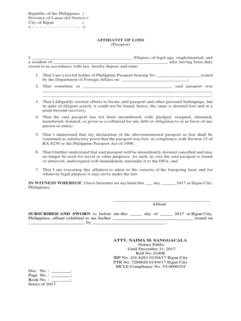
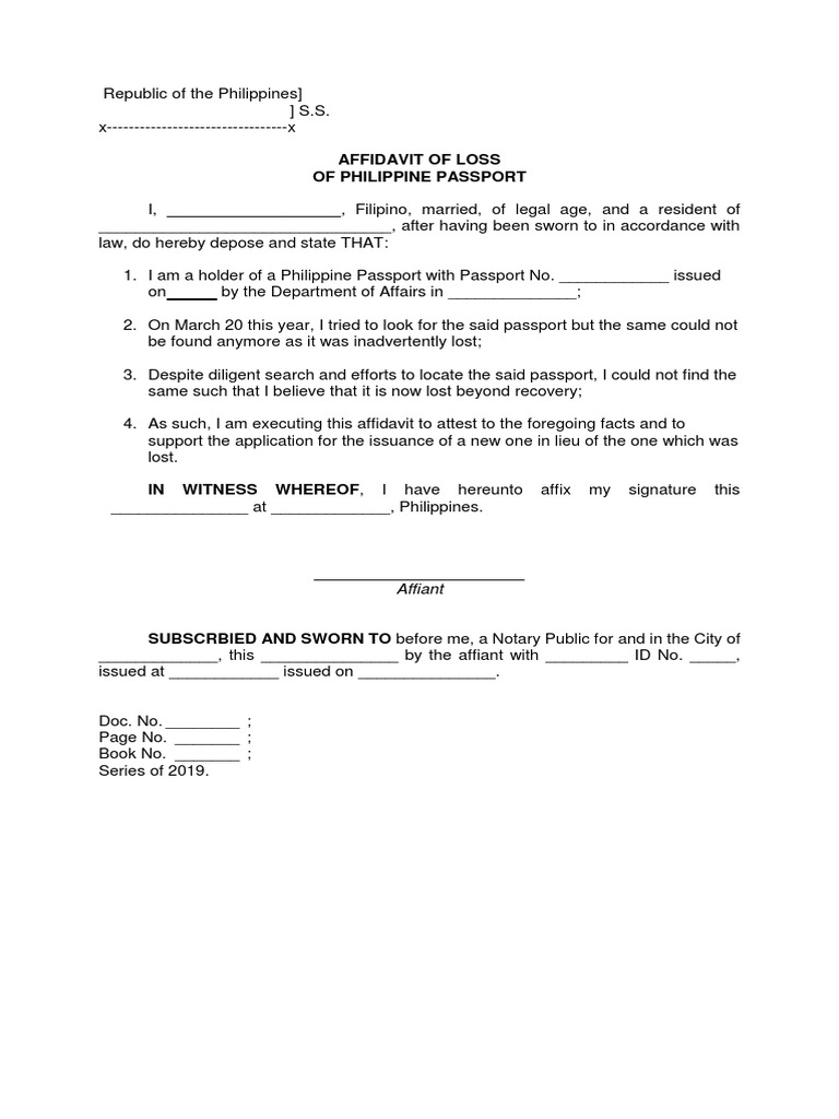
Where Can I Get Affidavit Of Loss Passport . Affidavit of loss of passport. Affidavit of loss of philippine passport. That the undersigned was issued a philippine passport by the department of foreign affairs (dfa) in. Applying for a replacement of a lost valid epassport is treated as a new application, and this includes securing a confirmed online appointment with the. Affidavit may be notarized by the consulate for a separate fee. Affidavit of loss , filipino citizen, of legal age, presently residing at after having been duly sworn to in accordance with the law, do hereby depose. I, __________________________________________________________, a ___________________________ citizen, of legal. Notarized affidavit of loss (for replacement of lost passport). How to apply for passports and other travel documents, get urgent or express service, or find a service location, and what to do if your passport. To obtain the most recent version of this form, visit our website at canada.ca/passport.
from www.scribd.com
To obtain the most recent version of this form, visit our website at canada.ca/passport. Affidavit of loss of philippine passport. Applying for a replacement of a lost valid epassport is treated as a new application, and this includes securing a confirmed online appointment with the. Affidavit of loss of passport. I, __________________________________________________________, a ___________________________ citizen, of legal. That the undersigned was issued a philippine passport by the department of foreign affairs (dfa) in. Notarized affidavit of loss (for replacement of lost passport). Affidavit of loss , filipino citizen, of legal age, presently residing at after having been duly sworn to in accordance with the law, do hereby depose. How to apply for passports and other travel documents, get urgent or express service, or find a service location, and what to do if your passport. Affidavit may be notarized by the consulate for a separate fee.
Affidavit of Loss Passport PDF Affidavit Passport
Where Can I Get Affidavit Of Loss Passport Applying for a replacement of a lost valid epassport is treated as a new application, and this includes securing a confirmed online appointment with the. Affidavit may be notarized by the consulate for a separate fee. Notarized affidavit of loss (for replacement of lost passport). I, __________________________________________________________, a ___________________________ citizen, of legal. That the undersigned was issued a philippine passport by the department of foreign affairs (dfa) in. Affidavit of loss of passport. Affidavit of loss of philippine passport. To obtain the most recent version of this form, visit our website at canada.ca/passport. Affidavit of loss , filipino citizen, of legal age, presently residing at after having been duly sworn to in accordance with the law, do hereby depose. How to apply for passports and other travel documents, get urgent or express service, or find a service location, and what to do if your passport. Applying for a replacement of a lost valid epassport is treated as a new application, and this includes securing a confirmed online appointment with the.
From www.scribd.com
AFFIDAVIT of LOSS (Id) Passport Sample Where Can I Get Affidavit Of Loss Passport That the undersigned was issued a philippine passport by the department of foreign affairs (dfa) in. How to apply for passports and other travel documents, get urgent or express service, or find a service location, and what to do if your passport. Affidavit of loss of passport. I, __________________________________________________________, a ___________________________ citizen, of legal. Applying for a replacement of a. Where Can I Get Affidavit Of Loss Passport.
From www.scribd.com
Affidavit of Loss.passport Where Can I Get Affidavit Of Loss Passport Notarized affidavit of loss (for replacement of lost passport). Affidavit of loss of philippine passport. I, __________________________________________________________, a ___________________________ citizen, of legal. Affidavit of loss , filipino citizen, of legal age, presently residing at after having been duly sworn to in accordance with the law, do hereby depose. Affidavit may be notarized by the consulate for a separate fee. Affidavit. Where Can I Get Affidavit Of Loss Passport.
From www.scribd.com
Affidavit of Loss Passport PDF Where Can I Get Affidavit Of Loss Passport Applying for a replacement of a lost valid epassport is treated as a new application, and this includes securing a confirmed online appointment with the. How to apply for passports and other travel documents, get urgent or express service, or find a service location, and what to do if your passport. Affidavit of loss of passport. I, __________________________________________________________, a ___________________________. Where Can I Get Affidavit Of Loss Passport.
From www.scribd.com
Affidavit of Loss (Passport) PDF Where Can I Get Affidavit Of Loss Passport That the undersigned was issued a philippine passport by the department of foreign affairs (dfa) in. Affidavit of loss of philippine passport. To obtain the most recent version of this form, visit our website at canada.ca/passport. How to apply for passports and other travel documents, get urgent or express service, or find a service location, and what to do if. Where Can I Get Affidavit Of Loss Passport.
From www.scribd.com
Affidavit of Loss Passport PDF Where Can I Get Affidavit Of Loss Passport To obtain the most recent version of this form, visit our website at canada.ca/passport. Applying for a replacement of a lost valid epassport is treated as a new application, and this includes securing a confirmed online appointment with the. How to apply for passports and other travel documents, get urgent or express service, or find a service location, and what. Where Can I Get Affidavit Of Loss Passport.
From www.scribd.com
Affidavit of Loss (Passport) PDF Where Can I Get Affidavit Of Loss Passport Affidavit may be notarized by the consulate for a separate fee. Applying for a replacement of a lost valid epassport is treated as a new application, and this includes securing a confirmed online appointment with the. That the undersigned was issued a philippine passport by the department of foreign affairs (dfa) in. I, __________________________________________________________, a ___________________________ citizen, of legal. Affidavit. Where Can I Get Affidavit Of Loss Passport.
From www.scribd.com
Affidavit of Loss (Passport) Affidavit Passport Where Can I Get Affidavit Of Loss Passport To obtain the most recent version of this form, visit our website at canada.ca/passport. Affidavit of loss of philippine passport. Applying for a replacement of a lost valid epassport is treated as a new application, and this includes securing a confirmed online appointment with the. Affidavit of loss , filipino citizen, of legal age, presently residing at after having been. Where Can I Get Affidavit Of Loss Passport.
From www.scribd.com
affidavit of loss (passport) Where Can I Get Affidavit Of Loss Passport Applying for a replacement of a lost valid epassport is treated as a new application, and this includes securing a confirmed online appointment with the. Notarized affidavit of loss (for replacement of lost passport). To obtain the most recent version of this form, visit our website at canada.ca/passport. Affidavit of loss of passport. Affidavit of loss of philippine passport. How. Where Can I Get Affidavit Of Loss Passport.
From www.sampletemplates.com
FREE 16+ Affidavit of Loss Samples & Templates in PDF Where Can I Get Affidavit Of Loss Passport Affidavit may be notarized by the consulate for a separate fee. How to apply for passports and other travel documents, get urgent or express service, or find a service location, and what to do if your passport. I, __________________________________________________________, a ___________________________ citizen, of legal. That the undersigned was issued a philippine passport by the department of foreign affairs (dfa) in.. Where Can I Get Affidavit Of Loss Passport.
From www.sampleforms.com
FREE 50+ Affidavit Forms in PDF MS Word Excel Where Can I Get Affidavit Of Loss Passport How to apply for passports and other travel documents, get urgent or express service, or find a service location, and what to do if your passport. Notarized affidavit of loss (for replacement of lost passport). To obtain the most recent version of this form, visit our website at canada.ca/passport. Affidavit of loss of passport. Affidavit may be notarized by the. Where Can I Get Affidavit Of Loss Passport.
From www.scribd.com
Affidavit of Loss Passport PDF Where Can I Get Affidavit Of Loss Passport Affidavit may be notarized by the consulate for a separate fee. That the undersigned was issued a philippine passport by the department of foreign affairs (dfa) in. Applying for a replacement of a lost valid epassport is treated as a new application, and this includes securing a confirmed online appointment with the. Notarized affidavit of loss (for replacement of lost. Where Can I Get Affidavit Of Loss Passport.
From www.sampletemplates.com
FREE 16+ Affidavit of Loss Samples & Templates in PDF Where Can I Get Affidavit Of Loss Passport Applying for a replacement of a lost valid epassport is treated as a new application, and this includes securing a confirmed online appointment with the. How to apply for passports and other travel documents, get urgent or express service, or find a service location, and what to do if your passport. Affidavit may be notarized by the consulate for a. Where Can I Get Affidavit Of Loss Passport.
From www.scribd.com
Affidavit of Loss Passport PDF Affidavit Passport Where Can I Get Affidavit Of Loss Passport Affidavit may be notarized by the consulate for a separate fee. I, __________________________________________________________, a ___________________________ citizen, of legal. Affidavit of loss of passport. That the undersigned was issued a philippine passport by the department of foreign affairs (dfa) in. How to apply for passports and other travel documents, get urgent or express service, or find a service location, and what. Where Can I Get Affidavit Of Loss Passport.
From www.uslegalforms.com
Affidavit Of Loss Passport Fill and Sign Printable Template Online Where Can I Get Affidavit Of Loss Passport Affidavit may be notarized by the consulate for a separate fee. How to apply for passports and other travel documents, get urgent or express service, or find a service location, and what to do if your passport. Affidavit of loss , filipino citizen, of legal age, presently residing at after having been duly sworn to in accordance with the law,. Where Can I Get Affidavit Of Loss Passport.
From www.pdffiller.com
Affidavit Of Loss Fill Online, Printable, Fillable, Blank pdfFiller Where Can I Get Affidavit Of Loss Passport To obtain the most recent version of this form, visit our website at canada.ca/passport. Affidavit of loss of philippine passport. I, __________________________________________________________, a ___________________________ citizen, of legal. Affidavit may be notarized by the consulate for a separate fee. That the undersigned was issued a philippine passport by the department of foreign affairs (dfa) in. Applying for a replacement of a. Where Can I Get Affidavit Of Loss Passport.
From www.scribd.com
Affidavit of Loss Passport PDF Where Can I Get Affidavit Of Loss Passport Applying for a replacement of a lost valid epassport is treated as a new application, and this includes securing a confirmed online appointment with the. How to apply for passports and other travel documents, get urgent or express service, or find a service location, and what to do if your passport. Affidavit of loss of passport. That the undersigned was. Where Can I Get Affidavit Of Loss Passport.
From www.scribd.com
Affidavit of Loss Passport PDF Where Can I Get Affidavit Of Loss Passport Affidavit of loss , filipino citizen, of legal age, presently residing at after having been duly sworn to in accordance with the law, do hereby depose. To obtain the most recent version of this form, visit our website at canada.ca/passport. Affidavit may be notarized by the consulate for a separate fee. Notarized affidavit of loss (for replacement of lost passport).. Where Can I Get Affidavit Of Loss Passport.
From www.scribd.com
Affidavit of LossPassport PDF Where Can I Get Affidavit Of Loss Passport Affidavit of loss of philippine passport. Applying for a replacement of a lost valid epassport is treated as a new application, and this includes securing a confirmed online appointment with the. Affidavit may be notarized by the consulate for a separate fee. Affidavit of loss , filipino citizen, of legal age, presently residing at after having been duly sworn to. Where Can I Get Affidavit Of Loss Passport.
From www.formsbank.com
Affidavit Of Loss Of Passport printable pdf download Where Can I Get Affidavit Of Loss Passport Affidavit of loss , filipino citizen, of legal age, presently residing at after having been duly sworn to in accordance with the law, do hereby depose. Notarized affidavit of loss (for replacement of lost passport). That the undersigned was issued a philippine passport by the department of foreign affairs (dfa) in. Applying for a replacement of a lost valid epassport. Where Can I Get Affidavit Of Loss Passport.
From www.scribd.com
Affidavit of Loss of Passport Blank PDF Where Can I Get Affidavit Of Loss Passport How to apply for passports and other travel documents, get urgent or express service, or find a service location, and what to do if your passport. Applying for a replacement of a lost valid epassport is treated as a new application, and this includes securing a confirmed online appointment with the. That the undersigned was issued a philippine passport by. Where Can I Get Affidavit Of Loss Passport.
From www.signnow.com
Affidavit in Lieu of Lost Passport Form Fill Out and Sign Printable Where Can I Get Affidavit Of Loss Passport I, __________________________________________________________, a ___________________________ citizen, of legal. Affidavit of loss of passport. Affidavit of loss , filipino citizen, of legal age, presently residing at after having been duly sworn to in accordance with the law, do hereby depose. To obtain the most recent version of this form, visit our website at canada.ca/passport. Notarized affidavit of loss (for replacement of lost. Where Can I Get Affidavit Of Loss Passport.
From www.scribd.com
Affidavit of Loss Passport PDF Where Can I Get Affidavit Of Loss Passport Applying for a replacement of a lost valid epassport is treated as a new application, and this includes securing a confirmed online appointment with the. Affidavit of loss of philippine passport. Affidavit of loss of passport. Affidavit of loss , filipino citizen, of legal age, presently residing at after having been duly sworn to in accordance with the law, do. Where Can I Get Affidavit Of Loss Passport.
From www.scribd.com
Affidavit of Loss (Passport) PDF Where Can I Get Affidavit Of Loss Passport I, __________________________________________________________, a ___________________________ citizen, of legal. To obtain the most recent version of this form, visit our website at canada.ca/passport. Applying for a replacement of a lost valid epassport is treated as a new application, and this includes securing a confirmed online appointment with the. That the undersigned was issued a philippine passport by the department of foreign affairs. Where Can I Get Affidavit Of Loss Passport.
From www.scribd.com
Affidavit of loss passport PDF Where Can I Get Affidavit Of Loss Passport That the undersigned was issued a philippine passport by the department of foreign affairs (dfa) in. How to apply for passports and other travel documents, get urgent or express service, or find a service location, and what to do if your passport. Affidavit may be notarized by the consulate for a separate fee. Affidavit of loss of philippine passport. I,. Where Can I Get Affidavit Of Loss Passport.
From www.scribd.com
Affidavit of Loss Passport Where Can I Get Affidavit Of Loss Passport Affidavit of loss , filipino citizen, of legal age, presently residing at after having been duly sworn to in accordance with the law, do hereby depose. Affidavit of loss of philippine passport. Notarized affidavit of loss (for replacement of lost passport). To obtain the most recent version of this form, visit our website at canada.ca/passport. I, __________________________________________________________, a ___________________________ citizen,. Where Can I Get Affidavit Of Loss Passport.
From www.scribd.com
Affidavit of Loss Form Passport Affidavit Passport Where Can I Get Affidavit Of Loss Passport How to apply for passports and other travel documents, get urgent or express service, or find a service location, and what to do if your passport. Applying for a replacement of a lost valid epassport is treated as a new application, and this includes securing a confirmed online appointment with the. Affidavit of loss of passport. Affidavit may be notarized. Where Can I Get Affidavit Of Loss Passport.
From www.pdffiller.com
Fillable Online Affidavit of Loss Passport Fax Email Print pdfFiller Where Can I Get Affidavit Of Loss Passport Affidavit may be notarized by the consulate for a separate fee. Applying for a replacement of a lost valid epassport is treated as a new application, and this includes securing a confirmed online appointment with the. Affidavit of loss of philippine passport. Notarized affidavit of loss (for replacement of lost passport). That the undersigned was issued a philippine passport by. Where Can I Get Affidavit Of Loss Passport.
From www.scribd.com
Affidavit of Loss Passport Template v1.1 PDF Where Can I Get Affidavit Of Loss Passport Affidavit of loss of passport. Affidavit of loss of philippine passport. That the undersigned was issued a philippine passport by the department of foreign affairs (dfa) in. How to apply for passports and other travel documents, get urgent or express service, or find a service location, and what to do if your passport. Affidavit may be notarized by the consulate. Where Can I Get Affidavit Of Loss Passport.
From www.scribd.com
Affdavit of Loss Passport Sample Affidavit Civil Law Law) Where Can I Get Affidavit Of Loss Passport Applying for a replacement of a lost valid epassport is treated as a new application, and this includes securing a confirmed online appointment with the. Affidavit of loss of philippine passport. Notarized affidavit of loss (for replacement of lost passport). Affidavit may be notarized by the consulate for a separate fee. Affidavit of loss , filipino citizen, of legal age,. Where Can I Get Affidavit Of Loss Passport.
From www.scribd.com
Affidavit of Loss of Passport Affidavit Passport Where Can I Get Affidavit Of Loss Passport Affidavit of loss of philippine passport. How to apply for passports and other travel documents, get urgent or express service, or find a service location, and what to do if your passport. Notarized affidavit of loss (for replacement of lost passport). Affidavit of loss of passport. That the undersigned was issued a philippine passport by the department of foreign affairs. Where Can I Get Affidavit Of Loss Passport.
From www.scribd.com
Affidavit of Loss Passport PDF Where Can I Get Affidavit Of Loss Passport Affidavit of loss , filipino citizen, of legal age, presently residing at after having been duly sworn to in accordance with the law, do hereby depose. I, __________________________________________________________, a ___________________________ citizen, of legal. Notarized affidavit of loss (for replacement of lost passport). Applying for a replacement of a lost valid epassport is treated as a new application, and this includes. Where Can I Get Affidavit Of Loss Passport.
From www.scribd.com
affidavit of loss Passport PDF Where Can I Get Affidavit Of Loss Passport How to apply for passports and other travel documents, get urgent or express service, or find a service location, and what to do if your passport. Affidavit may be notarized by the consulate for a separate fee. Affidavit of loss , filipino citizen, of legal age, presently residing at after having been duly sworn to in accordance with the law,. Where Can I Get Affidavit Of Loss Passport.
From www.scribd.com
Affidavit of Loss passport_sample PDF Where Can I Get Affidavit Of Loss Passport To obtain the most recent version of this form, visit our website at canada.ca/passport. Notarized affidavit of loss (for replacement of lost passport). Affidavit of loss of passport. Affidavit of loss , filipino citizen, of legal age, presently residing at after having been duly sworn to in accordance with the law, do hereby depose. Affidavit may be notarized by the. Where Can I Get Affidavit Of Loss Passport.
From www.scribd.com
Affidavit of Loss Passport PDF Affidavit Passport Where Can I Get Affidavit Of Loss Passport Notarized affidavit of loss (for replacement of lost passport). I, __________________________________________________________, a ___________________________ citizen, of legal. Applying for a replacement of a lost valid epassport is treated as a new application, and this includes securing a confirmed online appointment with the. That the undersigned was issued a philippine passport by the department of foreign affairs (dfa) in. Affidavit of loss. Where Can I Get Affidavit Of Loss Passport.
From www.scribd.com
Affidavit of Loss Passport Jamesreid Where Can I Get Affidavit Of Loss Passport Affidavit of loss of passport. I, __________________________________________________________, a ___________________________ citizen, of legal. Affidavit may be notarized by the consulate for a separate fee. Notarized affidavit of loss (for replacement of lost passport). Applying for a replacement of a lost valid epassport is treated as a new application, and this includes securing a confirmed online appointment with the. How to apply. Where Can I Get Affidavit Of Loss Passport.