearings. Runways are usually numbered according to their direction, more precisely called runway magnetic bearing or qfu (see q codes). The primary. Airport Runway Bearings.
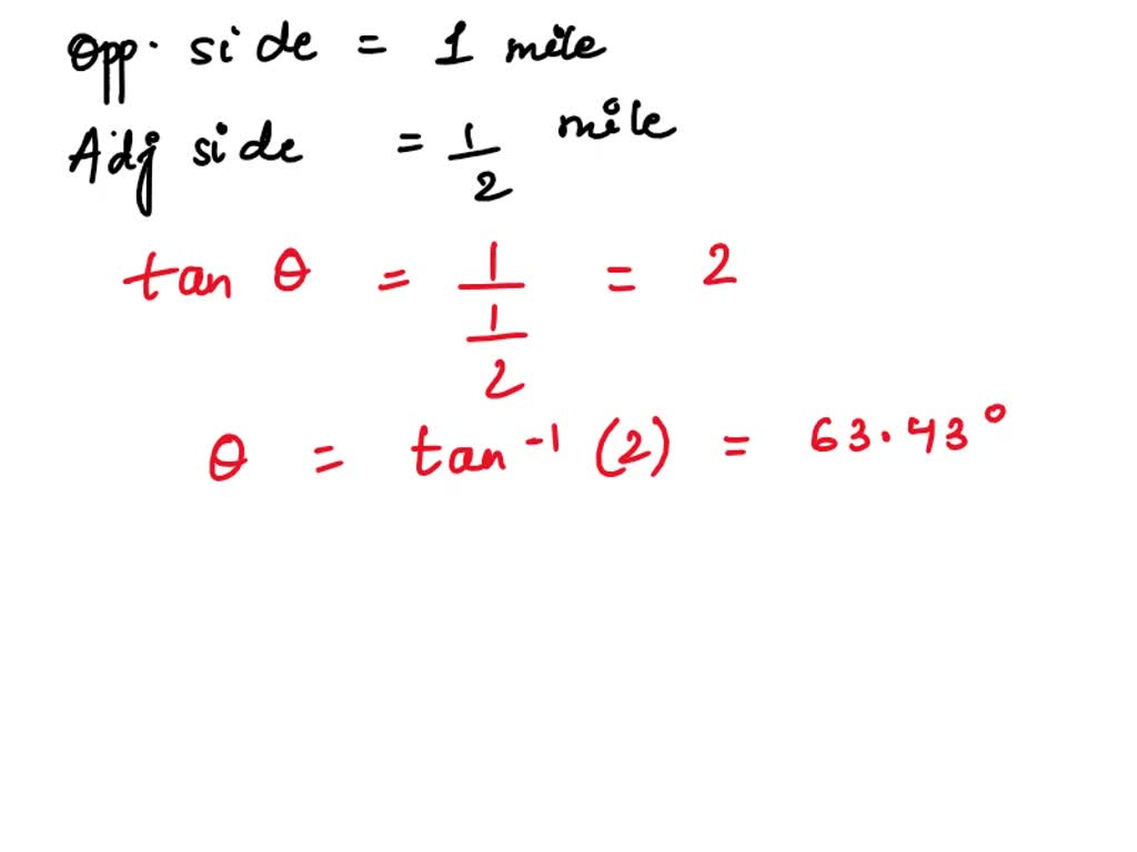
From www.numerade.com
SOLVEDWhat is the length of the trail? Finding the Bearing of an Airport Runway Bearings Runways are usually numbered according to their direction, more precisely called runway magnetic bearing or qfu (see q codes). Airport runway designations are numbers based on the magnetic azimuth (compass bearing) in which a runway is oriented. These are painted in white on the end of the runway on both sides and are quite large in size. The primary factor. Airport Runway Bearings.
From 99percentinvisible.org
Flying by the Numbers How to Decipher TwoDigit Airport Runway Airport Runway Bearings Airport runway designations are numbers based on the magnetic azimuth (compass bearing) in which a runway is oriented. At certain airports, you’ll come across runway approach areas holding position markings. These markings are crucial because they indicate where you should stop your aircraft on a taxiway that’s situated near the approach or departure area of a runway. In cases where. Airport Runway Bearings.
From www.slideserve.com
PPT Airport Engineering PowerPoint Presentation, free download ID Airport Runway Bearings Airport runway designations are numbers based on the magnetic azimuth (compass bearing) in which a runway is oriented. The primary factor that determines runway numbers is the magnetic bearing, or the direction, in which an aircraft would be heading when. Yellow angles (left) highlight the “blast pad” paved to protect the ground; These markings are crucial because they indicate where. Airport Runway Bearings.
From www.numerade.com
SOLVED DC9 aircraft leaves an airport from a runway whose bearing is Airport Runway Bearings At certain airports, you’ll come across runway approach areas holding position markings. Airport runways are numbered based on their compass bearings. Some airports may renumber a pair of runways to avoid confusion, and, in some cases, use extra letters like 'c' or 'w.' Runways are usually numbered according to their direction, more precisely called runway magnetic bearing or qfu (see. Airport Runway Bearings.
From www.slideserve.com
PPT Airport Engineering PowerPoint Presentation, free download ID Airport Runway Bearings The primary factor that determines runway numbers is the magnetic bearing, or the direction, in which an aircraft would be heading when. Some airports may renumber a pair of runways to avoid confusion, and, in some cases, use extra letters like 'c' or 'w.' Runway numbers are determined by rounding the compass bearing of one runway end to the nearest. Airport Runway Bearings.
From presidential-aviation.com
Runway Numbering Presidential Aviation Airport Runway Bearings Airport runways are numbered based on their compass bearings. These are painted in white on the end of the runway on both sides and are quite large in size. The primary factor that determines runway numbers is the magnetic bearing, or the direction, in which an aircraft would be heading when. Yellow angles (left) highlight the “blast pad” paved to. Airport Runway Bearings.
From www.slideserve.com
PPT Airport Engineering PowerPoint Presentation, free download ID Airport Runway Bearings These markings are crucial because they indicate where you should stop your aircraft on a taxiway that’s situated near the approach or departure area of a runway. Runways are usually numbered according to their direction, more precisely called runway magnetic bearing or qfu (see q codes). At certain airports, you’ll come across runway approach areas holding position markings. Airport runways. Airport Runway Bearings.
From misbahhaque.blogspot.com
Airport Runway Numbering Navigation Guidance and Control Airport Runway Bearings Runways are usually numbered according to their direction, more precisely called runway magnetic bearing or qfu (see q codes). These are painted in white on the end of the runway on both sides and are quite large in size. The primary factor that determines runway numbers is the magnetic bearing, or the direction, in which an aircraft would be heading. Airport Runway Bearings.
From www.numerade.com
SOLVED A DC9 aircraft leaves an airport from a runway whose bearing Airport Runway Bearings Runway numbers are determined by rounding the compass bearing of one runway end to the nearest 10 degrees and truncating the last digit, meaning runways are numbered from 1 to 36—as per. Airport runways are numbered based on their compass bearings. These markings are crucial because they indicate where you should stop your aircraft on a taxiway that’s situated near. Airport Runway Bearings.
From www.wanakaairport.com
Queenstown Airport Blog Runway Lengths and Strengths New Zealand Airport Runway Bearings Yellow angles (left) highlight the “blast pad” paved to protect the ground; The primary factor that determines runway numbers is the magnetic bearing, or the direction, in which an aircraft would be heading when. Airport runway designations are numbers based on the magnetic azimuth (compass bearing) in which a runway is oriented. These are painted in white on the end. Airport Runway Bearings.
From www.airport-suppliers.com
Evergreen Aviation Groundcover Airfield Groundcover Airport Runway Bearings In cases where runways run parallel to each other, they are designated with 'l' or 'r' to indicate which side they're on. Runway numbers are determined by rounding the compass bearing of one runway end to the nearest 10 degrees and truncating the last digit, meaning runways are numbered from 1 to 36—as per. The primary factor that determines runway. Airport Runway Bearings.
From www.chegg.com
Solved 56. Airport Runway Bearings (Refer to Example 6.) Airport Runway Bearings These markings are crucial because they indicate where you should stop your aircraft on a taxiway that’s situated near the approach or departure area of a runway. Runways are usually numbered according to their direction, more precisely called runway magnetic bearing or qfu (see q codes). Yellow angles (left) highlight the “blast pad” paved to protect the ground; In cases. Airport Runway Bearings.
From www.airport-technology.com
B&T Bearing Airport Technology Airport Runway Bearings In cases where runways run parallel to each other, they are designated with 'l' or 'r' to indicate which side they're on. Airport runways are numbered based on their compass bearings. These are painted in white on the end of the runway on both sides and are quite large in size. Some airports may renumber a pair of runways to. Airport Runway Bearings.
From mrcollinsmaths.blogspot.co.uk
Mr Collins Mathematics Blog Bearings & Google Earth Airport Runway Bearings The primary factor that determines runway numbers is the magnetic bearing, or the direction, in which an aircraft would be heading when. Runway numbers are determined by rounding the compass bearing of one runway end to the nearest 10 degrees and truncating the last digit, meaning runways are numbered from 1 to 36—as per. These are painted in white on. Airport Runway Bearings.
From www.slideserve.com
PPT WALT Use bearings to describe directions and to find the bearing Airport Runway Bearings These markings are crucial because they indicate where you should stop your aircraft on a taxiway that’s situated near the approach or departure area of a runway. Airport runways are numbered based on their compass bearings. Some airports may renumber a pair of runways to avoid confusion, and, in some cases, use extra letters like 'c' or 'w.' These are. Airport Runway Bearings.
From www.prs-med.com
Airport Pavement Reinforcement with Neoloy Geocell Runway Construction Airport Runway Bearings The primary factor that determines runway numbers is the magnetic bearing, or the direction, in which an aircraft would be heading when. Airport runway designations are numbers based on the magnetic azimuth (compass bearing) in which a runway is oriented. These markings are crucial because they indicate where you should stop your aircraft on a taxiway that’s situated near the. Airport Runway Bearings.
From www.slideserve.com
PPT Landing Gear PowerPoint Presentation, free download ID210310 Airport Runway Bearings Airport runway designations are numbers based on the magnetic azimuth (compass bearing) in which a runway is oriented. These markings are crucial because they indicate where you should stop your aircraft on a taxiway that’s situated near the approach or departure area of a runway. Runway numbers are determined by rounding the compass bearing of one runway end to the. Airport Runway Bearings.
From www.slideserve.com
PPT WALT Use bearings to describe directions and to find the bearing Airport Runway Bearings In cases where runways run parallel to each other, they are designated with 'l' or 'r' to indicate which side they're on. These are painted in white on the end of the runway on both sides and are quite large in size. At certain airports, you’ll come across runway approach areas holding position markings. The primary factor that determines runway. Airport Runway Bearings.
From www.stantec.com
Airport runways What do those big numbers mean? Airport Runway Bearings In cases where runways run parallel to each other, they are designated with 'l' or 'r' to indicate which side they're on. These markings are crucial because they indicate where you should stop your aircraft on a taxiway that’s situated near the approach or departure area of a runway. Runways are usually numbered according to their direction, more precisely called. Airport Runway Bearings.
From www.slideserve.com
PPT WALT Use bearings to describe directions and to find the bearing Airport Runway Bearings In cases where runways run parallel to each other, they are designated with 'l' or 'r' to indicate which side they're on. The primary factor that determines runway numbers is the magnetic bearing, or the direction, in which an aircraft would be heading when. Some airports may renumber a pair of runways to avoid confusion, and, in some cases, use. Airport Runway Bearings.
From fantasticfacts.net
Airport Runway Numbers Are Not Sequential. They Are Based On Compass Airport Runway Bearings These markings are crucial because they indicate where you should stop your aircraft on a taxiway that’s situated near the approach or departure area of a runway. The primary factor that determines runway numbers is the magnetic bearing, or the direction, in which an aircraft would be heading when. At certain airports, you’ll come across runway approach areas holding position. Airport Runway Bearings.
From www.slideserve.com
PPT Airport Engineering PowerPoint Presentation ID6592216 Airport Runway Bearings Yellow angles (left) highlight the “blast pad” paved to protect the ground; These markings are crucial because they indicate where you should stop your aircraft on a taxiway that’s situated near the approach or departure area of a runway. These are painted in white on the end of the runway on both sides and are quite large in size. Airport. Airport Runway Bearings.
From www.reddit.com
TIL Airport runway numbers aren't sequential, they are based off Airport Runway Bearings Airport runways are numbered based on their compass bearings. At certain airports, you’ll come across runway approach areas holding position markings. In cases where runways run parallel to each other, they are designated with 'l' or 'r' to indicate which side they're on. Yellow angles (left) highlight the “blast pad” paved to protect the ground; These markings are crucial because. Airport Runway Bearings.
From www.coursehero.com
[Solved] A DC9 aircraft leaves an airport from a runway whose bearing Airport Runway Bearings In cases where runways run parallel to each other, they are designated with 'l' or 'r' to indicate which side they're on. At certain airports, you’ll come across runway approach areas holding position markings. The primary factor that determines runway numbers is the magnetic bearing, or the direction, in which an aircraft would be heading when. Yellow angles (left) highlight. Airport Runway Bearings.
From www.dreamstime.com
Airport runway stock vector. Illustration of glide, bearings 36961602 Airport Runway Bearings Airport runways are numbered based on their compass bearings. Some airports may renumber a pair of runways to avoid confusion, and, in some cases, use extra letters like 'c' or 'w.' These markings are crucial because they indicate where you should stop your aircraft on a taxiway that’s situated near the approach or departure area of a runway. Runways are. Airport Runway Bearings.
From www.pinterest.com
a compass is shown in the shape of a sunburst on a white background Airport Runway Bearings At certain airports, you’ll come across runway approach areas holding position markings. Some airports may renumber a pair of runways to avoid confusion, and, in some cases, use extra letters like 'c' or 'w.' In cases where runways run parallel to each other, they are designated with 'l' or 'r' to indicate which side they're on. These are painted in. Airport Runway Bearings.
From slideplayer.com
Have you ever noticed the numbers painted on airport runways? ppt Airport Runway Bearings Runways are usually numbered according to their direction, more precisely called runway magnetic bearing or qfu (see q codes). Runway numbers are determined by rounding the compass bearing of one runway end to the nearest 10 degrees and truncating the last digit, meaning runways are numbered from 1 to 36—as per. These markings are crucial because they indicate where you. Airport Runway Bearings.
From www.gleim.com
FAR/AIM Section 4. Arrival Procedures Airport Runway Bearings Yellow angles (left) highlight the “blast pad” paved to protect the ground; Airport runway designations are numbers based on the magnetic azimuth (compass bearing) in which a runway is oriented. In cases where runways run parallel to each other, they are designated with 'l' or 'r' to indicate which side they're on. These are painted in white on the end. Airport Runway Bearings.
From present5.com
ANNEX 14 AERODROMES Part II Aviation Management College Airport Runway Bearings The primary factor that determines runway numbers is the magnetic bearing, or the direction, in which an aircraft would be heading when. These are painted in white on the end of the runway on both sides and are quite large in size. These markings are crucial because they indicate where you should stop your aircraft on a taxiway that’s situated. Airport Runway Bearings.